Suppr超能文献

人参皂苷促进的树突状细胞驱动强烈的Th1极化。

Dendritic Cells Promoted by Ginseng Saponins Drive a Potent Th1 Polarization.

作者信息

Takei Masao, Tachikawa Eiichi, Umeyama Akemi

机构信息

Division of Cellular Allergology, Research Center Borstel, Parkallee 22, D-23845, Germany.

出版信息

Biomark Insights. 2008 Apr 18;3:269-286. doi: 10.4137/bmi.s585.

Abstract

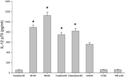
Dendritic cells (DC) play a pivotal role in the initiation of T-cell-mediated immune responses, making them an attractive cellular adjuvant for use in cancer vaccines. The interaction of T cells with DC is crucial for directing T cell differentiation towards the Th1, Th2 or Th17 type, and several factors determining the direction of the T cell polarization. IL-12 plays a central role in the immune system, not only by augmenting the cytotoxic activity of T cells and NK cells and regulating IFN-gamma production, but also by the capacity of IL-12 to promote the development of Th1 cells. Therefore, it is important to identify factors that might affect the differentiation, maturation and function of DC. Ginseng is a medicinal herb widely used in Asian countries, and many of its pharmacological actions are attributed to the ginsenosides. Moreover, T-cadinol and calamenene are sesquterpenes isolated from the heartwood of Cryptomeria japonica being pharmacologically active substances. We investigated whether M1 and M4, end products of steroidal ginseng saponins metabolized in digestive tracts, as well as T-cadinol and calamenene can drive DC maturation from human monocytes in vitro. Human monocytes were cultured with GM-CSF and IL-4 for 6 days under standard conditions, followed by another 2 days in the presence of M1, M4, T-cadinol or calamenene. The expression levels of CD1a, CD80, CD83, CD86 and HLA-DR on M1-primed DC, M4-primed DC, T-cadinol-primed DC and calamenene-primed DC were enhanced with a concomitant decrease in endocytic activity. M1-primed DC, M4-primed DC, T-cadinol-primed DC or calamenene-primed DC enhanced the T cell stimulatory capacity in an allo MLR (allogeneic mixed lymphocyte reaction). Naïve T cells co-cultured with allogeneic M1-primed DC, M4-primed DC, T-cadinol-primed DC or calamenene-primed DC turned into typical Th1 cells, which produced large quantities of IFN-gamma and released small amounts of IL-4 depending on IL-12 secretion. In the CTL assay (cytotoxic T-lymphocyte assay), the production of IFN-gamma and (51)Cr release on M4-primed DC was more augmented than of immature DC or TNF-alpha-primed DC. These results suggest that M1, M4, T-cadinol and calamenene appear to be a good factor to induce DC maturation, or even better in some respect, for the use in clinical DC therapy to induce strong Th1 type immune responses.

摘要

树突状细胞(DC)在T细胞介导的免疫反应启动过程中发挥着关键作用,使其成为癌症疫苗中极具吸引力的细胞佐剂。T细胞与DC的相互作用对于引导T细胞向Th1、Th2或Th17型分化至关重要,并且有几个因素决定了T细胞极化的方向。白细胞介素-12(IL-12)在免疫系统中起着核心作用,不仅通过增强T细胞和自然杀伤细胞(NK细胞)的细胞毒性活性以及调节干扰素-γ(IFN-γ)的产生,还通过IL-12促进Th1细胞发育的能力。因此,识别可能影响DC分化、成熟和功能的因素很重要。人参是一种在亚洲国家广泛使用的草药,其许多药理作用归因于人参皂苷。此外,T-杜松醇和卡拉烯是从日本柳杉心材中分离出的倍半萜烯,属于药理活性物质。我们研究了甾体人参皂苷在消化道中代谢的终产物M1和M4,以及T-杜松醇和卡拉烯是否能在体外驱动人单核细胞来源的DC成熟。在标准条件下,将人单核细胞与粒细胞-巨噬细胞集落刺激因子(GM-CSF)和白细胞介素-4(IL-4)培养6天,然后在M1、M4、T-杜松醇或卡拉烯存在的情况下再培养2天。M1启动的DC、M4启动的DC、T-杜松醇启动的DC和卡拉烯启动的DC上CD1a、CD80、CD83、CD86和人类白细胞抗原-DR(HLA-DR)的表达水平增强,同时内吞活性降低。M1启动的DC、M4启动的DC、T-杜松醇启动的DC或卡拉烯启动的DC在同种异体混合淋巴细胞反应(allo MLR)中增强了T细胞刺激能力。与同种异体M1启动的DC、M4启动的DC、T-杜松醇启动的DC或卡拉烯启动的DC共培养的初始T细胞转变为典型的Th1细胞,这些细胞根据IL-12的分泌产生大量IFN-γ并释放少量IL-4。在细胞毒性T淋巴细胞试验(CTL试验)中,M4启动的DC上IFN-γ的产生和(51)铬释放比未成熟DC或肿瘤坏死因子-α(TNF-α)启动的DC增强得更多。这些结果表明,M1、M4、T-杜松醇和卡拉烯似乎是诱导DC成熟的良好因素,在某些方面甚至更好,可用于临床DC治疗以诱导强烈的Th1型免疫反应。

https://cdn.ncbi.nlm.nih.gov/pmc/blobs/8ce3/2688358/5abc17d0a1bd/BMI-03-269-g001.jpg

