Suppr超能文献

一氧化氮活性药物对大鼠部分性复杂性癫痫实验模型中拉莫三嗪抗惊厥活性的调节作用。

Modulatory effects of nitric oxide-active drugs on the anticonvulsant activity of lamotrigine in an experimental model of partial complex epilepsy in the rat.

作者信息

Sardo Pierangelo, Ferraro Giuseppe

机构信息

Dipartimento di Medicina sperimentale, Sezione di Fisiologia umana G, Pagano, Università degli Studi di Palermo, C.so Tukory, Palermo, Italy.

出版信息

BMC Neurosci. 2007 Jul 3;8:47. doi: 10.1186/1471-2202-8-47.

Abstract

BACKGROUND

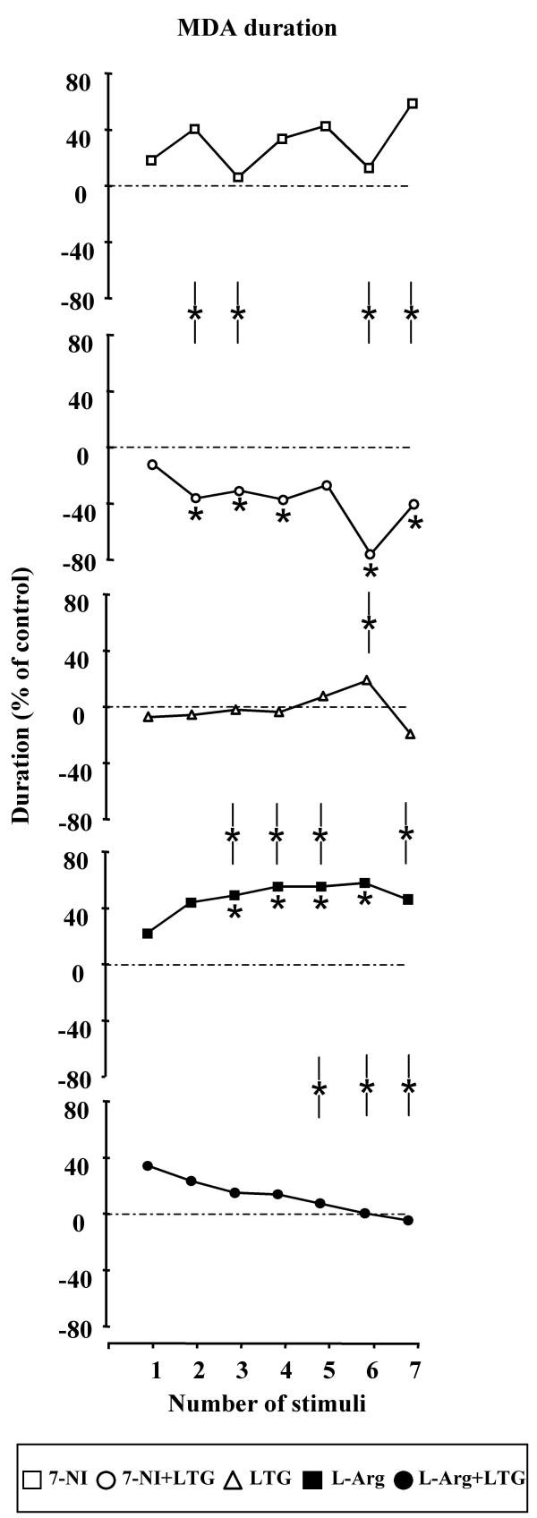
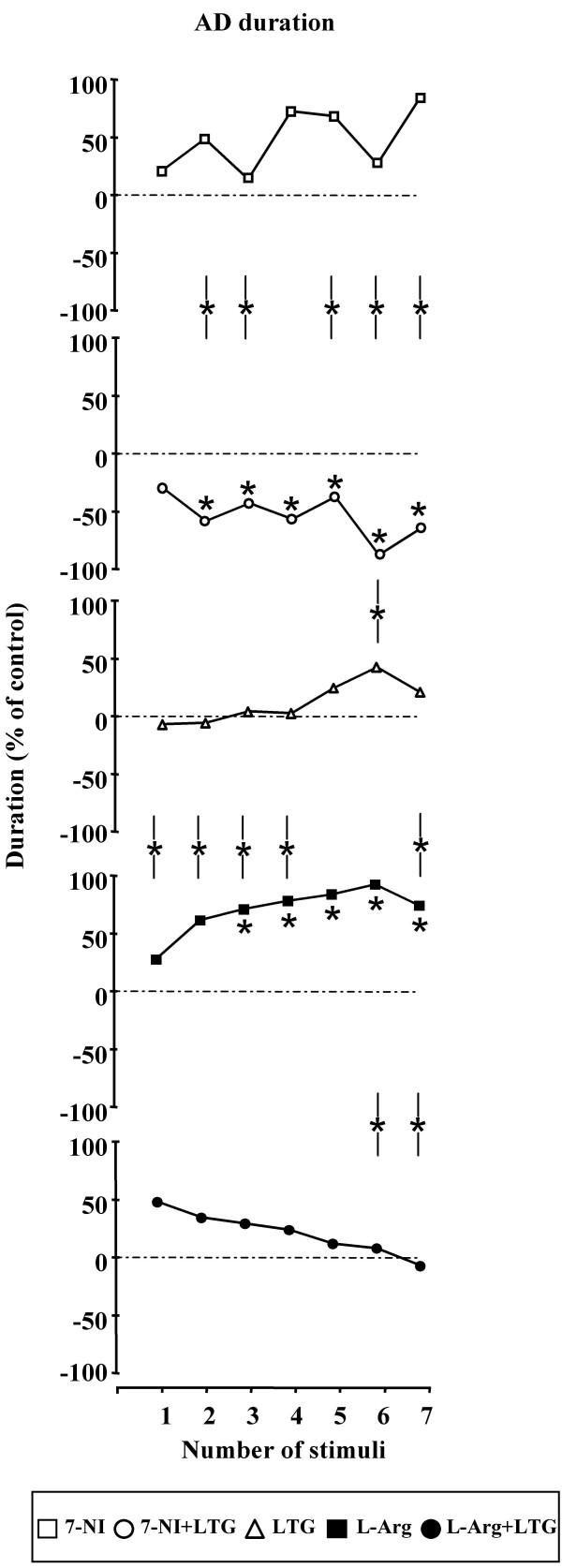
The effects induced by administering the anticonvulsant lamotrigine, the preferential inhibitor of neuronal nitric oxide synthase 7-nitroindazole and the precursor of NO synthesis L-arginine, alone or in combination, on an experimental model of partial complex seizures (maximal dentate gyrus activation) were studied in urethane anaesthetized rats. The epileptic activity of the dentate gyrus was obtained through the repetitive stimulation of the angular bundle and maximal dentate gyrus activation latency, duration and post-stimulus afterdischarge duration were evaluated.

