• 文献检索
  • 文档翻译
  • 深度研究
  • 学术资讯
  • Suppr Zotero 插件Zotero 插件
  • 邀请有礼
  • 套餐&价格
  • 历史记录
应用&插件
Suppr Zotero 插件Zotero 插件浏览器插件Mac 客户端Windows 客户端微信小程序
定价
高级版会员购买积分包购买API积分包
服务
文献检索文档翻译深度研究API 文档MCP 服务
关于我们
关于 Suppr公司介绍联系我们用户协议隐私条款
关注我们

Suppr 超能文献

核心技术专利:CN118964589B侵权必究
粤ICP备2023148730 号-1Suppr @ 2026

文献检索

告别复杂PubMed语法,用中文像聊天一样搜索,搜遍4000万医学文献。AI智能推荐,让科研检索更轻松。

立即免费搜索

文件翻译

保留排版,准确专业,支持PDF/Word/PPT等文件格式,支持 12+语言互译。

免费翻译文档

深度研究

AI帮你快速写综述,25分钟生成高质量综述,智能提取关键信息,辅助科研写作。

立即免费体验

五氯苯酚4-单加氧酶的催化产物是四氯对苯二酚而非四氯苯醌。

The Catalytic Product of Pentachlorophenol 4-Monooxygenase is Tetra-chlorohydroquinone rather than Tetrachlorobenzoquinone.

作者信息

Su Yunyou, Chen Lifeng, Bandy Brian, Yang Jian

机构信息

College of Pharmacy and Nutrition, University of Saskatchewan, 110 Science Place, Saskatoon, Saskatchewan, Canada S7N 5C9, Canada.

出版信息

Open Microbiol J. 2008;2:100-6. doi: 10.2174/1874285800802010100. Epub 2008 Aug 12.

DOI:10.2174/1874285800802010100
PMID:19088919
原文链接:https://pmc.ncbi.nlm.nih.gov/articles/PMC2593034/
Abstract

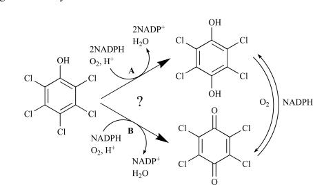
Pentachlorophenol 4-monooxygenase (PcpB) catalyzes the hydroxylation of pentachlorophenol in the pentachlorophenol biodegradation pathway in Sphingobium chlorophenolicum. Previous studies from two different research groups proposed oppositely that the catalytic product of PcpB was tetrachlorohydroquinone (TCHQ) and tetrachlorobenzoquinone (TCBQ). We re-examined the identity of the catalytic product of PcpB, because TCHQ and TCBQ are present in a redox-equilibrium in aqueous solutions and the chemical reagents NADPH, ethyl acetate and glutathione used for the product detection in the previous studies may shift the redox-equilibrium. In this study, we investigated the effects of NADPH, ethyl acetate and glutathione on the redox-equilibrium and product distribution. Under newly designed experimental conditions, we confirmed unambiguously that the catalytic product of PcpB is TCHQ instead of TCBQ. We also propose that TCBQ may be produced non-specifically by peroxidases within the bacterial cells and that TCBQ reductase (PcpD) might act as a self-protective rather than a PCP-degradation enzyme.

摘要

五氯苯酚4-单加氧酶(PcpB)在嗜氯鞘氨醇菌的五氯苯酚生物降解途径中催化五氯苯酚的羟基化反应。来自两个不同研究小组的先前研究提出了相反的观点,即PcpB的催化产物是四氯对苯二酚(TCHQ)和四氯苯醌(TCBQ)。我们重新研究了PcpB催化产物的身份,因为TCHQ和TCBQ在水溶液中处于氧化还原平衡状态,并且先前研究中用于产物检测的化学试剂烟酰胺腺嘌呤二核苷酸磷酸(NADPH)、乙酸乙酯和谷胱甘肽可能会改变这种氧化还原平衡。在本研究中,我们研究了NADPH、乙酸乙酯和谷胱甘肽对氧化还原平衡和产物分布的影响。在新设计的实验条件下,我们明确证实PcpB的催化产物是TCHQ而不是TCBQ。我们还提出,TCBQ可能是由细菌细胞内的过氧化物酶非特异性产生的,并且TCBQ还原酶(PcpD)可能起到自我保护作用,而不是一种五氯苯酚降解酶。

