• 文献检索
  • 文档翻译
  • 深度研究
  • 学术资讯
  • Suppr Zotero 插件Zotero 插件
  • 邀请有礼
  • 套餐&价格
  • 历史记录
应用&插件
Suppr Zotero 插件Zotero 插件浏览器插件Mac 客户端Windows 客户端微信小程序
定价
高级版会员购买积分包购买API积分包
服务
文献检索文档翻译深度研究API 文档MCP 服务
关于我们
关于 Suppr公司介绍联系我们用户协议隐私条款
关注我们

Suppr 超能文献

核心技术专利:CN118964589B侵权必究
粤ICP备2023148730 号-1Suppr @ 2026

文献检索

告别复杂PubMed语法,用中文像聊天一样搜索,搜遍4000万医学文献。AI智能推荐,让科研检索更轻松。

立即免费搜索

文件翻译

保留排版,准确专业,支持PDF/Word/PPT等文件格式,支持 12+语言互译。

免费翻译文档

深度研究

AI帮你快速写综述,25分钟生成高质量综述,智能提取关键信息,辅助科研写作。

立即免费体验

6-磷酸葡萄糖酸脱氢酶抑制剂4-磷酸-D-赤藓糖异羟肟酸的磷酸酯前药的合成及生物学评价

Synthesis and biological evaluation of phosphate prodrugs of 4-phospho-D-erythronohydroxamic acid, an inhibitor of 6-phosphogluconate dehydrogenase.

作者信息

Ruda Gian Filippo, Alibu Vincent P, Mitsos Christos, Bidet Olivier, Kaiser Marcel, Brun Reto, Barrett Michael P, Gilbert Ian H

机构信息

Division of Biological Chemistry and Molecular Microbiology, College of Life Sciences, University of Dundee, Sir James Black Centre, Dundee DD1 5EH, UK.

出版信息

ChemMedChem. 2007 Aug;2(8):1169-80. doi: 10.1002/cmdc.200700040.

DOI:10.1002/cmdc.200700040
PMID:17615587
原文链接:https://pmc.ncbi.nlm.nih.gov/articles/PMC2248282/
Abstract

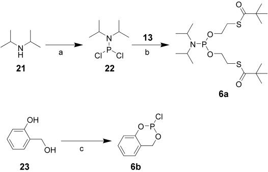
We have previously reported the discovery of potent and selective inhibitors of 6-phosphogluconate dehydrogenase, the third enzyme of the phosphate pentose pathway, from Trypanosoma brucei, the causative organism of human African trypanosomiasis. These inhibitors were charged phosphate derivatives with restricted capacity to enter cells. Herein, we report the synthesis of five different classes of prodrugs: phosphoramidate; bis-S-acyl thioethyl esters (bis-SATE); bis-pivaloxymethyl (bis-POM); CycloSaligenyl; and phenyl, S-acyl thioethyl mixed phosphate esters (mix-SATE). Prodrugs were studied for stability and activity against the intact parasites. Most prodrugs caused inhibition of the growth of the parasites. The activity of the prodrugs against the parasites appeared to be related to their stability in aqueous buffer.

摘要

我们之前曾报道过,从人类非洲锥虫病的病原体布氏锥虫中发现了6-磷酸葡萄糖酸脱氢酶(磷酸戊糖途径的第三种酶)的强效选择性抑制剂。这些抑制剂是带电荷的磷酸衍生物,进入细胞的能力有限。在此,我们报告了五类不同前药的合成:氨基磷酸酯;双-S-酰基硫代乙酯(双-SATE);双新戊酰氧甲基(双-POM);环水杨基酯;以及苯基、S-酰基硫代乙酯混合磷酸酯(混合-SATE)。对前药进行了稳定性和对完整寄生虫活性的研究。大多数前药导致寄生虫生长受到抑制。前药对寄生虫的活性似乎与其在水性缓冲液中的稳定性有关。

