Suppr超能文献

C 型凝集素 langerin 是人类朗格汉斯细胞上的 β-葡聚糖受体,可识别机会性和致病性真菌。

C-type lectin Langerin is a beta-glucan receptor on human Langerhans cells that recognizes opportunistic and pathogenic fungi.

机构信息

Center for Experimental and Molecular Medicine, Academic Medical Center, University of Amsterdam, Amsterdam, The Netherlands.

出版信息

Mol Immunol. 2010 Mar;47(6):1216-25. doi: 10.1016/j.molimm.2009.12.016. Epub 2010 Jan 25.

Abstract

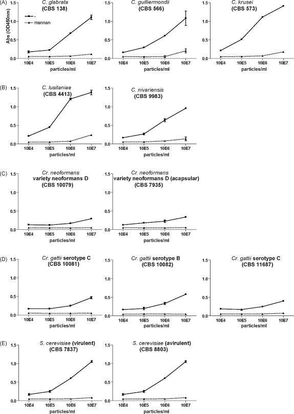
Langerhans cells (LCs) lining the stratified epithelia and mucosal tissues are the first antigen presenting cells to encounter invading pathogens, such as viruses, bacteria and fungi. Fungal infections form a health threat especially in immuno-compromised individuals. LCs express C-type lectin Langerin that has specificity for mannose, fucose and GlcNAc structures. Little is known about the role of human Langerin in fungal infections. Our data show that Langerin interacts with both mannan and beta-glucan structures, common cell-wall carbohydrate structures of fungi. We have screened a large panel of fungi for recognition by human Langerin and, strikingly, we observed strong binding of Langerin to a variety of Candida and Saccharomyces species and Malassezia furfur, but very weak binding was observed to Cryptococcus gattii and Cryptococcus neoformans. Notably, Langerin is the primary fungal receptor on LCs, since the interaction of LCs with the different fungi was blocked by antibodies against Langerin. Langerin recognizes both mannose and beta-glucans present on fungal cell walls and our data demonstrate that Langerin is the major fungal pathogen receptor on human LCs that recognizes pathogenic and commensal fungi. Together these data may provide more insight in the role of LCs in fungal infections.

摘要

郎格汉斯细胞(LCs)分布于表皮和黏膜组织的分层上皮中,是首先遇到入侵病原体(如病毒、细菌和真菌)的抗原呈递细胞。真菌感染尤其对免疫功能低下的个体构成健康威胁。LCs 表达对甘露糖、岩藻糖和 GlcNAc 结构具有特异性的 C 型凝集素朗格汉斯。人类朗格汉斯在真菌感染中的作用知之甚少。我们的数据表明,朗格汉斯与甘露聚糖和β-葡聚糖结构相互作用,这是真菌细胞壁碳水化合物的常见结构。我们筛选了大量真菌,以观察其是否被人类朗格汉斯识别,令人惊讶的是,我们观察到朗格汉斯与多种假丝酵母和酿酒酵母以及糠秕马拉色菌有强烈的结合,而对新型隐球菌和新生隐球菌的结合则非常弱。值得注意的是,朗格汉斯是 LCs 上的主要真菌受体,因为 LCs 与不同真菌的相互作用被针对朗格汉斯的抗体阻断。朗格汉斯识别真菌细胞壁上存在的甘露糖和β-葡聚糖,我们的数据表明,朗格汉斯是识别致病性和共生真菌的人类朗格汉斯上的主要真菌病原体受体。这些数据共同表明,LCs 在真菌感染中可能发挥重要作用。

https://cdn.ncbi.nlm.nih.gov/pmc/blobs/e22f/2837148/863d0c87363f/gr1.jpg

文献AI研究员

20分钟写一篇综述,助力文献阅读效率提升50倍。

立即体验

用中文搜PubMed

大模型驱动的PubMed中文搜索引擎

马上搜索

文档翻译

学术文献翻译模型,支持多种主流文档格式。

立即体验