https://cdn.ncbi.nlm.nih.gov/pmc/blobs/a529/2593034/9fe8c067e5ca/TOMICROJ-2-100_F7.jpg
https://cdn.ncbi.nlm.nih.gov/pmc/blobs/a529/2593034/2b2b25db715f/TOMICROJ-2-100_F1.jpg
https://cdn.ncbi.nlm.nih.gov/pmc/blobs/a529/2593034/9028946b47fc/TOMICROJ-2-100_F2.jpg
https://cdn.ncbi.nlm.nih.gov/pmc/blobs/a529/2593034/6d9131b8f782/TOMICROJ-2-100_F3.jpg
https://cdn.ncbi.nlm.nih.gov/pmc/blobs/a529/2593034/73dd591002a2/TOMICROJ-2-100_F5.jpg
https://cdn.ncbi.nlm.nih.gov/pmc/blobs/a529/2593034/0bff46e8ac91/TOMICROJ-2-100_F6.jpg
https://cdn.ncbi.nlm.nih.gov/pmc/blobs/a529/2593034/9fe8c067e5ca/TOMICROJ-2-100_F7.jpg
https://cdn.ncbi.nlm.nih.gov/pmc/blobs/a529/2593034/2b2b25db715f/TOMICROJ-2-100_F1.jpg
https://cdn.ncbi.nlm.nih.gov/pmc/blobs/a529/2593034/9028946b47fc/TOMICROJ-2-100_F2.jpg
https://cdn.ncbi.nlm.nih.gov/pmc/blobs/a529/2593034/6d9131b8f782/TOMICROJ-2-100_F3.jpg
https://cdn.ncbi.nlm.nih.gov/pmc/blobs/a529/2593034/73dd591002a2/TOMICROJ-2-100_F5.jpg
https://cdn.ncbi.nlm.nih.gov/pmc/blobs/a529/2593034/0bff46e8ac91/TOMICROJ-2-100_F6.jpg
https://cdn.ncbi.nlm.nih.gov/pmc/blobs/a529/2593034/9fe8c067e5ca/TOMICROJ-2-100_F7.jpg

