Suppr超能文献

潜伏性结核分枝杆菌感染中,共感染丝虫会导致 toll 样受体表达和功能减弱,抗丝虫化疗后可恢复。

Attenuation of toll-like receptor expression and function in latent tuberculosis by coexistent filarial infection with restoration following antifilarial chemotherapy.

机构信息

National Institutes of Health-International Center for Excellence in Research, Chennai, India.

出版信息

PLoS Negl Trop Dis. 2009 Jul 28;3(7):e489. doi: 10.1371/journal.pntd.0000489.

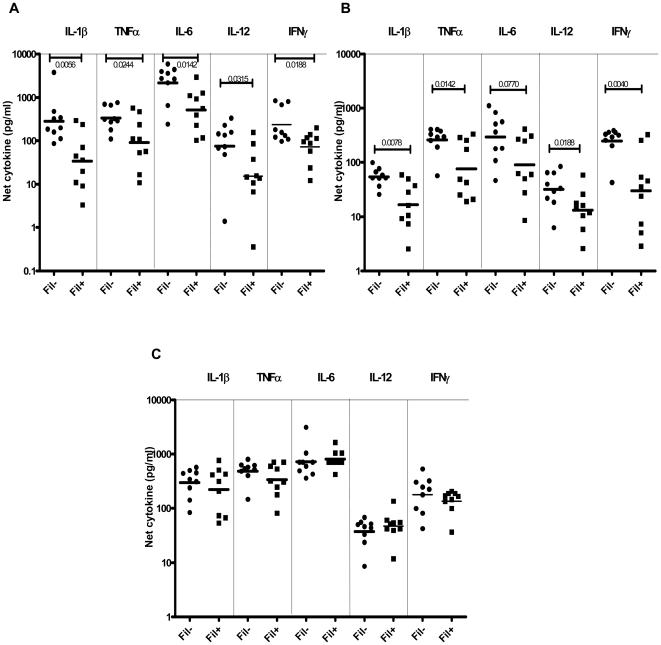
Abstract

Mycobacterium tuberculosis (Mtb) and filarial coinfection is highly prevalent, and the presence of filarial infections may regulate the Toll-like receptor (TLR)-dependent immune response needed to control Mtb infection. By analyzing the baseline and mycobacterial antigen-stimulated expression of TLR1, 2, 4, and 9 (in individuals with latent tuberculosis [TB] with or without filarial infection), we were able to demonstrate that filarial infection, coincident with Mtb, significantly diminishes both baseline and Mtb antigen-specific TLR2 and TLR9 expression. In addition, pro-inflammatory cytokine responses to TLR2 and 9 ligands are significantly diminished in filaria/TB-coinfected individuals. Definitive treatment of lymphatic filariasis significantly restores the pro-inflammatory cytokine responses in individuals with latent TB. Coincident filarial infection exerted a profound inhibitory effect on protective mycobacteria-specific TLR-mediated immune responses in latent tuberculosis and suggests a novel mechanism by which concomitant filarial infections predispose to the development of active tuberculosis in humans.

摘要

结核分枝杆菌(Mtb)和丝虫的合并感染非常普遍,丝虫感染的存在可能调节控制 Mtb 感染所需的 Toll 样受体(TLR)依赖性免疫反应。通过分析潜伏性结核病(TB)患者(有或没有丝虫感染)的基线和分枝杆菌抗原刺激的 TLR1、2、4 和 9 的表达,我们能够证明丝虫感染与 Mtb 同时发生时,显著降低了 TLR2 和 TLR9 的基础表达和 Mtb 抗原特异性表达。此外,丝虫/TB 合并感染个体对 TLR2 和 9 配体的促炎细胞因子反应明显减弱。淋巴丝虫病的明确治疗显著恢复了潜伏性 TB 个体的促炎细胞因子反应。同时发生的丝虫感染对潜伏性结核病中保护性分枝杆菌特异性 TLR 介导的免疫反应产生了深远的抑制作用,提示了一种新的机制,即同时发生的丝虫感染使人类易发生活动性结核病。

https://cdn.ncbi.nlm.nih.gov/pmc/blobs/ed89/2710006/e758bb5fe8b4/pntd.0000489.g001.jpg

文献检索

告别复杂PubMed语法,用中文像聊天一样搜索,搜遍4000万医学文献。AI智能推荐,让科研检索更轻松。

立即免费搜索

文件翻译

保留排版,准确专业,支持PDF/Word/PPT等文件格式,支持 12+语言互译。

免费翻译文档

深度研究

AI帮你快速写综述,25分钟生成高质量综述,智能提取关键信息,辅助科研写作。

立即免费体验