RESULTS

Either Lamotrigine (10 mg kg-1) or 7-nitroindazole (75 mg kg-1) i.p. administration had an anticonvulsant effect, significantly reducing the number of animals responding to angular bundle stimulation. On the contrary, i.p. injection of L-arginine (1 g kg-1) induced an aggravation of the epileptiform phenomena, demonstrated by the significant augmentation of the duration of both maximal dentate activation and afterdischarge. Furthermore, the injection of lamotrigine and 7-nitroindazole in combination significantly increased the anticonvulsant effects induced by the same drugs separately, either reducing the number of responding animals or decreasing both maximal dentate gyrus activation and afterdischarge durations. On the contrary, the combined treatment with L-arginine and lamotrigine did not modify the maximal dentate gyrus activation parameters suggesting an adversative effect of L-arginine-increased nitric oxide levels on the lamotrigine-induced anticonvulsant action.

CONCLUSION

The present results indicate that the nitrergic neurotransmission exerts a significant modulatory role in the control of the development of paroxystic phenomena in the maximal dentate gyrus activation model of epilepsy. Finally, our data suggest a functional relationship between the nitric oxide system and the anticonvulsant effect of lamotrigine which could be enhanced by reducing nitric oxide levels and, conversely, dampened by an increased nitrergic activity.

摘要

背景

在乌拉坦麻醉的大鼠中,研究了单独或联合给予抗惊厥药拉莫三嗪、神经元型一氧化氮合酶的选择性抑制剂7-硝基吲唑以及一氧化氮合成前体L-精氨酸,对部分复杂性癫痫发作(最大齿状回激活)实验模型的影响。通过对角束的重复刺激获得齿状回的癫痫活动,并评估最大齿状回激活潜伏期、持续时间和刺激后放电持续时间。

结果

腹腔注射拉莫三嗪(10mg/kg)或7-硝基吲唑(75mg/kg)均具有抗惊厥作用,显著减少对角束刺激有反应的动物数量。相反,腹腔注射L-精氨酸(1g/kg)会加重癫痫样现象,表现为最大齿状回激活和放电后持续时间显著延长。此外,联合注射拉莫三嗪和7-硝基吲唑显著增强了相同药物单独使用时的抗惊厥作用,要么减少有反应动物的数量,要么缩短最大齿状回激活和放电后持续时间。相反,L-精氨酸与拉莫三嗪联合治疗并未改变最大齿状回激活参数,提示L-精氨酸增加的一氧化氮水平对拉莫三嗪诱导的抗惊厥作用具有拮抗作用。

结论

目前的结果表明,在癫痫最大齿状回激活模型中,一氧化氮能神经传递在控制发作性现象发展方面发挥着重要的调节作用。最后,我们的数据表明一氧化氮系统与拉莫三嗪的抗惊厥作用之间存在功能关系,降低一氧化氮水平可增强该作用,反之,一氧化氮能活性增加则会减弱该作用。

https://cdn.ncbi.nlm.nih.gov/pmc/blobs/3332/1950521/53891c41e45d/1471-2202-8-47-1.jpg

文献AI研究员

20分钟写一篇综述,助力文献阅读效率提升50倍。

立即体验

用中文搜PubMed

大模型驱动的PubMed中文搜索引擎

马上搜索

文档翻译

学术文献翻译模型,支持多种主流文档格式。

立即体验