Suppr超能文献

物理羧甲基硬葡聚糖/钙离子水凝胶作为局部制剂中的改良药物递送系统。

Physical carboxymethylscleroglucan/calcium ion hydrogels as modified drug delivery systems in topical formulations.

作者信息

Corrente Federica, Matricardi Pietro, Paolicelli Patrizia, Tita Beatrice, Vitali Federica, Casadei Maria Antonietta

机构信息

Dipartimento di Chimica e Tecnologie del Farmaco, Sapienza Università di Roma, Piazzale Aldo Moro 5, 00185, Rome, Italy.

出版信息

Molecules. 2009 Jul 24;14(8):2684-98. doi: 10.3390/molecules14082684.

Abstract

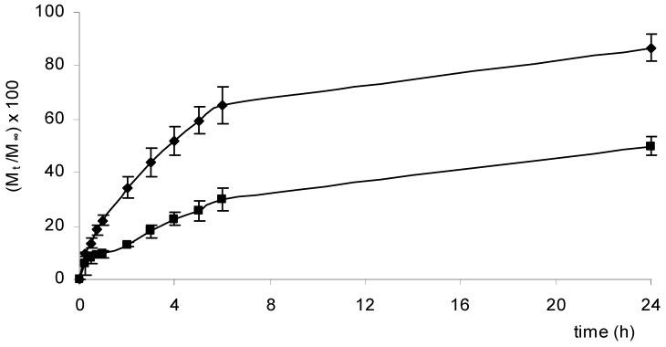
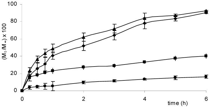
A carboxymethyl derivative of scleroglucan (Scl-CM) with a 65+/-5% carboxylic group degree of derivatization (DD) was recently synthesized and characterized. Aqueous solutions of the polymer underwent to a sharp transition toward a gel like behaviour in the presence of divalent ions such as Ca(+2). Physical hydrogels with different Scl-CM/Ca(+2) ratios were prepared and characterized for their rheological behaviour. Their potential as drug delivery systems was also evaluated. To this end three non steroidal anti-inflammatory drugs (NSAIDs) were loaded into the hydrogels obtained with 2% w/v solution of Scl-CM and 0.05 and 0.1 M CaCl(2). The release rate of the drugs was critically related to the salt concentration. By an appropriate combination of the hydrogels prepared using different amounts of salt, it was possible to obtain a system able to release diclofenac with zero-order kinetics. Primary skin irritation tests showed a good biocompatibility of the new polymer, as well as of its hydrogels. These results suggest a potential of the new hydrogels for the development of modified delivery systems in topical formulations.

摘要

最近合成并表征了一种硬葡聚糖的羧甲基衍生物(Scl-CM),其羧基衍生化度(DD)为65±5%。在二价离子如Ca(+2)存在下,该聚合物的水溶液会急剧转变为类似凝胶的行为。制备了具有不同Scl-CM/Ca(+2)比例的物理水凝胶,并对其流变行为进行了表征。还评估了它们作为药物递送系统的潜力。为此,将三种非甾体抗炎药(NSAIDs)负载到用2% w/v的Scl-CM溶液和0.05 M及0.1 M CaCl(2)制得的水凝胶中。药物的释放速率与盐浓度密切相关。通过适当组合使用不同量盐制备的水凝胶,可以得到一个能够以零级动力学释放双氯芬酸的系统。原发性皮肤刺激试验表明,这种新型聚合物及其水凝胶具有良好的生物相容性。这些结果表明,新型水凝胶在局部制剂中开发改良递送系统方面具有潜力。

https://cdn.ncbi.nlm.nih.gov/pmc/blobs/3c5c/6255100/ff4f06c22124/molecules-14-02684-g001.jpg

文献AI研究员

20分钟写一篇综述,助力文献阅读效率提升50倍。

立即体验

用中文搜PubMed

大模型驱动的PubMed中文搜索引擎

马上搜索

文档翻译

学术文献翻译模型,支持多种主流文档格式。

立即体验