Suppr超能文献

在P23H大鼠视网膜变性中发现视紫红质磷酸化和去磷酸化的调节异常。

Misregulation of rhodopsin phosphorylation and dephosphorylation found in P23H rat retinal degeneration.

作者信息

Saito Yoshiyuki, Ohguro Hiroshi, Ohguro Ikuyo, Sato Noriyuki, Ishikawa Futoshi, Yamazaki Hitoshi, Metoki Tomomi, Ito Tadashi, Nakazawa Mitsuru

机构信息

Department of Ophthalmology.

出版信息

Clin Ophthalmol. 2008 Dec;2(4):821-8. doi: 10.2147/opth.s4359.

Abstract

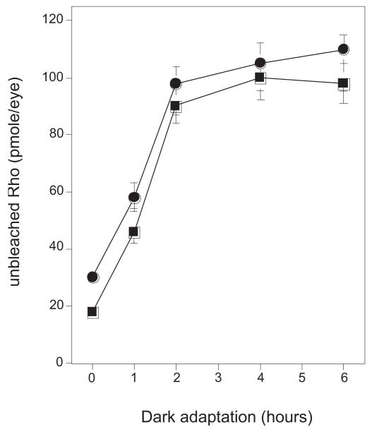
To examine rhodopsin (Rho) functions in P23H rat, kinetics of Rho regeneration and dephosphorylation were investigated by spectrophotometric analysis and immunofluorescence labeling method using specific antibodies toward phosphorylated 334Ser or 338Ser site. Rho dephosphorylation at both sites was extremely delayed in P23H retina as compared to normal ones. Kinetics of Rho regeneration was not altered between normal and P23H rats under dark adaptation. Next, to study the effects of several Ca(2+)channel blockers on this model, retinal function and morphology were evaluated. Among them, nilvadipine showed a significant protective effect against P23H retinal degeneration. Neurotrophic factor, fibroblast growth factor-2 and Arc, known to suppress the apoptosis in the central nervous system, were significantly upregulated upon administration of nilvadipine. The present study indicates that misregulation of Rho phosphorylation may be involved as an important step in retinal degeneration of P23H and administration of nilvadipine may be a potential therapeutic agent for the retinal degenerations.

摘要

为了研究视紫红质(Rho)在P23H大鼠中的功能,通过分光光度分析和免疫荧光标记法,使用针对磷酸化334Ser或338Ser位点的特异性抗体,研究了Rho再生和去磷酸化的动力学。与正常视网膜相比,P23H视网膜中这两个位点的Rho去磷酸化极其延迟。在暗适应条件下,正常大鼠和P23H大鼠之间Rho再生的动力学没有改变。接下来,为了研究几种钙通道阻滞剂对该模型的影响,评估了视网膜功能和形态。其中,尼伐地平对P23H视网膜变性具有显著的保护作用。已知可抑制中枢神经系统细胞凋亡的神经营养因子、成纤维细胞生长因子-2和Arc,在给予尼伐地平后显著上调。本研究表明,Rho磷酸化失调可能是P23H视网膜变性的一个重要步骤,给予尼伐地平可能是视网膜变性的一种潜在治疗药物。

https://cdn.ncbi.nlm.nih.gov/pmc/blobs/3393/2699806/a840d3bd8a76/co-2-821f1.jpg

文献AI研究员

20分钟写一篇综述,助力文献阅读效率提升50倍。

立即体验

用中文搜PubMed

大模型驱动的PubMed中文搜索引擎

马上搜索

文档翻译

学术文献翻译模型,支持多种主流文档格式。

立即体验