• 文献检索
  • 文档翻译
  • 深度研究
  • 学术资讯
  • Suppr Zotero 插件Zotero 插件
  • 邀请有礼
  • 套餐&价格
  • 历史记录
应用&插件
Suppr Zotero 插件Zotero 插件浏览器插件Mac 客户端Windows 客户端微信小程序
定价
高级版会员购买积分包购买API积分包
服务
文献检索文档翻译深度研究API 文档MCP 服务
关于我们
关于 Suppr公司介绍联系我们用户协议隐私条款
关注我们

Suppr 超能文献

核心技术专利:CN118964589B侵权必究
粤ICP备2023148730 号-1Suppr @ 2026

文献检索

告别复杂PubMed语法,用中文像聊天一样搜索,搜遍4000万医学文献。AI智能推荐,让科研检索更轻松。

立即免费搜索

文件翻译

保留排版,准确专业,支持PDF/Word/PPT等文件格式,支持 12+语言互译。

免费翻译文档

深度研究

AI帮你快速写综述,25分钟生成高质量综述,智能提取关键信息,辅助科研写作。

立即免费体验

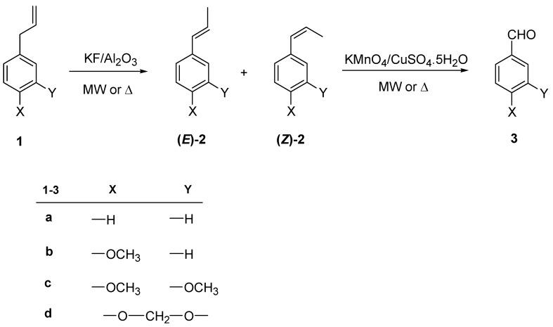
通过烯烃异构化以及随后高锰酸钾促进的氧化烯烃基团裂解,将香精油烯丙基苯快速绿色地微波辅助转化为相应的醛。

Fast and green microwave-assisted conversion of essential oil allylbenzenes into the corresponding aldehydes via alkene isomerization and subsequent potassium permanganate promoted oxidative alkene group cleavage.

作者信息

Luu Thi X Thi, Lam Trinh To, Le Thach Ngoc, Duus Fritz

机构信息

Department of Science, Systems, and Models, Roskilde University, DK-4000, Roskilde, Denmark.

出版信息

Molecules. 2009 Sep 3;14(9):3411-24. doi: 10.3390/molecules14093411.

DOI:10.3390/molecules14093411
PMID:19783934
原文链接:https://pmc.ncbi.nlm.nih.gov/articles/PMC6255098/
Abstract

Essential oil allylbenzenes from have been converted quickly and efficiently into the corresponding benzaldehydes in good yields by a two-step "green" reaction pathway based on a solventless alkene group isomerization by KF/Al(2)O(3) to form the corresponding 1-arylpropene and a subsequent solventless oxidation of the latter to the corresponding benzaldehyde by KMnO(4)/CuSO(4).5H(2)O. The assistance by microwave irradiation results in very short reaction times (<15 minutes). The green conversion of eugenol (4-allyl-2-methoxyphenol) into vanillin (4-hydroxy-3-methoxybenzaldehyde) has been carried out in a similar way, requiring however two additional microwave-assisted synthetic steps for acetylation of the hydroxy group prior to the oxidation reaction, and for the final deacetylation of vanillin acetate (4-acetoxy-3-methoxybenzaldehyde) by KF/Al(2)O(3) under solvent-free conditions, respectively.

摘要

通过基于KF/Al₂O₃的无溶剂烯烃基团异构化形成相应的1-芳基丙烯,以及随后通过KMnO₄/CuSO₄·5H₂O将后者无溶剂氧化为相应苯甲醛的两步“绿色”反应途径,来自[具体来源未提及]的香精油烯丙基苯已快速有效地转化为相应的苯甲醛,产率良好。微波辐射的辅助使得反应时间非常短(<15分钟)。丁香酚(4-烯丙基-2-甲氧基苯酚)向香草醛(4-羟基-3-甲氧基苯甲醛)的绿色转化也以类似方式进行,不过在氧化反应之前需要另外两个微波辅助的合成步骤,分别用于羟基的乙酰化,以及在无溶剂条件下通过KF/Al₂O₃对乙酸香草醛(4-乙酰氧基-3-甲氧基苯甲醛)进行最终的脱乙酰化。