https://cdn.ncbi.nlm.nih.gov/pmc/blobs/12c6/2699041/8d3362a0b2ee/cmdc0002-1169-f3.jpg
https://cdn.ncbi.nlm.nih.gov/pmc/blobs/12c6/2699041/8b2238ffba3d/cmdc0002-1169-f1.jpg
https://cdn.ncbi.nlm.nih.gov/pmc/blobs/12c6/2699041/daa202688d64/cmdc0002-1169-f4.jpg
https://cdn.ncbi.nlm.nih.gov/pmc/blobs/12c6/2699041/c785392eac81/cmdc0002-1169-f5.jpg
https://cdn.ncbi.nlm.nih.gov/pmc/blobs/12c6/2699041/cbd96037887d/cmdc0002-1169-f6.jpg
https://cdn.ncbi.nlm.nih.gov/pmc/blobs/12c6/2699041/d3c58ec73b0b/cmdc0002-1169-f7.jpg
https://cdn.ncbi.nlm.nih.gov/pmc/blobs/12c6/2699041/4924df2328c3/cmdc0002-1169-f8.jpg
https://cdn.ncbi.nlm.nih.gov/pmc/blobs/12c6/2699041/dcb4272e9bdb/cmdc0002-1169-f9.jpg
https://cdn.ncbi.nlm.nih.gov/pmc/blobs/12c6/2699041/f4c3210abd7c/cmdc0002-1169-f2.jpg
https://cdn.ncbi.nlm.nih.gov/pmc/blobs/12c6/2699041/8d3362a0b2ee/cmdc0002-1169-f3.jpg
https://cdn.ncbi.nlm.nih.gov/pmc/blobs/12c6/2699041/8b2238ffba3d/cmdc0002-1169-f1.jpg
https://cdn.ncbi.nlm.nih.gov/pmc/blobs/12c6/2699041/daa202688d64/cmdc0002-1169-f4.jpg
https://cdn.ncbi.nlm.nih.gov/pmc/blobs/12c6/2699041/c785392eac81/cmdc0002-1169-f5.jpg
https://cdn.ncbi.nlm.nih.gov/pmc/blobs/12c6/2699041/cbd96037887d/cmdc0002-1169-f6.jpg
https://cdn.ncbi.nlm.nih.gov/pmc/blobs/12c6/2699041/d3c58ec73b0b/cmdc0002-1169-f7.jpg
https://cdn.ncbi.nlm.nih.gov/pmc/blobs/12c6/2699041/4924df2328c3/cmdc0002-1169-f8.jpg
https://cdn.ncbi.nlm.nih.gov/pmc/blobs/12c6/2699041/dcb4272e9bdb/cmdc0002-1169-f9.jpg
https://cdn.ncbi.nlm.nih.gov/pmc/blobs/12c6/2699041/f4c3210abd7c/cmdc0002-1169-f2.jpg
https://cdn.ncbi.nlm.nih.gov/pmc/blobs/12c6/2699041/8d3362a0b2ee/cmdc0002-1169-f3.jpg

