Suppr超能文献

日粮精油和不同饲养条件对断奶仔猪肠道生态影响的研究。

Investigations on the effects of dietary essential oils and different husbandry conditions on the gut ecology in piglets after weaning.

作者信息

Janczyk P, Pieper R, Urubschurov V, Wendler K R, Souffrant W B

机构信息

Research Unit "Oskar Kellener", Research Institute for the Biology of Farm Animals, Wilhelm-Stahl-Allee 2, 18196 Dummerstorf, Germany.

出版信息

Int J Microbiol. 2009;2009:730809. doi: 10.1155/2009/730809. Epub 2009 May 7.

Abstract

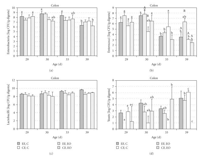
Essential oils (EO) are being considered as possible alternatives to in-feed antibiotic growth promoters in pig nutrition. The effects of an EO mixture consisting of limonene, eugenol and pinene (10.0, 2.0, and 4.8 mg/kg diet, resp.) on gut physiology and ecology were studied in piglets. The experiment was conducted at low (commercial farm) and high hygienic conditions (experimental farm), to elucidate interactions between EO supplementation and husbandry methods. Piglets were weaned at 28 days of age, when they were offered either a control diet (C) or C with EO. Four piglets were sacrificed in each group on day 29, 30, 33 and 39. Digesta from the third distal part of the small intestine and from the colon were sampled and analysed for pH, dry matter, lactic acid, short chain fatty acids and ammonia concentrations. Enterobacteria, enterococci, lactobacilli and yeast counts were obtained by plating. Genomic DNA was extracted from digesta and polymerase chain reaction-denaturing gradient gel electrophoresis was performed. Individual microbial communities were identified at each farm. Age affected the intestinal parameters. No effects of the EO with exception for a significant reduction in colon bacterial diversity at 39 days of age could be recorded at experimental farm.

摘要

在猪的营养中,精油(EO)正被视为饲料中抗生素生长促进剂的可能替代品。研究了由柠檬烯、丁香酚和蒎烯组成的精油混合物(分别为10.0、2.0和4.8毫克/千克日粮)对仔猪肠道生理和生态的影响。实验在低卫生条件(商业农场)和高卫生条件(实验农场)下进行,以阐明补充精油与饲养方法之间的相互作用。仔猪在28日龄断奶,断奶后分别饲喂对照日粮(C)或添加精油的C日粮。在第29、30、33和39天,每组宰杀4头仔猪。采集小肠远端第三部分和结肠的食糜,分析其pH值、干物质、乳酸、短链脂肪酸和氨浓度。通过平板计数获得肠杆菌、肠球菌、乳酸杆菌和酵母菌数量。从食糜中提取基因组DNA,并进行聚合酶链反应-变性梯度凝胶电泳。在每个农场鉴定个体微生物群落。年龄影响肠道参数。在实验农场,除了39日龄时结肠细菌多样性显著降低外,未记录到精油的其他影响。

https://cdn.ncbi.nlm.nih.gov/pmc/blobs/686f/2775198/ff7150cf0031/IJMB2009-730809.001.jpg

文献AI研究员

20分钟写一篇综述,助力文献阅读效率提升50倍。

立即体验

用中文搜PubMed

大模型驱动的PubMed中文搜索引擎

马上搜索

文档翻译

学术文献翻译模型,支持多种主流文档格式。

立即体验