School of Life Sciences, Sichuan University, Chengdu 610064, China.
Genomics Proteomics Bioinformatics. 2009 Sep;7(3):77-86. doi: 10.1016/S1672-0229(08)60036-4.
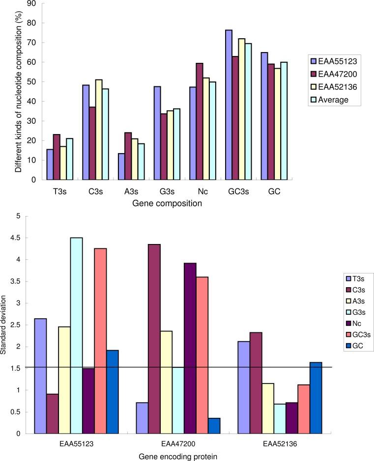
Horizontal gene transfer (HGT) has long been considered as a principal force for an organism to gain novel genes in genome evolution. Homology search, phylogenetic analysis and nucleotide composition analysis are three major objective approaches to arguably determine the occurrence and directionality of HGT. Here, 21 genes that possess the potential to horizontal transfer were acquired from the whole genome of Magnaporthe grisea according to annotation, among which three candidate genes (corresponding protein accession numbers are EAA55123, EAA47200 and EAA52136) were selected for further analysis. According to BLAST homology results, we subsequently conducted phylogenetic analysis of the three candidate HGT genes. Moreover, nucleotide composition analysis was conducted to further validate these HGTs. In addition, the functions of the three candidate genes were searched in COG database. Consequently, we conclude that the gene encoding protein EAA55123 is transferred from Clostridium perfringens. Another HGT event is between EAA52136 and a certain metazoan's corresponding gene, but the direction remains uncertain. Yet, EAA47200 is not a transferred gene.
水平基因转移(HGT)长期以来一直被认为是生物体在基因组进化中获得新基因的主要力量。同源性搜索、系统发育分析和核苷酸组成分析是三种主要的客观方法,可以确定 HGT 的发生和方向性。在这里,根据注释,从稻瘟病菌的全基因组中获得了 21 个具有水平转移潜力的基因,其中三个候选基因(相应的蛋白质注册号为 EAA55123、EAA47200 和 EAA52136)被选中进行进一步分析。根据 BLAST 同源性结果,我们随后对这三个候选 HGT 基因进行了系统发育分析。此外,还进行了核苷酸组成分析以进一步验证这些 HGT。此外,在 COG 数据库中搜索了这三个候选基因的功能。因此,我们得出结论,编码 EAA55123 蛋白的基因是从产气荚膜梭菌转移来的。另一个 HGT 事件发生在 EAA52136 和某种后生动物的相应基因之间,但方向尚不确定。然而,EAA47200 不是一个转移基因。