CIBER Enfermedades Respiratorias, Spain.
Respir Res. 2010 Jan 15;11(1):3. doi: 10.1186/1465-9921-11-3.
Cognitive impairment is one of the main consequences of obstructive sleep apnea (OSA) and is usually attributed in part to the oxidative stress caused by intermittent hypoxia in cerebral tissues. The presence of oxygen-reactive species in the brain tissue should be produced by the deoxygenation-reoxygenation cycles which occur at tissue level during recurrent apneic events. However, how changes in arterial blood oxygen saturation (SpO2) during repetitive apneas translate into oxygen partial pressure (PtO2) in brain tissue has not been studied. The objective of this study was to assess whether brain tissue is partially protected from intermittently occurring interruption of O2 supply during recurrent swings in arterial SpO2 in an animal model of OSA.
Twenty-four male Sprague-Dawley rats (300-350 g) were used. Sixteen rats were anesthetized and non-invasively subjected to recurrent obstructive apneas: 60 apneas/h, 15 s each, for 1 h. A control group of 8 rats was instrumented but not subjected to obstructive apneas. PtO2 in the cerebral cortex was measured using a fast-response oxygen microelectrode. SpO2 was measured by pulse oximetry. The time dependence of arterial SpO2 and brain tissue PtO2 was carried out by Friedman repeated measures ANOVA.
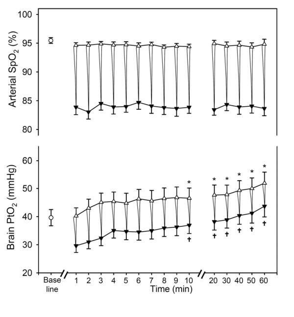
Arterial SpO2 showed a stable periodic pattern (no significant changes in maximum [95.5 +/- 0.5%; m +/- SE] and minimum values [83.9 +/- 1.3%]). By contrast, brain tissue PtO2 exhibited a different pattern from that of arterial SpO2. The minimum cerebral cortex PtO2 computed during the first apnea (29.6 +/- 2.4 mmHg) was significantly lower than baseline PtO2 (39.7 +/- 2.9 mmHg; p = 0.011). In contrast to SpO2, the minimum and maximum values of PtO2 gradually increased (p < 0.001) over the course of the 60 min studied. After 60 min, the maximum (51.9 +/- 3.9 mmHg) and minimum (43.7 +/- 3.8 mmHg) values of PtO2 were significantly greater relative to baseline and the first apnea dip, respectively.
These data suggest that the cerebral cortex is partially protected from intermittently occurring interruption of O2 supply induced by obstructive apneas mimicking OSA.
认知障碍是阻塞性睡眠呼吸暂停(OSA)的主要后果之一,通常部分归因于脑组织间歇性缺氧引起的氧化应激。脑组织中应该存在氧反应性物质,这是由反复呼吸暂停事件中组织水平上的脱氧-再氧合循环产生的。然而,动脉血氧饱和度(SpO2)在反复呼吸暂停期间的变化如何转化为脑组织中的氧分压(PtO2)尚未研究。本研究的目的是评估在 OSA 动物模型中,动脉 SpO2 反复波动时,脑组织是否部分免受间歇性 O2 供应中断的影响。
使用 24 只雄性 Sprague-Dawley 大鼠(300-350g)。16 只大鼠被麻醉并接受反复阻塞性呼吸暂停:60 次/小时,每次 15 秒,持续 1 小时。8 只对照大鼠接受仪器治疗但不接受阻塞性呼吸暂停。使用快速响应氧微电极测量大脑皮质中的 PtO2。通过 Friedman 重复测量方差分析进行 SpO2 和脑内 PtO2 的时间依赖性研究。
动脉 SpO2 呈现稳定的周期性模式(最大[95.5 +/- 0.5%;m +/- SE]和最小值无显著变化[83.9 +/- 1.3%])。相比之下,脑组织 PtO2 的模式与动脉 SpO2 不同。第一次呼吸暂停期间计算的大脑皮质最小 PtO2(29.6 +/- 2.4mmHg)明显低于基线 PtO2(39.7 +/- 2.9mmHg;p=0.011)。与 SpO2 相反,PtO2 的最小和最大值在研究的 60 分钟过程中逐渐增加(p < 0.001)。60 分钟后,最大(51.9 +/- 3.9mmHg)和最小(43.7 +/- 3.8mmHg)PtO2 值分别明显高于基线和第一次呼吸暂停下降值。
这些数据表明,大脑皮质在一定程度上受到阻塞性呼吸暂停引起的间歇性 O2 供应中断的保护,这种中断模拟了 OSA。