University of Wisconsin School of Medicine and Public Health, Wisconsin Institute for Medical Research, Madison, WI 53705, USA.
Nucleic Acids Res. 2010 Apr;38(7):2190-200. doi: 10.1093/nar/gkp1159. Epub 2010 Jan 4.
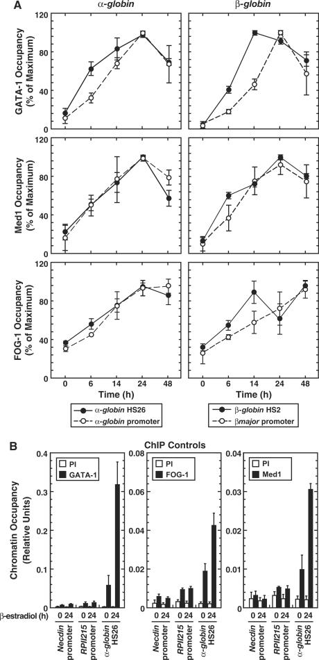
The critical regulator of hematopoiesis GATA-1 recruits diverse coregulators to chromatin, which mediate transcriptional activation and repression. These coregulators include the cell-type-specific multi-zinc finger protein Friend of GATA-1 (FOG-1), the histone acetyltransferase CREB binding protein (CBP), and the key component of the Mediator complex Med1. While FOG-1 is an established GATA-1 coregulator, the importance of interactions between GATA-1 and other coregulators is poorly understood. Furthermore, whether GATA-1 utilizes multiple coregulators at all loci, or if certain coregulators are dedicated to specific loci is unknown. We compared the capacity of GATA-1 to recruit and utilize FOG-1 and Med1 at activated and repressed target genes. Similar to FOG-1, GATA-1 recruited Med1 to activated genes, and the kinetics of FOG-1 and Med1 recruitment were similar. GATA-1 recruited Med1 in Fog1(-/-) cells, indicating that GATA-1-mediated Med1 recruitment is FOG-1-independent. In contrast to FOG-1, GATA-1 evicted Med1 during transcriptional repression. Whereas knocking-down FOG-1 had catastrophic effects on GATA-1-mediated activation and repression, knocking-down Med1 modestly impaired GATA-1 activity only at select loci. These results illustrate both similarities and differences between GATA-1-mediated recruitment of FOG-1 and Med1 to chromatin, with a fundamental difference being the quantitatively greater requirement for FOG-1.
造血关键调控因子 GATA-1 募集多种核心调节因子到染色质,从而介导转录激活和抑制。这些核心调节因子包括细胞特异性多锌指蛋白 GATA-1 的朋友(FOG-1)、组蛋白乙酰转移酶 CREB 结合蛋白(CBP)和 Mediator 复合物的关键组成部分 Med1。虽然 FOG-1 是 GATA-1 的公认核心调节因子,但 GATA-1 与其他核心调节因子之间相互作用的重要性尚不清楚。此外,GATA-1 是否在所有基因座上都利用多个核心调节因子,或者某些核心调节因子是否专门针对特定基因座尚不清楚。我们比较了 GATA-1 募集和利用激活和抑制靶基因上的 FOG-1 和 Med1 的能力。与 FOG-1 相似,GATA-1 募集 Med1 到激活的基因,FOG-1 和 Med1 募集的动力学相似。GATA-1 在 Fog1(-/-)细胞中募集 Med1,表明 GATA-1 介导的 Med1 募集是不依赖于 FOG-1 的。与 FOG-1 相反,GATA-1 在转录抑制过程中驱逐了 Med1。尽管敲除 FOG-1 对 GATA-1 介导的激活和抑制产生灾难性影响,但敲除 Med1 仅在某些基因座上适度损害 GATA-1 活性。这些结果说明了 GATA-1 介导的 FOG-1 和 Med1 到染色质的募集之间的相似性和差异,其根本区别在于对 FOG-1 的需求存在数量上的差异。