Suppr超能文献

HIV-1相关蛋白表达对转基因大鼠心脏和骨骼肌的影响。

Effect of HIV-1-related protein expression on cardiac and skeletal muscles from transgenic rats.

作者信息

Otis Jeffrey S, Ashikhmin Yaroslav I, Brown Lou Ann S, Guidot David M

机构信息

Pulmonary, Allergy and Critical Care Medicine, Atlanta VA Medical Center and Emory University School of Medicine, 1670 Clairmont Road, Decatur, GA 30033, USA.

出版信息

AIDS Res Ther. 2008 Apr 25;5:8. doi: 10.1186/1742-6405-5-8.

Abstract

BACKGROUND

Human immunodeficiency virus type 1 (HIV-1) infection and the consequent acquired immunodeficiency syndrome (AIDS) has protean manifestations, including muscle wasting and cardiomyopathy, which contribute to its high morbidity. The pathogenesis of these myopathies remains partially understood, and may include nutritional deficiencies, biochemical abnormalities, inflammation, and other mechanisms due to viral infection and replication. Growing evidence has suggested that HIV-1-related proteins expressed by the host in response to viral infection, including Tat and gp120, may also be involved in the pathophysiology of AIDS, particularly in cells or tissues that are not directly infected with HIV-1. To explore the potentially independent effects of HIV-1-related proteins on heart and skeletal muscles, we used a transgenic rat model that expresses several HIV-1-related proteins (e.g., Tat, gp120, and Nef). Outcome measures included basic heart and skeletal muscle morphology, glutathione metabolism and oxidative stress, and gene expressions of atrogin-1, muscle ring finger protein-1 (MuRF-1) and Transforming Growth Factor-beta1 (TGFbeta1), three factors associated with muscle catabolism.

RESULTS

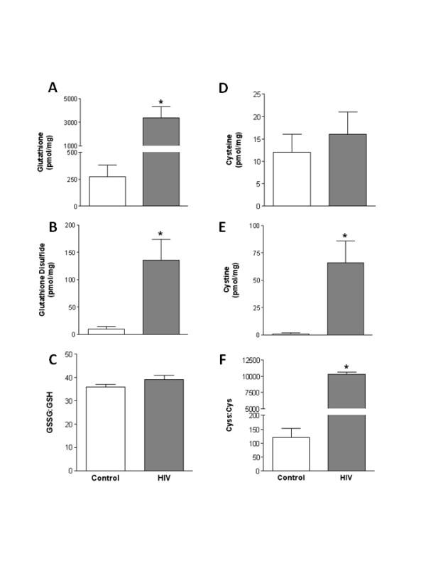
Consistent with HIV-1 associated myopathies in humans, HIV-1 transgenic rats had increased relative heart masses, decreased relative masses of soleus, plantaris and gastrocnemius muscles, and decreased total and myosin heavy chain type-specific plantaris muscle fiber areas. In both tissues, the levels of cystine (Cyss), the oxidized form of the anti-oxidant cysteine (Cys), and Cyss:Cys ratios were significantly elevated, and cardiac tissue from HIV-1 transgenic rats had altered glutathione metabolism, all reflective of significant oxidative stress. In HIV-1 transgenic rat hearts, MuRF-1 gene expression was increased. Further, HIV-1-related protein expression also increased atrogin-1 (approximately 14- and approximately 3-fold) and TGFbeta1 (approximately 5-fold and approximately 3-fold) in heart and plantaris muscle tissues, respectively.

CONCLUSION

We provide compelling experimental evidence that HIV-1-related proteins can lead to significant cardiac and skeletal muscle complications independently of viral infection or replication. Our data support the concept that HIV-1-related proteins are not merely disease markers, but rather have significant biological activity that may lead to increased oxidative stress, the stimulation of redox-sensitive pathways, and altered muscle morphologies. If correct, this pathophysiological scheme suggests that the use of dietary thiol supplements could reduce skeletal and cardiac muscle dysfunction in HIV-1-infected individuals.

摘要

背景

人类免疫缺陷病毒1型(HIV-1)感染及随之而来的获得性免疫缺陷综合征(AIDS)有多种表现,包括肌肉萎缩和心肌病,这导致其高发病率。这些肌病的发病机制仍部分未明,可能包括营养缺乏、生化异常、炎症以及病毒感染和复制引起的其他机制。越来越多的证据表明,宿主因病毒感染而表达的与HIV-1相关的蛋白质,包括Tat和gp120,也可能参与AIDS的病理生理过程,尤其是在未直接感染HIV-1的细胞或组织中。为了探究与HIV-1相关的蛋白质对心脏和骨骼肌的潜在独立影响,我们使用了一种表达多种与HIV-1相关蛋白质(如Tat、gp120和Nef)的转基因大鼠模型。观察指标包括心脏和骨骼肌的基本形态、谷胱甘肽代谢和氧化应激,以及atrogin-1、肌肉环形指蛋白-1(MuRF-1)和转化生长因子-β1(TGFβ1)的基因表达,这三个因子与肌肉分解代谢有关。

结果

与人类HIV-1相关的肌病一致,HIV-1转基因大鼠的相对心脏重量增加,比目鱼肌、跖肌和腓肠肌的相对重量减少,跖肌总肌纤维面积和肌球蛋白重链类型特异性肌纤维面积减小。在这两种组织中,抗氧化剂半胱氨酸(Cys)的氧化形式胱氨酸(Cyss)水平和Cyss:Cys比值均显著升高,HIV-1转基因大鼠的心脏组织谷胱甘肽代谢发生改变,所有这些都反映了显著的氧化应激。在HIV-1转基因大鼠心脏中,MuRF-1基因表达增加。此外,与HIV-1相关的蛋白质表达也分别使心脏和跖肌组织中的atrogin-1(约14倍和约3倍)和TGFβ1(约5倍和约3倍)增加。

结论

我们提供了令人信服的实验证据,证明与HIV-1相关的蛋白质可独立于病毒感染或复制而导致显著的心脏和骨骼肌并发症。我们的数据支持这样的概念,即与HIV-1相关的蛋白质不仅是疾病标志物,而且具有显著的生物活性,可能导致氧化应激增加、氧化还原敏感途径的刺激以及肌肉形态改变。如果正确,这种病理生理机制表明,使用膳食硫醇补充剂可能会减轻HIV-1感染者的骨骼肌和心脏功能障碍。

https://cdn.ncbi.nlm.nih.gov/pmc/blobs/434b/2365956/d1a7b47a04f4/1742-6405-5-8-1.jpg

文献AI研究员

20分钟写一篇综述,助力文献阅读效率提升50倍。

立即体验

用中文搜PubMed

大模型驱动的PubMed中文搜索引擎

马上搜索

文档翻译

学术文献翻译模型,支持多种主流文档格式。

立即体验