• 文献检索
  • 文档翻译
  • 深度研究
  • 学术资讯
  • Suppr Zotero 插件Zotero 插件
  • 邀请有礼
  • 套餐&价格
  • 历史记录
应用&插件
Suppr Zotero 插件Zotero 插件浏览器插件Mac 客户端Windows 客户端微信小程序
定价
高级版会员购买积分包购买API积分包
服务
文献检索文档翻译深度研究API 文档MCP 服务
关于我们
关于 Suppr公司介绍联系我们用户协议隐私条款
关注我们

Suppr 超能文献

核心技术专利:CN118964589B侵权必究
粤ICP备2023148730 号-1Suppr @ 2026

文献检索

告别复杂PubMed语法,用中文像聊天一样搜索,搜遍4000万医学文献。AI智能推荐,让科研检索更轻松。

立即免费搜索

文件翻译

保留排版,准确专业,支持PDF/Word/PPT等文件格式,支持 12+语言互译。

免费翻译文档

深度研究

AI帮你快速写综述,25分钟生成高质量综述,智能提取关键信息,辅助科研写作。

立即免费体验

黄色、蓝色和绿色荧光蛋白中发色团的光物理性质及二面角自由度

Photophysics and dihedral freedom of the chromophore in yellow, blue, and green fluorescent protein.

作者信息

Megley Colleen M, Dickson Luisa A, Maddalo Scott L, Chandler Gabriel J, Zimmer Marc

机构信息

Chemistry Department, Connecticut College, New London, Connecticut 06320, USA.

出版信息

J Phys Chem B. 2009 Jan 8;113(1):302-8. doi: 10.1021/jp806285s.

DOI:10.1021/jp806285s
PMID:19067572
原文链接:https://pmc.ncbi.nlm.nih.gov/articles/PMC2671006/
Abstract

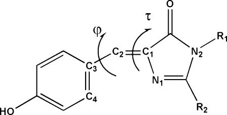
Green fluorescent protein (GFP) and GFP-like fluorescent proteins owe their photophysical properties to an autocatalytically formed intrinsic chromophore. According to quantum mechanical calculations, the excited state of chromophore model systems has significant dihedral freedom, which may lead to fluorescence quenching intersystem crossing. Molecular dynamics simulations with freely rotating chromophoric dihedrals were performed on green, yellow, and blue fluorescent proteins in order to model the dihedral freedom available to the chromophore in the excited state. Most current theories suggest that a restriction in the rotational freedom of the fluorescent protein chromophore will lead to an increase in fluorescence brightness and/or quantum yield. According to our calculations, the dihedral freedom of the systems studied (BFP > A5 > YFP > GFP) increases in the inverse order to the quantum yield. In all simulations, the chromophore undergoes a negatively correlated hula twist (also known as a bottom hula twist mechanism).

摘要

绿色荧光蛋白(GFP)及类GFP荧光蛋白的光物理性质源于自身催化形成的内在发色团。根据量子力学计算,发色团模型系统的激发态具有显著的二面角自由度,这可能导致荧光猝灭和系间窜越。为模拟发色团在激发态下的二面角自由度,对绿色、黄色和蓝色荧光蛋白进行了发色团二面角自由旋转的分子动力学模拟。目前大多数理论认为,荧光蛋白发色团旋转自由度的限制将导致荧光亮度和/或量子产率增加。根据我们的计算,所研究系统(蓝色荧光蛋白>BFP>A5>黄色荧光蛋白>绿色荧光蛋白)的二面角自由度与量子产率呈相反顺序增加。在所有模拟中,发色团都经历了负相关的呼啦圈扭转(也称为底部呼啦圈扭转机制)。

https://cdn.ncbi.nlm.nih.gov/pmc/blobs/5135/2729570/a75e82b058bb/jp-2008-06285s_0008.jpg
https://cdn.ncbi.nlm.nih.gov/pmc/blobs/5135/2729570/c0f80b796537/jp-2008-06285s_0001.jpg
https://cdn.ncbi.nlm.nih.gov/pmc/blobs/5135/2729570/9e0bf8fb3547/jp-2008-06285s_0002.jpg
https://cdn.ncbi.nlm.nih.gov/pmc/blobs/5135/2729570/9b609aab2b7d/jp-2008-06285s_0003.jpg
https://cdn.ncbi.nlm.nih.gov/pmc/blobs/5135/2729570/7c3c9b14e51a/jp-2008-06285s_0004.jpg
https://cdn.ncbi.nlm.nih.gov/pmc/blobs/5135/2729570/8073dd197ed3/jp-2008-06285s_0006.jpg
https://cdn.ncbi.nlm.nih.gov/pmc/blobs/5135/2729570/62036856d27c/jp-2008-06285s_0007.jpg
https://cdn.ncbi.nlm.nih.gov/pmc/blobs/5135/2729570/a75e82b058bb/jp-2008-06285s_0008.jpg
https://cdn.ncbi.nlm.nih.gov/pmc/blobs/5135/2729570/c0f80b796537/jp-2008-06285s_0001.jpg
https://cdn.ncbi.nlm.nih.gov/pmc/blobs/5135/2729570/9e0bf8fb3547/jp-2008-06285s_0002.jpg
https://cdn.ncbi.nlm.nih.gov/pmc/blobs/5135/2729570/9b609aab2b7d/jp-2008-06285s_0003.jpg
https://cdn.ncbi.nlm.nih.gov/pmc/blobs/5135/2729570/7c3c9b14e51a/jp-2008-06285s_0004.jpg
https://cdn.ncbi.nlm.nih.gov/pmc/blobs/5135/2729570/8073dd197ed3/jp-2008-06285s_0006.jpg
https://cdn.ncbi.nlm.nih.gov/pmc/blobs/5135/2729570/62036856d27c/jp-2008-06285s_0007.jpg
https://cdn.ncbi.nlm.nih.gov/pmc/blobs/5135/2729570/a75e82b058bb/jp-2008-06285s_0008.jpg

