Suppr超能文献

生命在恶劣环境下的极限:生物圈功能没有障碍?

Limits of life in hostile environments: no barriers to biosphere function?

机构信息

School of Biological Sciences, MBC, Queen's University Belfast, Belfast, BT9 7BL, UK.

出版信息

Environ Microbiol. 2009 Dec;11(12):3292-308. doi: 10.1111/j.1462-2920.2009.02079.x. Epub 2009 Oct 16.

Abstract

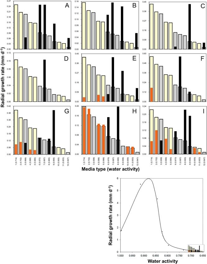
Environments that are hostile to life are characterized by reduced microbial activity which results in poor soil- and plant-health, low biomass and biodiversity, and feeble ecosystem development. Whereas the functional biosphere may primarily be constrained by water activity (a(w)) the mechanism(s) by which this occurs have not been fully elucidated. Remarkably we found that, for diverse species of xerophilic fungi at a(w) values of <or= 0.72, water activity per se did not limit cellular function. We provide evidence that chaotropic activity determined their biotic window, and obtained mycelial growth at water activities as low as 0.647 (below that recorded for any microbial species) by addition of compounds that reduced the net chaotropicity. Unexpectedly we found that some fungi grew optimally under chaotropic conditions, providing evidence for a previously uncharacterized class of extremophilic microbes. Further studies to elucidate the way in which solute activities interact to determine the limits of life may lead to enhanced biotechnological processes, and increased productivity of agricultural and natural ecosystems in arid and semiarid regions.

摘要

不利于生命存在的环境其微生物活性会降低,这会导致土壤和植物健康状况不佳、生物量和生物多样性低以及生态系统发育脆弱。虽然功能生物圈可能主要受到水活度(a(w))的限制,但这一现象发生的机制尚未完全阐明。值得注意的是,我们发现对于水活度<or=0.72 的各种嗜干性真菌来说,水活度本身并不会限制细胞功能。我们提供的证据表明,离液活性决定了它们的生物窗口,并通过添加可降低净离液活性的化合物,在水活度低至 0.647(低于记录的任何微生物物种的水活度)的条件下获得了菌丝体生长。出乎意料的是,我们发现一些真菌在离液条件下生长最佳,这为以前未被描述的一类极端微生物提供了证据。进一步的研究阐明了溶质活性相互作用以确定生命极限的方式,可能会导致增强生物技术过程,并提高干旱和半干旱地区农业和自然生态系统的生产力。

https://cdn.ncbi.nlm.nih.gov/pmc/blobs/4e25/2810447/531e9c48997e/emi0011-3292-f1.jpg

文献AI研究员

20分钟写一篇综述,助力文献阅读效率提升50倍。

立即体验

用中文搜PubMed

大模型驱动的PubMed中文搜索引擎

马上搜索

文档翻译

学术文献翻译模型,支持多种主流文档格式。

立即体验