相似文献

1
The Catalytic Product of Pentachlorophenol 4-Monooxygenase is Tetra-chlorohydroquinone rather than Tetrachlorobenzoquinone.五氯苯酚4-单加氧酶的催化产物是四氯对苯二酚而非四氯苯醌。
Open Microbiol J. 2008;2:100-6. doi: 10.2174/1874285800802010100. Epub 2008 Aug 12.
2
A previously unrecognized step in pentachlorophenol degradation in Sphingobium chlorophenolicum is catalyzed by tetrachlorobenzoquinone reductase (PcpD).在氯酚红球菌中,五氯苯酚降解过程中一个先前未被识别的步骤由四氯苯醌还原酶(PcpD)催化。
J Bacteriol. 2003 Jan;185(1):302-10. doi: 10.1128/JB.185.1.302-310.2003.
3
Sequestration of a highly reactive intermediate in an evolving pathway for degradation of pentachlorophenol.在降解五氯酚的演变途径中,高活性中间产物的隔离。
Proc Natl Acad Sci U S A. 2013 Jun 11;110(24):E2182-90. doi: 10.1073/pnas.1214052110. Epub 2013 May 15.
4
Biochemical characterization of the tetrachlorobenzoquinone reductase involved in the biodegradation of pentachlorophenol.参与五氯苯酚生物降解的四氯苯醌还原酶的生化特性
Int J Mol Sci. 2008 Mar;9(3):198-212. doi: 10.3390/ijms9030198. Epub 2008 Feb 27.
5
Pentachlorophenol hydroxylase, a poorly functioning enzyme required for degradation of pentachlorophenol by Sphingobium chlorophenolicum.五氯酚羟化酶,是降解五氯酚所必需的一种功能不完善的酶,由变色杆菌属(Sphingobium chlorophenolicum)产生。
Biochemistry. 2012 May 8;51(18):3848-60. doi: 10.1021/bi300261p. Epub 2012 Apr 27.
6
A radical intermediate in the conversion of pentachlorophenol to tetrachlorohydroquinone by Sphingobium chlorophenolicum.在五氯苯酚被鞘氨醇单胞菌转化为四氯氢醌的过程中的一个自由基中间体。
Biochemistry. 2014 Oct 21;53(41):6539-49. doi: 10.1021/bi5010427. Epub 2014 Oct 6.
7
The recent evolution of pentachlorophenol (PCP)-4-monooxygenase (PcpB) and associated pathways for bacterial degradation of PCP.五氯苯酚(PCP)-4-单加氧酶(PcpB)的最新进化情况以及细菌降解PCP的相关途径。
Biodegradation. 2007 Oct;18(5):525-39. doi: 10.1007/s10532-006-9090-6. Epub 2006 Nov 23.
8
Evaluation of N-acetyl-cysteine against tetrachlorobenzoquinone-induced genotoxicity and oxidative stress in HepG2 cells.评价 N-乙酰半胱氨酸对四氯苯醌诱导的 HepG2 细胞遗传毒性和氧化应激的作用。
Food Chem Toxicol. 2014 Feb;64:291-7. doi: 10.1016/j.fct.2013.11.036. Epub 2013 Dec 2.
9
Tetrachlorobenzoquinone exhibits neurotoxicity by inducing inflammatory responses through ROS-mediated IKK/IκB/NF-κB signaling.四氯苯醌通过活性氧介导的IKK/IκB/NF-κB信号通路诱导炎症反应,从而表现出神经毒性。
Environ Toxicol Pharmacol. 2016 Jan;41:241-50. doi: 10.1016/j.etap.2015.12.012. Epub 2015 Dec 21.
10
Organization and regulation of pentachlorophenol-degrading genes in Sphingobium chlorophenolicum ATCC 39723.嗜氯鞘氨醇菌ATCC 39723中五氯苯酚降解基因的组织与调控
J Bacteriol. 2002 Sep;184(17):4672-80. doi: 10.1128/JB.184.17.4672-4680.2002.

引用本文的文献

1
Whole-genome sequencing, genome mining, metabolic reconstruction and evolution of pentachlorophenol and other xenobiotic degradation pathways in Bacillus tropicus strain AOA-CPS1.热带芽胞杆菌 AOA-CPS1 中五氯酚和其他异生物质降解途径的全基因组测序、基因组挖掘、代谢重建和进化。
Funct Integr Genomics. 2021 Mar;21(2):171-193. doi: 10.1007/s10142-021-00768-x. Epub 2021 Feb 6.
2
Pentachlorophenol hydroxylase, a poorly functioning enzyme required for degradation of pentachlorophenol by Sphingobium chlorophenolicum.五氯酚羟化酶,是降解五氯酚所必需的一种功能不完善的酶,由变色杆菌属(Sphingobium chlorophenolicum)产生。
Biochemistry. 2012 May 8;51(18):3848-60. doi: 10.1021/bi300261p. Epub 2012 Apr 27.
3