相似文献

1
Synthesis and biological evaluation of phosphate prodrugs of 4-phospho-D-erythronohydroxamic acid, an inhibitor of 6-phosphogluconate dehydrogenase.6-磷酸葡萄糖酸脱氢酶抑制剂4-磷酸-D-赤藓糖异羟肟酸的磷酸酯前药的合成及生物学评价
ChemMedChem. 2007 Aug;2(8):1169-80. doi: 10.1002/cmdc.200700040.
2
Aryl phosphoramidates of 5-phospho erythronohydroxamic acid, a new class of potent trypanocidal compounds.5-磷酸赤式羟肟酸芳基磷酰胺酯,一类新型有效的杀锥虫化合物。
J Med Chem. 2010 Aug 26;53(16):6071-8. doi: 10.1021/jm1004754.
3
Thermodynamic characterization of substrate and inhibitor binding to Trypanosoma brucei 6-phosphogluconate dehydrogenase.底物和抑制剂与布氏锥虫6-磷酸葡萄糖酸脱氢酶结合的热力学特征
FEBS J. 2007 Dec;274(24):6426-35. doi: 10.1111/j.1742-4658.2007.06160.x. Epub 2007 Nov 15.
4
6-phosphogluconate dehydrogenase: a target for drugs in African trypanosomes.6-磷酸葡萄糖酸脱氢酶:非洲锥虫中的药物靶点。
Curr Med Chem. 2004 Oct;11(19):2639-50. doi: 10.2174/0929867043364441.
5
Selective inhibition of Trypanosoma brucei 6-phosphogluconate dehydrogenase by high-energy intermediate and transition-state analogues.高能中间体和过渡态类似物对布氏锥虫6-磷酸葡萄糖酸脱氢酶的选择性抑制作用。
J Med Chem. 2004 Jun 17;47(13):3427-37. doi: 10.1021/jm031066i.
6
Crystal structures of a bacterial 6-phosphogluconate dehydrogenase reveal aspects of specificity, mechanism and mode of inhibition by analogues of high-energy reaction intermediates.一种细菌6-磷酸葡萄糖酸脱氢酶的晶体结构揭示了特异性、机制以及高能反应中间体类似物的抑制模式等方面。
FEBS J. 2007 Jan;274(1):275-86. doi: 10.1111/j.1742-4658.2006.05585.x.
7
Cell permeation of a Trypanosoma brucei aldolase inhibitor: evaluation of different enzyme-labile phosphate protecting groups.布氏锥虫醛缩酶抑制剂的细胞渗透:不同酶不稳定磷酸保护基团的评估
Bioorg Med Chem Lett. 2006 Jul 1;16(13):3440-3. doi: 10.1016/j.bmcl.2006.04.010. Epub 2006 Apr 24.
8
Sugar derivatives as new 6-phosphogluconate dehydrogenase inhibitors selective for the parasite Trypanosoma brucei.糖衍生物作为对布氏锥虫具有选择性的新型6-磷酸葡萄糖酸脱氢酶抑制剂。
Bioorg Med Chem. 2003 Apr 3;11(7):1207-14. doi: 10.1016/s0968-0896(02)00650-8.
9
Synthesis and biological evaluation of substrate-based inhibitors of 6-phosphogluconate dehydrogenase as potential drugs against African trypanosomiasis.基于底物的6-磷酸葡萄糖酸脱氢酶抑制剂的合成及其作为抗非洲锥虫病潜在药物的生物学评价
Bioorg Med Chem. 2003 Jul 17;11(14):3205-14. doi: 10.1016/s0968-0896(03)00191-3.
10
Targeting the Pentose Phosphate Pathway: Characterization of a New 6PGL Inhibitor.靶向戊糖磷酸途径:新型 6PGL 抑制剂的表征。
Biophys J. 2018 Dec 4;115(11):2114-2126. doi: 10.1016/j.bpj.2018.10.027. Epub 2018 Nov 6.

引用本文的文献

1
The immune response to RNA suppresses nucleic acid synthesis by limiting ribose 5-phosphate.免疫应答对 RNA 的反应通过限制核糖 5-磷酸来抑制核酸合成。
EMBO J. 2024 Jul;43(13):2636-2660. doi: 10.1038/s44318-024-00100-w. Epub 2024 May 22.
2
Crystal Structures of 6-Phosphogluconate Dehydrogenase from .6-磷酸葡萄糖酸脱氢酶的晶体结构来自.
J Microbiol Biotechnol. 2023 Oct 28;33(10):1361-1369. doi: 10.4014/jmb.2305.05002. Epub 2023 Jun 27.
3
Enzyme-Catalyzed Kinetic Resolution of Chiral Precursors to Antiviral Prodrugs.酶催化的手性前体的动力学拆分用于抗病毒前药。