相似文献

1
Photophysics and dihedral freedom of the chromophore in yellow, blue, and green fluorescent protein.黄色、蓝色和绿色荧光蛋白中发色团的光物理性质及二面角自由度
J Phys Chem B. 2009 Jan 8;113(1):302-8. doi: 10.1021/jp806285s.
2
The role of the protein matrix in green fluorescent protein fluorescence.蛋白质基质在绿色荧光蛋白荧光中的作用。
Photochem Photobiol. 2006 Mar-Apr;82(2):367-72. doi: 10.1562/2005-04-11-RA-485.
3
Role of Hydrogen Bonding in Green Fluorescent Protein-like Chromophore Emission.氢键在绿色荧光蛋白类似发色团发光中的作用。
Sci Rep. 2019 Aug 12;9(1):11640. doi: 10.1038/s41598-019-47660-0.
4
X-ray structure of Cerulean GFP: a tryptophan-based chromophore useful for fluorescence lifetime imaging.天蓝绿色荧光蛋白的X射线结构:一种基于色氨酸的发色团,可用于荧光寿命成像。
Biochemistry. 2007 Sep 4;46(35):9865-73. doi: 10.1021/bi602664c. Epub 2007 Aug 8.
5
Collapse and recovery of green fluorescent protein chromophore emission through topological effects.通过拓扑效应实现绿色荧光蛋白生色团发射的崩塌和恢复。
Acc Chem Res. 2012 Feb 21;45(2):171-81. doi: 10.1021/ar2000925. Epub 2011 Aug 24.
6
On the mechanism of non-radiative decay of blue fluorescent protein chromophore: New insight from the excited-state molecular dynamics simulations and potential energy calculations.探讨蓝色荧光蛋白发色团非辐射衰减的机制:激发态分子动力学模拟和势能计算的新见解。
Spectrochim Acta A Mol Biomol Spectrosc. 2017 Nov 5;186:52-58. doi: 10.1016/j.saa.2017.06.005. Epub 2017 Jun 6.
7
Ultrafast proton shuttling in Psammocora cyan fluorescent protein.蓝珊瑚钙蛋白中超快质子穿梭。
J Phys Chem B. 2013 Sep 26;117(38):11134-43. doi: 10.1021/jp401114e. Epub 2013 Apr 19.
8
Concerted asynchronous hula-twist photoisomerization in the S65T/H148D mutant of green fluorescent protein.绿色荧光蛋白 S65T/H148D 突变体的协同异步呼啦扭转光异构化。
Angew Chem Int Ed Engl. 2014 Aug 11;53(33):8649-53. doi: 10.1002/anie.201405303. Epub 2014 Jul 14.
9
Quantum chemistry behind bioimaging: insights from ab initio studies of fluorescent proteins and their chromophores.生物成像背后的量子化学:从头算研究荧光蛋白及其生色团的见解。
Acc Chem Res. 2012 Feb 21;45(2):265-75. doi: 10.1021/ar2001556. Epub 2011 Sep 1.
10
Enhancement of the fluorescence of the blue fluorescent proteins by high pressure or low temperature.通过高压或低温增强蓝色荧光蛋白的荧光。
J Phys Chem B. 2005 Jul 7;109(26):12976-81. doi: 10.1021/jp0448595.

引用本文的文献

1
Photoinduced chromophore dissociation resulting in aggregation-induced red fluorescence.光致发色团解离导致聚集诱导红色荧光。
Commun Biol. 2025 Sep 2;8(1):1331. doi: 10.1038/s42003-025-08779-1.
2
Immobilization and enhancement of a heterodimeric fluorescence biosensor in fibrous protein biomaterials.异二聚体荧光生物传感器在纤维蛋白生物材料中的固定化与增强
Protein Sci. 2025 May;34(5):e70119. doi: 10.1002/pro.70119.
3
Pressure and temperature dependence of fluorescence anisotropy of green fluorescent protein.绿色荧光蛋白荧光各向异性的压力和温度依赖性

