Suppr超能文献

F508del-CFTR 表达细胞中的钙蛋白酶、半胱天冬酶 12、半胱天冬酶 3 级联反应导致细胞凋亡发生改变。

The calpain, caspase 12, caspase 3 cascade leading to apoptosis is altered in F508del-CFTR expressing cells.

机构信息

Inserm, Brest, France.

出版信息

PLoS One. 2009 Dec 24;4(12):e8436. doi: 10.1371/journal.pone.0008436.

Abstract

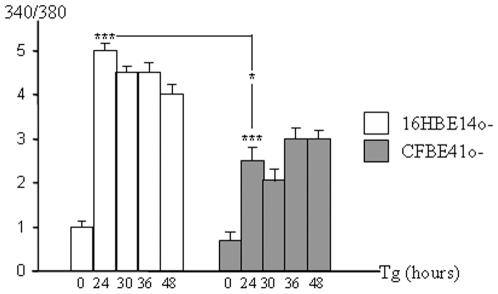
In cystic fibrosis (CF), the most frequent mutant variant of the cystic fibrosis transmembrane conductance regulator (CFTR), F508del-CFTR protein, is misfolded and retained in the endoplasmic reticulum (ER). We previously showed that the unfolded protein response (UPR) may be triggered in CF. Since prolonged UPR activation leads to apoptosis via the calcium-calpain-caspase-12-caspase-3 cascade and because apoptosis is altered in CF, our aim was to compare the ER stress-induced apoptosis pathway between wild type (Wt) and F508del-CFTR expressing cells. Here we show that the calcium-calpain-caspase-12-caspase-3 cascade is altered in F508del-CFTR expressing cells. We propose that this alteration is involved in the altered apoptosis triggering observed in CF.

摘要

在囊性纤维化 (CF) 中,囊性纤维化跨膜电导调节因子 (CFTR) 的最常见突变变体 F508del-CFTR 蛋白错误折叠并滞留在内质网 (ER) 中。我们之前表明,未折叠蛋白反应 (UPR) 可能在 CF 中被触发。由于长期的 UPR 激活通过钙钙蛋白酶-caspase-12-caspase-3 级联导致细胞凋亡,并且 CF 中的细胞凋亡发生改变,因此我们的目的是比较野生型 (Wt) 和 F508del-CFTR 表达细胞中的 ER 应激诱导的细胞凋亡途径。在这里,我们表明 F508del-CFTR 表达细胞中的钙钙蛋白酶-caspase-12-caspase-3 级联发生改变。我们提出这种改变涉及到 CF 中观察到的凋亡触发改变。

https://cdn.ncbi.nlm.nih.gov/pmc/blobs/7389/2793515/9476ff530044/pone.0008436.g001.jpg

文献AI研究员

20分钟写一篇综述,助力文献阅读效率提升50倍。

立即体验

用中文搜PubMed

大模型驱动的PubMed中文搜索引擎

马上搜索

文档翻译

学术文献翻译模型,支持多种主流文档格式。

立即体验