Department of Food and Nutrition, Chungnam National University, Gung-dong, Yuseong-gu, Daejeon 305-764, Korea.
Nutr Res Pract. 2009 Summer;3(2):114-21. doi: 10.4162/nrp.2009.3.2.114. Epub 2009 Jun 30.
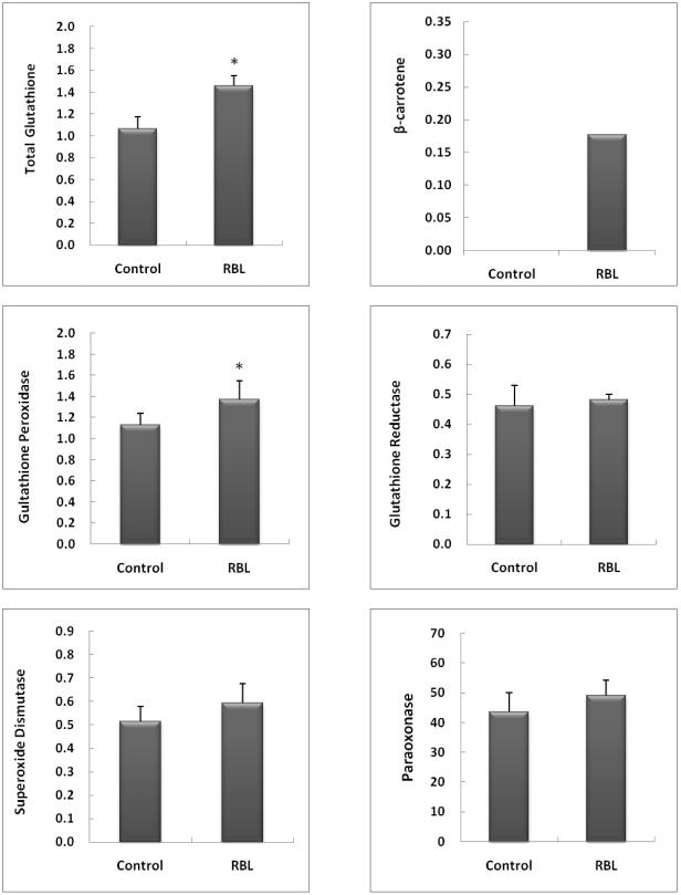
The effect of diet supplemented with red beet (Beta vulgaris L.) leaf on antioxidant status of plasma and tissue was investigated in C57BL/6J mice. The mice were randomly divided into two groups after one-week acclimation, and fed a high fat (20%) and high cholesterol (1%) diet without (control group) or with 8% freeze-dried red beet leaf (RBL group) for 4 weeks. In RBL mice, lipid peroxidation determined as 2-thiobarbituric acid-reactive substances (TBARS value) was significantly reduced in the plasma and selected organs (liver, heart, and kidney). Levels of antioxidants (glutathione and beta-carotene) and the activities of antioxidant enzyme (glutathione peroxidase) in plasma and liver were considerably increased, suggesting that antioxidant defenses were improved by RBL diet. Comet parameters such as tail DNA (%), tail extent moment, olive tail moment and tail length were significantly reduced by 25.1%, 49.4%, 35.4%, and 23.7%, respectively, in plasma lymphocyte DNA of RBL mice compared with control mice, and indicated the increased resistance of lymphocyte DNA to oxidative damage. In addition, the RBL diet controlled body weight together with a significant reduction of fat pad (retroperitoneal, epididymal, inguinal fat, and total fat). Therefore, the present study suggested that the supplementation of 8% red beet leaf in high fat high cholesterol diet could prevent lipid peroxidation and improve antioxidant defense system in the plasma and tissue of C57BL/6J mice.
研究了补充红甜菜(Beta vulgaris L.)叶对 C57BL/6J 小鼠血浆和组织抗氧化状态的影响。经过一周的适应期后,将小鼠随机分为两组,分别喂食高脂肪(20%)和高胆固醇(1%)饮食,不添加(对照组)或添加 8%冻干红甜菜叶(RBL 组),共 4 周。在 RBL 组中,血浆和选定器官(肝、心和肾)中脂质过氧化产物(丙二醛含量)显著降低。血浆和肝中的抗氧化剂(谷胱甘肽和β-胡萝卜素)水平和抗氧化酶(谷胱甘肽过氧化物酶)活性显著增加,表明 RBL 饮食改善了抗氧化防御能力。与对照组相比,RBL 组小鼠血浆淋巴细胞 DNA 的彗星参数(如尾部 DNA(%)、尾部长度矩、橄榄尾矩和尾部长度)分别显著降低了 25.1%、49.4%、35.4%和 23.7%,表明淋巴细胞 DNA 对氧化损伤的抵抗力增强。此外,RBL 饮食还控制了体重,同时显著减少了脂肪垫(腹膜后、附睾、腹股沟脂肪和总脂肪)。因此,本研究表明,在高脂肪高胆固醇饮食中补充 8%的红甜菜叶可以预防脂质过氧化,并改善 C57BL/6J 小鼠血浆和组织中的抗氧化防御系统。