本文引用的文献

1
The Role of the Tight-Turn, Broken Hydrogen Bonding, Glu222 and Arg96 in the Post-translational Green Fluorescent Protein Chromophore Formation.紧密转角、氢键断裂、Glu222和Arg96在翻译后绿色荧光蛋白发色团形成中的作用
Chem Phys. 2008 Jun 2;348(1-3):152-160. doi: 10.1016/j.chemphys.2008.02.055.
2
Light-dependent regulation of structural flexibility in a photochromic fluorescent protein.光致变色荧光蛋白中结构灵活性的光依赖性调控
Proc Natl Acad Sci U S A. 2008 Jul 8;105(27):9227-32. doi: 10.1073/pnas.0709599105. Epub 2008 Jun 23.
3
Syntheses of highly fluorescent GFP-chromophore analogues.
RSC Adv. 2022 Mar 21;12(14):8647-8655. doi: 10.1039/d1ra08977c. eCollection 2022 Mar 15.
4
Generation of bright monomeric red fluorescent proteins computational design of enhanced chromophore packing.明亮单体红色荧光蛋白的产生:增强发色团堆积的计算设计
Chem Sci. 2022 Jan 11;13(5):1408-1418. doi: 10.1039/d1sc05088e. eCollection 2022 Feb 2.
5
Fluorescent Orthopalladated Complexes of 4-Aryliden-5(4)-oxazolones from the Kaede Protein: Synthesis and Characterization.来自 Kaede 蛋白的 4-芳基亚甲基-5(4)-噁唑酮的荧光正膦配合物:合成与表征。
Molecules. 2021 Feb 25;26(5):1238. doi: 10.3390/molecules26051238.
6
Fluorescent Protein Variants Generated by Reassembly between Skeleton and Chromophore.通过骨架与发色团之间的重新组装产生的荧光蛋白变体。
ACS Omega. 2021 Jan 19;6(4):2925-2933. doi: 10.1021/acsomega.0c05299. eCollection 2021 Feb 2.
7
Structure-guided evolution of Green2 toward photostability and quantum yield enhancement by F145Y substitution.通过F145Y取代实现Green2向光稳定性和量子产率增强的结构导向进化。
Protein Sci. 2020 Sep;29(9):1964-1974. doi: 10.1002/pro.3917.
8
Mispacking and the Fitness Landscape of the Green Fluorescent Protein Chromophore Milieu.绿色荧光蛋白发色团环境的错误组装与适应性景观
Biochemistry. 2017 Feb 7;56(5):736-747. doi: 10.1021/acs.biochem.6b00800. Epub 2017 Jan 24.
9
Beta-barrel scaffold of fluorescent proteins: folding, stability and role in chromophore formation.荧光蛋白的β桶状支架:折叠、稳定性及其在生色团形成中的作用。
Int Rev Cell Mol Biol. 2013;302:221-78. doi: 10.1016/B978-0-12-407699-0.00004-2.
10
Computer modeling of the structure and spectra of fluorescent proteins.荧光蛋白结构与光谱的计算机建模。
Acta Naturae. 2009 Jul;1(2):33-43.
高荧光绿色荧光蛋白发色团类似物的合成。
J Am Chem Soc. 2008 Mar 26;130(12):4089-96. doi: 10.1021/ja710388h. Epub 2008 Mar 6.
4
Meta and para effects in the ultrafast excited-state dynamics of the green fluorescent protein chromophores.绿色荧光蛋白发色团超快激发态动力学中的间位和对位效应。
J Phys Chem B. 2008 Mar 6;112(9):2700-11. doi: 10.1021/jp077707t. Epub 2008 Feb 13.
5
Dynamic Stokes shift in green fluorescent protein variants.绿色荧光蛋白变体中的动态斯托克斯位移。
Proc Natl Acad Sci U S A. 2007 Dec 18;104(51):20189-94. doi: 10.1073/pnas.0706185104. Epub 2007 Dec 11.
6
Advances in fluorescent protein technology.荧光蛋白技术的进展。
J Cell Sci. 2007 Dec 15;120(Pt 24):4247-60. doi: 10.1242/jcs.005801.
7
Structural rearrangements near the chromophore influence the maturation speed and brightness of DsRed variants.生色团附近的结构重排会影响DsRed变体的成熟速度和亮度。
Protein Eng Des Sel. 2007 Nov;20(11):525-34. doi: 10.1093/protein/gzm046. Epub 2007 Oct 25.
8
Structural basis for reversible photoswitching in Dronpa.绿色荧光蛋白Dronpa中可逆光开关的结构基础。
Proc Natl Acad Sci U S A. 2007 Aug 7;104(32):13005-9. doi: 10.1073/pnas.0700629104. Epub 2007 Jul 23.
9
Ultrafast excited-state dynamics of the photoswitchable protein Dronpa.光开关蛋白Dronpa的超快激发态动力学
J Am Chem Soc. 2007 Apr 25;129(16):4870-1. doi: 10.1021/ja069365v. Epub 2007 Mar 27.
10
Chromogenic cross-link formation in green fluorescent protein.绿色荧光蛋白中的显色交联形成
Acc Chem Res. 2007 Feb;40(2):120-7. doi: 10.1021/ar040086r.