Suppr超能文献

健康男性体内的可溶性细胞间黏附分子-1(s-ICAM-1)和可溶性血管细胞黏附分子-1(s-VCAM-1)与代谢综合征的特征密切相关,这在餐后对富含脂质食物的反应中表现明显。

s-ICAM-1 and s-VCAM-1 in healthy men are strongly associated with traits of the metabolic syndrome, becoming evident in the postprandial response to a lipid-rich meal.

作者信息

Rubin Diana, Claas Sandra, Pfeuffer Maria, Nothnagel Michael, Foelsch Ulrich R, Schrezenmeir Juergen

机构信息

Max-Rubner-Institut, Federal Research Center of Nutrition and Food, Herrmann-Weigmann-Str.1, 24103 Kiel, Germany.

出版信息

Lipids Health Dis. 2008 Sep 1;7:32. doi: 10.1186/1476-511X-7-32.

Abstract

BACKGROUND

The importance of the postprandial state for the early stages of atherogenesis is increasingly acknowledged. We conducted assessment of association between postprandial triglycerides, insulin and glucose after ingestion of a standardized lipid-rich test meal, and soluble cellular adhesion molecules (sCAM) in young healthy subjects.

METHODS

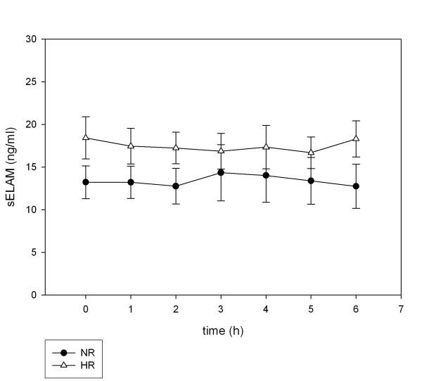
Metabolic parameters and sICAM-1, sVCAM-1 and E-selectin were measured before and hourly until 6 hours after ingestion of a lipid-rich meal in 30 healthy young men with fasting triglycerides <150 mg/dl and normal fasting glucose levels. Subjects were classified as either normal responders (NR) (postprandial triglyceride maxima < 260 mg/dl) or high responders (HR) (postprandial triglyceride maxima > 260 mg/dl). Levels of CAM were compared in HR and NR, and correlation with postprandial triglyceride, insulin and glucose response was assessed.

RESULTS

Fasting sICAM-1 and sVCAM-1 levels were significantly higher in HR as compared to NR (p = 0.046, p = 0.03). For sE-selectin there was such a trend (p = 0.05). There was a strong positive and independent correlation between sICAM-1 and postprandial insulin maxima (r = 0.70, p < 0.001). sVCAM-1 showed significant correlation with postprandial triglycerides (AUC) (r = 0.37, p = 0.047). We found no correlation between sCAMs and fasting insulin or triglyceride concentrations.

CONCLUSION

This independent association of postprandial triglycerides with sICAM-1 may indicate a particular impact of postprandial lipid metabolism on endothelial reaction.

摘要

背景

餐后状态在动脉粥样硬化形成早期的重要性日益得到认可。我们对年轻健康受试者摄入标准化富含脂质测试餐后的餐后甘油三酯、胰岛素和葡萄糖与可溶性细胞黏附分子(sCAM)之间的关联进行了评估。

方法

在30名空腹甘油三酯<150mg/dl且空腹血糖水平正常的健康年轻男性中,在摄入富含脂质的餐食前及之后每小时测量代谢参数以及sICAM-1、sVCAM-1和E-选择素,直至6小时后。受试者被分类为正常反应者(NR)(餐后甘油三酯最大值<260mg/dl)或高反应者(HR)(餐后甘油三酯最大值>260mg/dl)。比较了HR和NR中CAM的水平,并评估了其与餐后甘油三酯、胰岛素和葡萄糖反应的相关性。

结果

与NR相比,HR中的空腹sICAM-1和sVCAM-1水平显著更高(p = 0.046,p = 0.03)。对于sE-选择素存在这样的趋势(p = 0.05)。sICAM-1与餐后胰岛素最大值之间存在强正相关且独立相关(r = 0.70,p < 0.001)。sVCAM-1与餐后甘油三酯(AUC)显示出显著相关性(r = 0.37,p = 0.047)。我们未发现sCAM与空腹胰岛素或甘油三酯浓度之间存在相关性。

结论

餐后甘油三酯与sICAM-1的这种独立关联可能表明餐后脂质代谢对内皮反应有特定影响。

https://cdn.ncbi.nlm.nih.gov/pmc/blobs/492e/2543007/c9dbba51a188/1476-511X-7-32-1.jpg

文献AI研究员

20分钟写一篇综述,助力文献阅读效率提升50倍。

立即体验

用中文搜PubMed

大模型驱动的PubMed中文搜索引擎

马上搜索

文档翻译

学术文献翻译模型,支持多种主流文档格式。

立即体验