本文引用的文献

1
Biochemical characterization of the tetrachlorobenzoquinone reductase involved in the biodegradation of pentachlorophenol.参与五氯苯酚生物降解的四氯苯醌还原酶的生化特性
Int J Mol Sci. 2008 Mar;9(3):198-212. doi: 10.3390/ijms9030198. Epub 2008 Feb 27.
2
Crystal structures of two aromatic hydroxylases involved in the early tailoring steps of angucycline biosynthesis.参与安古环素生物合成早期修饰步骤的两种芳香族羟化酶的晶体结构。
J Mol Biol. 2007 Sep 21;372(3):633-48. doi: 10.1016/j.jmb.2007.06.087. Epub 2007 Jul 10.
3
Nucleobase-dependent reactivity of a quinone metabolite of pentachlorophenol.
Sphingobium chlorophenolicum dichlorohydroquinone dioxygenase (PcpA) is alkaline resistant and thermally stable.
地杆菌属邻氯对苯二酚双加氧酶(PcpA)具有耐碱性和热稳定性。
Int J Biol Sci. 2011;7(8):1171-9. doi: 10.7150/ijbs.7.1171. Epub 2011 Oct 25.
4
Cloning, overexpression, purification, and characterization of the maleylacetate reductase from Sphingobium chlorophenolicum strain ATCC 53874.嗜氯酚鞘氨醇单胞菌菌株ATCC 53874中马来酰乙酸还原酶的克隆、过表达、纯化及特性分析
Curr Microbiol. 2009 Jun;58(6):599-603. doi: 10.1007/s00284-009-9377-z. Epub 2009 Feb 26.
五氯苯酚醌代谢物的核碱基依赖性反应活性
Chem Res Toxicol. 2007 Jun;20(6):913-9. doi: 10.1021/tx600359d. Epub 2007 May 12.
4
A mechanistic investigation of the thiol-disulfide exchange step in the reductive dehalogenation catalyzed by tetrachlorohydroquinone dehalogenase.对四氯对苯二酚脱卤酶催化的还原脱卤反应中硫醇-二硫键交换步骤的机理研究。
Biochemistry. 2005 Aug 2;44(30):10360-8. doi: 10.1021/bi050666b.
5
Identification, characterization, and site-directed mutagenesis of recombinant pentachlorophenol 4-monooxygenase.重组五氯苯酚4-单加氧酶的鉴定、特性分析及定点诱变
Biochim Biophys Acta. 2004 Aug 2;1700(2):151-9. doi: 10.1016/j.bbapap.2004.04.008.
6
A previously unrecognized step in pentachlorophenol degradation in Sphingobium chlorophenolicum is catalyzed by tetrachlorobenzoquinone reductase (PcpD).在氯酚红球菌中,五氯苯酚降解过程中一个先前未被识别的步骤由四氯苯醌还原酶(PcpD)催化。
J Bacteriol. 2003 Jan;185(1):302-10. doi: 10.1128/JB.185.1.302-310.2003.
7
Organization and regulation of pentachlorophenol-degrading genes in Sphingobium chlorophenolicum ATCC 39723.嗜氯鞘氨醇菌ATCC 39723中五氯苯酚降解基因的组织与调控
J Bacteriol. 2002 Sep;184(17):4672-80. doi: 10.1128/JB.184.17.4672-4680.2002.
8
Characterization of the initial steps in the reductive dehalogenation catalyzed by tetrachlorohydroquinone dehalogenase.四氯对苯二酚脱卤酶催化的还原性脱卤反应初始步骤的表征
Biochemistry. 2002 Jan 29;41(4):1315-22. doi: 10.1021/bi0117504.
9
The reaction catalyzed by tetrachlorohydroquinone dehalogenase does not involve nucleophilic aromatic substitution.由四氯对苯二酚脱卤酶催化的反应不涉及亲核芳香取代。
Biochemistry. 2002 Jan 29;41(4):1308-14. doi: 10.1021/bi0117495.
10
Comparative protein structure modeling of genes and genomes.基因与基因组的比较蛋白质结构建模
Annu Rev Biophys Biomol Struct. 2000;29:291-325. doi: 10.1146/annurev.biophys.29.1.291.