https://cdn.ncbi.nlm.nih.gov/pmc/blobs/63ac/6255098/9c079bf76d9c/molecules-14-03411-g002.jpg
https://cdn.ncbi.nlm.nih.gov/pmc/blobs/63ac/6255098/e23ff39a8230/molecules-14-03411-g003.jpg
https://cdn.ncbi.nlm.nih.gov/pmc/blobs/63ac/6255098/d38ed28b8048/molecules-14-03411-g004.jpg
https://cdn.ncbi.nlm.nih.gov/pmc/blobs/63ac/6255098/12883fa88fca/molecules-14-03411-g001.jpg
https://cdn.ncbi.nlm.nih.gov/pmc/blobs/63ac/6255098/9c079bf76d9c/molecules-14-03411-g002.jpg
https://cdn.ncbi.nlm.nih.gov/pmc/blobs/63ac/6255098/e23ff39a8230/molecules-14-03411-g003.jpg
https://cdn.ncbi.nlm.nih.gov/pmc/blobs/63ac/6255098/d38ed28b8048/molecules-14-03411-g004.jpg
https://cdn.ncbi.nlm.nih.gov/pmc/blobs/63ac/6255098/12883fa88fca/molecules-14-03411-g001.jpg
https://cdn.ncbi.nlm.nih.gov/pmc/blobs/63ac/6255098/9c079bf76d9c/molecules-14-03411-g002.jpg

相似文献

1
Fast and green microwave-assisted conversion of essential oil allylbenzenes into the corresponding aldehydes via alkene isomerization and subsequent potassium permanganate promoted oxidative alkene group cleavage.通过烯烃异构化以及随后高锰酸钾促进的氧化烯烃基团裂解,将香精油烯丙基苯快速绿色地微波辅助转化为相应的醛。
Molecules. 2009 Sep 3;14(9):3411-24. doi: 10.3390/molecules14093411.
2
Continuous-Flow Synthesis of Supported Magnetic Iron Oxide Nanoparticles for Efficient Isoeugenol Conversion into Vanillin.连续流合成负载型磁性氧化铁纳米粒子用于高效异丁香酚转化为香草醛。
ChemSusChem. 2018 Jan 23;11(2):389-396. doi: 10.1002/cssc.201701884. Epub 2017 Dec 28.
3
Portable microwave assisted extraction: An original concept for green analytical chemistry.便携式微波辅助萃取:绿色分析化学的新概念。
J Chromatogr A. 2013 Nov 8;1315:200-3. doi: 10.1016/j.chroma.2013.09.053. Epub 2013 Sep 19.
4
Solvent-free microwave extraction of essential oil from aromatic herbs: from laboratory to pilot and industrial scale.无溶剂微波萃取芳香草本植物精油:从实验室到中试和工业化规模。
Food Chem. 2014 May 1;150:193-8. doi: 10.1016/j.foodchem.2013.10.139. Epub 2013 Nov 5.
5
Solvent free, microwave assisted conversion of aldehydes into nitriles and oximes in the presence of NH2OH x HCl and TiO2.无溶剂、微波辅助条件下,在 NH2OH·HCl 和 TiO2 的存在下,将醛转化为腈和肟。
Molecules. 2009 Dec 29;15(1):94-9. doi: 10.3390/molecules15010094.
6
"In situ" extraction of essential oils by use of Dean-Stark glassware and a Vigreux column inside a microwave oven: a procedure for teaching green analytical chemistry.在微波炉内使用Dean-Stark 玻璃仪器和维格罗柱进行“原位”提取精油:一种教授绿色分析化学的方法。
Anal Bioanal Chem. 2012 Aug;404(3):679-82. doi: 10.1007/s00216-012-5983-x. Epub 2012 Apr 19.
7
Montmorillonite clay-promoted, solvent-free cross-aldol condensations under focused microwave irradiation.蒙脱土促进的、无溶剂的聚焦微波辐射下的交叉羟醛缩合反应。
Molecules. 2014 Jun 4;19(6):7317-26. doi: 10.3390/molecules19067317.
8
Facile Pd(II)- and Ni(II)-catalyzed isomerization of terminal alkenes into 2-alkenes.钯(II)和镍(II)催化的末端烯烃向2-烯烃的简便异构化反应。
J Org Chem. 2009 Jun 19;74(12):4565-72. doi: 10.1021/jo900180p.
9
Aqueous Barbier allylation of aldehydes mediated by tin.锡介导的醛的水相巴比耶烯丙基化反应
Molecules. 2007 Aug 29;12(9):2089-105. doi: 10.3390/12092089.
10
[Check valve and non-oxygen microwave assisted extraction of Chinese herbs: study of a novel technique for extraction of essential oils].[止回阀与非氧微波辅助中药提取:一种新型精油提取技术的研究]
Zhongguo Zhong Yao Za Zhi. 2011 Sep;36(17):2329-33.

