Illumina, Inc., San Diego, California, United States of America.
PLoS One. 2009 Dec 3;4(12):e8162. doi: 10.1371/journal.pone.0008162.
We have developed a gene expression assay (Whole-Genome DASL), capable of generating whole-genome gene expression profiles from degraded samples such as formalin-fixed, paraffin-embedded (FFPE) specimens.
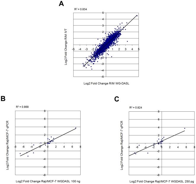
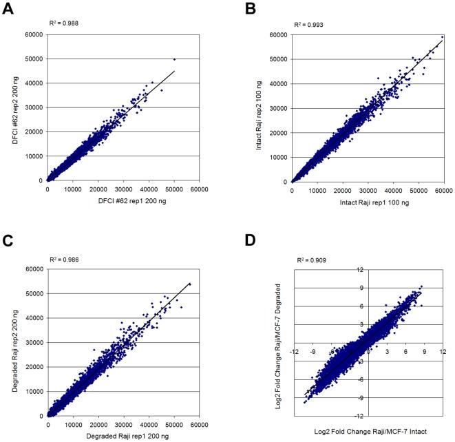
METHODOLOGY/PRINCIPAL FINDINGS: We demonstrated a similar level of sensitivity in gene detection between matched fresh-frozen (FF) and FFPE samples, with the number and overlap of probes detected in the FFPE samples being approximately 88% and 95% of that in the corresponding FF samples, respectively; 74% of the differentially expressed probes overlapped between the FF and FFPE pairs. The WG-DASL assay is also able to detect 1.3-1.5 and 1.5-2 -fold changes in intact and FFPE samples, respectively. The dynamic range for the assay is approximately 3 logs. Comparing the WG-DASL assay with an in vitro transcription-based labeling method yielded fold-change correlations of R(2) approximately 0.83, while fold-change comparisons with quantitative RT-PCR assays yielded R(2) approximately 0.86 and R(2) approximately 0.55 for intact and FFPE samples, respectively. Additionally, the WG-DASL assay yielded high self-correlations (R(2)>0.98) with low intact RNA inputs ranging from 1 ng to 100 ng; reproducible expression profiles were also obtained with 250 pg total RNA (R(2) approximately 0.92), with approximately 71% of the probes detected in 100 ng total RNA also detected at the 250 pg level. When FFPE samples were assayed, 1 ng total RNA yielded self-correlations of R(2) approximately 0.80, while still maintaining a correlation of R(2) approximately 0.75 with standard FFPE inputs (200 ng).
CONCLUSIONS/SIGNIFICANCE: Taken together, these results show that WG-DASL assay provides a reliable platform for genome-wide expression profiling in archived materials. It also possesses utility within clinical settings where only limited quantities of samples may be available (e.g. microdissected material) or when minimally invasive procedures are performed (e.g. biopsied specimens).
我们开发了一种基因表达检测方法(全基因组 DASL),能够从福尔马林固定、石蜡包埋(FFPE)等降解样本中生成全基因组基因表达谱。
方法/主要发现:我们在匹配的新鲜冷冻(FF)和 FFPE 样本之间证明了基因检测的灵敏度相似,在 FFPE 样本中检测到的探针数量和重叠率分别约为相应 FF 样本的 88%和 95%;74%的差异表达探针在 FF 和 FFPE 对之间重叠。WG-DASL 检测法还能够分别检测到完整和 FFPE 样本中 1.3-1.5 倍和 1.5-2 倍的变化。该检测法的动态范围约为 3 个对数。将 WG-DASL 检测法与基于体外转录的标记方法进行比较,得到的折叠变化相关性 R(2)约为 0.83,而与定量 RT-PCR 检测法的折叠变化比较,分别得到完整和 FFPE 样本的 R(2)约为 0.86 和 0.55。此外,WG-DASL 检测法在 1ng 至 100ng 的低完整 RNA 输入范围内具有高的自相关性(R(2)>0.98);用 250pg 总 RNA 也可获得可重复的表达谱(R(2)约为 0.92),在 100ng 总 RNA 中检测到的约 71%的探针也在 250pg 水平上检测到。在 FFPE 样本中进行检测时,1ng 总 RNA 的自相关性 R(2)约为 0.80,同时仍保持与标准 FFPE 输入(200ng)的 R(2)约 0.75 的相关性。
结论/意义:总的来说,这些结果表明,WG-DASL 检测法为存档材料的全基因组表达谱分析提供了一个可靠的平台。它还在临床环境中具有实用性,在这种情况下,可能只有有限数量的样本(例如,微切割材料)可用,或者进行微创程序(例如,活检标本)。