本文引用的文献

1
Cell permeation of a Trypanosoma brucei aldolase inhibitor: evaluation of different enzyme-labile phosphate protecting groups.布氏锥虫醛缩酶抑制剂的细胞渗透:不同酶不稳定磷酸保护基团的评估
Bioorg Med Chem Lett. 2006 Jul 1;16(13):3440-3. doi: 10.1016/j.bmcl.2006.04.010. Epub 2006 Apr 24.
2
Anti-cancer ProTides: tuning the activity of BVDU phosphoramidates related to thymectacin.抗癌前药:调节与胸腺霉素相关的BVDU氨基磷酸酯的活性
Bioorg Med Chem. 2005 May 2;13(9):3219-27. doi: 10.1016/j.bmc.2005.02.041.
3
6-phosphogluconate dehydrogenase: a target for drugs in African trypanosomes.
Biochemistry. 2019 Jul 23;58(29):3204-3211. doi: 10.1021/acs.biochem.9b00530. Epub 2019 Jul 10.
4
The ProTide Prodrug Technology: Where Next?前药技术:何去何从?
ACS Med Chem Lett. 2018 Dec 20;10(1):2-5. doi: 10.1021/acsmedchemlett.8b00586. eCollection 2019 Jan 10.
5
Phosphoramidates and phosphonamidates (ProTides) with antiviral activity.具有抗病毒活性的氨基磷酸酯和膦酰氨基甲酸酯(前药)。
Antivir Chem Chemother. 2018 Jan-Dec;26:2040206618775243. doi: 10.1177/2040206618775243.
6
The ProTide Prodrug Technology: From the Concept to the Clinic.前药 ProTide 技术:从概念到临床。
J Med Chem. 2018 Mar 22;61(6):2211-2226. doi: 10.1021/acs.jmedchem.7b00734. Epub 2017 Aug 24.
7
Essential multimeric enzymes in kinetoplastid parasites: A host of potentially druggable protein-protein interactions.动质体寄生虫中的必需多聚体酶:大量潜在的可药物靶向的蛋白质-蛋白质相互作用。
PLoS Negl Trop Dis. 2017 Jun 29;11(6):e0005720. doi: 10.1371/journal.pntd.0005720. eCollection 2017 Jun.
8
Aryl phosphoramidates of 5-phospho erythronohydroxamic acid, a new class of potent trypanocidal compounds.5-磷酸赤式羟肟酸芳基磷酰胺酯,一类新型有效的杀锥虫化合物。
J Med Chem. 2010 Aug 26;53(16):6071-8. doi: 10.1021/jm1004754.
9
Virtual fragment screening for novel inhibitors of 6-phosphogluconate dehydrogenase.虚拟片段筛选新型 6-磷酸葡萄糖酸脱氢酶抑制剂。
Bioorg Med Chem. 2010 Jul 15;18(14):5056-62. doi: 10.1016/j.bmc.2010.05.077. Epub 2010 Jun 9.
6-磷酸葡萄糖酸脱氢酶:非洲锥虫中的药物靶点。
Curr Med Chem. 2004 Oct;11(19):2639-50. doi: 10.2174/0929867043364441.
4
The pentose phosphate pathway and parasitic protozoa.磷酸戊糖途径与寄生原生动物
Parasitol Today. 1997 Jan;13(1):11-6. doi: 10.1016/s0169-4758(96)10075-2.
5
Selective inhibition of Trypanosoma brucei 6-phosphogluconate dehydrogenase by high-energy intermediate and transition-state analogues.高能中间体和过渡态类似物对布氏锥虫6-磷酸葡萄糖酸脱氢酶的选择性抑制作用。
J Med Chem. 2004 Jun 17;47(13):3427-37. doi: 10.1021/jm031066i.
6
Efficient synthesis of phosphorylated prodrugs with bis(POM)-phosphoryl chloride.用双(聚氧化钼)磷酰氯高效合成磷酸化前药。
Org Lett. 2004 May 13;6(10):1555-6. doi: 10.1021/ol049714v.
7
Synthesis, stability, and biological evaluation of 1,3-dihydrobenzo[c]furan analogue of d4T and its SATE pronucleotide.司他夫定的1,3-二氢苯并[c]呋喃类似物及其SATE前药的合成、稳定性和生物学评价。
Nucleosides Nucleotides Nucleic Acids. 2003 May-Aug;22(5-8):943-5. doi: 10.1081/NCN-120022691.
8
Synthesis and biological evaluation of substrate-based inhibitors of 6-phosphogluconate dehydrogenase as potential drugs against African trypanosomiasis.基于底物的6-磷酸葡萄糖酸脱氢酶抑制剂的合成及其作为抗非洲锥虫病潜在药物的生物学评价
Bioorg Med Chem. 2003 Jul 17;11(14):3205-14. doi: 10.1016/s0968-0896(03)00191-3.
9
Prodrugs of biologically active phosphate esters.生物活性磷酸酯的前药。
Bioorg Med Chem. 2003 Mar 20;11(6):885-98. doi: 10.1016/s0968-0896(02)00552-7.
10
High-throughput catch-and-release synthesis of oxazoline hydroxamates. Structure-activity relationships in novel inhibitors of Escherichia coli LpxC: in vitro enzyme inhibition and antibacterial properties.恶唑啉异羟肟酸酯的高通量捕获与释放合成。大肠杆菌LpxC新型抑制剂的构效关系:体外酶抑制和抗菌特性。
J Am Chem Soc. 2003 Feb 12;125(6):1575-86. doi: 10.1021/ja0209114.