Smitten Allison L, Simon Teresa A, Hochberg Marc C, Suissa Samy
Duke University School of Medicine, Duke South, Durham, NC, 27710 USA.
Arthritis Res Ther. 2008;10(2):R45. doi: 10.1186/ar2404. Epub 2008 Apr 23.
The risk of malignancies in patients with rheumatoid arthritis (RA) has raised some concern, particularly with immunosuppressive approaches to disease management.
We conducted a systematic review of the literature and meta-analysis characterizing the associated risk of overall malignancy and four site-specific malignancies (lymphoma, lung, colorectal, and breast cancer) in patients with RA. A Medline search from 1990 to 2007 was conducted using specified search terms and predefined inclusion criteria for identification of relevant observational studies that provide estimates of relative risk of malignancy associated with RA. Study-specific estimates of the relative risk, as measured by standardized incidence ratios (SIRs) and estimated in comparison with the general population, were combined using a random effects model.
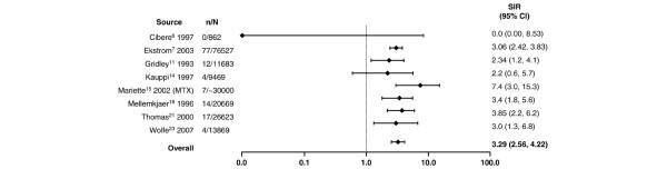
A total of 21 publications were identified, of which 13 reported the SIR for overall malignancy, 14 for lymphoma, 10 for colorectal, 12 for lung, and 9 for breast cancer. Compared with the general population, the overall SIR estimates suggest that RA patients have approximately a two-fold increase in lymphoma risk (SIR 2.08, 95% confidence interval [CI] 1.80 to 2.39) and greater risk of Hodgkin than non-Hodgkin lymphoma. The risk of lung cancer was also increased with an SIR of 1.63 (95% CI 1.43 to 1.87). In contrast, a decrease in risk was observed for colorectal (SIR 0.77, 95% CI 0.65 to 0.90) and breast (SIR 0.84, 95% CI 0.79 to 0.90) cancer. The SIR for overall malignancy was 1.05 (95% CI 1.01 to 1.09).
Patients with RA appear to be at higher risk of lymphoma and lung cancer and potentially decreased risk for colorectal and breast cancer compared with the general population.
类风湿关节炎(RA)患者发生恶性肿瘤的风险引发了一些关注,尤其是在疾病管理采用免疫抑制方法的情况下。
我们对文献进行了系统回顾和荟萃分析,以确定RA患者发生总体恶性肿瘤及四种特定部位恶性肿瘤(淋巴瘤、肺癌、结直肠癌和乳腺癌)的相关风险。使用特定检索词和预定义纳入标准对1990年至2007年的Medline进行检索,以识别提供RA相关恶性肿瘤相对风险估计值的相关观察性研究。通过标准化发病比(SIR)衡量并与一般人群比较估算的各研究特定相对风险估计值,采用随机效应模型进行合并。
共识别出21篇出版物,其中13篇报告了总体恶性肿瘤的SIR,14篇报告了淋巴瘤的SIR,10篇报告了结直肠癌的SIR,12篇报告了肺癌的SIR,9篇报告了乳腺癌的SIR。与一般人群相比,总体SIR估计值表明,RA患者患淋巴瘤的风险大约增加两倍(SIR 2.08,95%置信区间[CI] 1.80至2.39),且霍奇金淋巴瘤的风险高于非霍奇金淋巴瘤。肺癌风险也有所增加,SIR为1.63(95% CI 1.43至1.87)。相比之下,结直肠癌(SIR 0.77,95% CI 0.65至0.90)和乳腺癌(SIR 0.84,95% CI 0.79至0.90)的风险降低。总体恶性肿瘤的SIR为1.05(95% CI 1.01至1.09)。
与一般人群相比,RA患者似乎患淋巴瘤和肺癌的风险更高,而患结直肠癌和乳腺癌的风险可能降低。