引用本文的文献

1
Chemo-enzymatic synthesis and biological activity evaluation of propenylbenzene derivatives.丙烯基苯衍生物的化学酶法合成及生物活性评价
Front Microbiol. 2023 Jun 26;14:1223123. doi: 10.3389/fmicb.2023.1223123. eCollection 2023.
2
Natural-Product-Inspired Microwave-Assisted Synthesis of Novel Spirooxindoles as Antileishmanial Agents: Synthesis, Stereochemical Assignment, Bioevaluation, SAR, and Molecular Docking Studies.受天然产物启发的微波辅助新型螺环氧化吲哚类抗利什曼原虫剂的合成:合成、立体化学归属、生物评价、SAR 和分子对接研究。
Molecules. 2023 Jun 16;28(12):4817. doi: 10.3390/molecules28124817.
3
Cu-catalyzed cross-coupling reactions of vinyl epoxide with organoboron compounds: access to homoallylic alcohols.

本文引用的文献

1
THE CHARACTERIZATION OF COMPLEX PHENOLS BY NUCLEAR MAGNETIC RESONANCE SPECTRA.通过核磁共振光谱对复杂酚类进行表征
J Org Chem. 1965 Mar;30:902-6. doi: 10.1021/jo01014a059.
2
The carbon-13 nuclear magnetic resonance spectra of flavonoids and related compounds.黄酮类化合物及相关化合物的碳-13核磁共振谱
J Chem Soc Perkin 1. 1976(23):2475-83.
3
13C nuclear magnetic resonance spectroscopy of vanillin derivatives.香草醛衍生物的13C核磁共振光谱
铜催化的环氧乙烯与有机硼化合物的交叉偶联反应:合成高烯丙醇
RSC Adv. 2018 Dec 12;8(72):41561-41565. doi: 10.1039/c8ra09048c. eCollection 2018 Dec 7.
4
Efficient and Straightforward Syntheses of Two United States Pharmacopeia Sitagliptin Impurities: 3-Desamino-2,3-dehydrositagliptin and 3-Desamino-3,4-dehydrositagliptin.两种美国药典西他列汀杂质的高效简便合成:3-去氨基-2,3-脱水西他列汀和3-去氨基-3,4-脱水西他列汀。
ACS Omega. 2020 Mar 3;5(10):5356-5364. doi: 10.1021/acsomega.9b04393. eCollection 2020 Mar 17.
5
Mechanochemical synthesis of graphene oxide-supported transition metal catalysts for the oxidation of isoeugenol to vanillin.用于将异丁香酚氧化为香草醛的氧化石墨烯负载过渡金属催化剂的机械化学合成
Beilstein J Org Chem. 2017 Jul 21;13:1439-1445. doi: 10.3762/bjoc.13.141. eCollection 2017.
6
Chemo- and regioselective C(sp³)-H arylation of unactivated allylarenes by deprotonative cross-coupling.通过去质子交叉偶联实现未活化烯丙基芳烃的化学和区域选择性 C(sp³)-H 芳基化。
Angew Chem Int Ed Engl. 2014 Apr 1;53(14):3693-7. doi: 10.1002/anie.201309084. Epub 2014 Feb 26.
J Chem Soc Perkin 1. 1977(5):492-4. doi: 10.1039/p19770000492.