相似文献

1
Dendritic Cells Promoted by Ginseng Saponins Drive a Potent Th1 Polarization.
Biomark Insights. 2008 Apr 18;3:269-286. doi: 10.4137/bmi.s585.
2
T-cadinol and calamenene induce dendritic cells from human monocytes and drive Th1 polarization.
Eur J Pharmacol. 2006 May 10;537(1-3):190-9. doi: 10.1016/j.ejphar.2006.02.047. Epub 2006 Mar 3.
6
A sea urchin lectin, SUL-1, from the Toxopneustid sea urchin induces DC maturation from human monocyte and drives Th1 polarization in vitro.
Toxicol Appl Pharmacol. 2006 May 15;213(1):27-36. doi: 10.1016/j.taap.2005.08.004. Epub 2005 Sep 28.
7
Cryptomerione induces Th1 cell polarization via influencing IL-10 production by cholera toxin-primed dendritic cells.
Eur J Pharmacol. 2010 Feb 25;628(1-3):233-9. doi: 10.1016/j.ejphar.2009.11.031. Epub 2009 Nov 24.
8
Polyacetylenediols regulate the function of human monocyte-derived dendritic cells.
Int Immunopharmacol. 2010 Aug;10(8):913-21. doi: 10.1016/j.intimp.2010.05.002. Epub 2010 May 20.
9
Diterpenes drive Th1 polarization depending on IL-12.
Int Immunopharmacol. 2008 Nov;8(11):1602-8. doi: 10.1016/j.intimp.2008.07.003. Epub 2008 Jul 30.
10
Diterpene, 16-phyllocladanol enhances Th1 polarization induced by LPS-primed DC, but not TNF-alpha-primed DC.
Biochem Biophys Res Commun. 2008 May 23;370(1):6-10. doi: 10.1016/j.bbrc.2008.02.157. Epub 2008 Mar 10.

引用本文的文献

1
Effects of Panax species and their bioactive components on allergic airway diseases.
J Ginseng Res. 2024 Jul;48(4):354-365. doi: 10.1016/j.jgr.2024.04.003. Epub 2024 Apr 21.
3
Harnessing the power of traditional Chinese medicine monomers and compound prescriptions to boost cancer immunotherapy.
Front Immunol. 2023 Nov 15;14:1277243. doi: 10.3389/fimmu.2023.1277243. eCollection 2023.
4
Application of immune checkpoint targets in the anti-tumor novel drugs and traditional Chinese medicine development.
Acta Pharm Sin B. 2021 Oct;11(10):2957-2972. doi: 10.1016/j.apsb.2021.03.004. Epub 2021 Mar 9.
5
Chemical Structures and Pharmacological Profiles of Ginseng Saponins.
Molecules. 2019 Jul 3;24(13):2443. doi: 10.3390/molecules24132443.
6
Enhanced Rg3 negatively regulates Th1 cell responses.
J Ginseng Res. 2019 Jan;43(1):49-57. doi: 10.1016/j.jgr.2017.08.003. Epub 2017 Aug 16.
7
Anticancer Activities of Protopanaxadiol- and Protopanaxatriol-Type Ginsenosides and Their Metabolites.
Evid Based Complement Alternat Med. 2016;2016:5738694. doi: 10.1155/2016/5738694. Epub 2016 Jun 30.
9
Immunomodulatory activity of red ginseng against influenza A virus infection.
Nutrients. 2014 Jan 27;6(2):517-29. doi: 10.3390/nu6020517.

本文引用的文献

3
A new abietane and two dimeric abietane diterpenes from the black heartwood of Cryptomeria japonica.
Chem Pharm Bull (Tokyo). 2004 Mar;52(3):354-8. doi: 10.1248/cpb.52.354.
4
Injection of immature dendritic cells into adjuvant-treated skin obviates the need for ex vivo maturation.
J Immunol. 2003 Dec 1;171(11):6275-82. doi: 10.4049/jimmunol.171.11.6275.
5
In vitro inhibition of adrenal catecholamine secretion by steroidal metabolites of ginseng saponins.
Biochem Pharmacol. 2003 Dec 1;66(11):2213-21. doi: 10.1016/j.bcp.2003.07.012.
8
Active immunization against cancer with dendritic cells: the near future.
Int J Cancer. 2001 Nov;94(4):459-73. doi: 10.1002/ijc.1503.
9
Regulation of T cell immunity by dendritic cells.
Cell. 2001 Aug 10;106(3):263-6. doi: 10.1016/s0092-8674(01)00455-x.
10
Dendritic cells: specialized and regulated antigen processing machines.
Cell. 2001 Aug 10;106(3):255-8. doi: 10.1016/s0092-8674(01)00449-4.

文献AI研究员

20分钟写一篇综述,助力文献阅读效率提升50倍。

立即体验

用中文搜PubMed

大模型驱动的PubMed中文搜索引擎

马上搜索

文档翻译

学术文献翻译模型,支持多种主流文档格式。

立即体验