Suppr超能文献

亚氨二乙酸磷酰胺类作为代谢原型物,可在体内实现核酸聚合多样化。

Iminodiacetic-phosphoramidates as metabolic prototypes for diversifying nucleic acid polymerization in vivo.

机构信息

Katholieke Universiteit Leuven, Rega Institute for Medical Research, Laboratory of Medicinal Chemistry, Minderbroedersstraat 10, 3000 Leuven, Belgium.

出版信息

Nucleic Acids Res. 2010 May;38(8):2541-50. doi: 10.1093/nar/gkp1246. Epub 2010 Jan 22.

Abstract

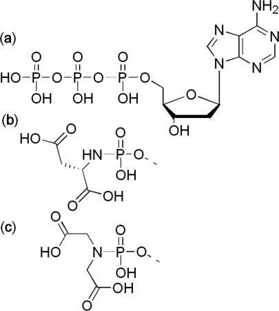
Previous studies in our laboratory proved that certain functional groups are able to mimic the pyrophosphate moiety and act as leaving groups in the enzymatic polymerization of deoxyribonucleic acids by HIV-1 reverse transcriptase. When the potential leaving group possesses two carboxylic acid moieties linked to the nucleoside via a phosphoramidate bond, it is efficiently recognized by this error-prone enzyme, resulting in nucleotide incorporation into DNA. Here, we present a new efficient alternative leaving group, iminodiacetic acid, which displays enhanced kinetics and an enhanced elongation capacity compared to previous results obtained with amino acid deoxyadenosine phosphoramidates. Iminodiacetic acid phosphoramidate of deoxyadenosine monophosphate (IDA-dAMP) is processed by HIV-1 RT as a substrate for single nucleotide incorporation and displays a typical Michaelis-Menten kinetic profile. This novel substrate also proved to be successful in primer strand elongation of a seven-base template overhang. Modelling of this new substrate in the active site of the enzyme revealed that the interactions formed between the triphosphate moiety, magnesium ions and enzyme's residues could be different from those of the natural triphosphate substrate and is likely to involve additional amino acid residues. Preliminary testing for a potential metabolic accessibility lets us to envision its possible use in an orthogonal system for nucleic acid synthesis that would not influence or be influenced by genetic information from the outside.

摘要

先前在我们实验室进行的研究证明,某些官能团能够模拟焦磷酸基团,并作为 HIV-1 逆转录酶催化脱氧核糖核酸聚合的离去基团。当潜在的离去基团通过磷酰胺键与核苷连接有两个羧酸基团时,它会被这种易错酶有效地识别,从而导致核苷酸掺入 DNA。在这里,我们提出了一种新的有效离去基团,亚氨基二乙酸,与以前用氨基酸脱氧腺苷磷酰胺获得的结果相比,它显示出增强的动力学和延长能力。脱氧腺苷单磷酸的亚氨基二乙酸磷酰胺(IDA-dAMP)被 HIV-1 RT 作为单核苷酸掺入的底物处理,并显示出典型的米氏动力学特征。这种新的底物也被证明在七碱基模板突出端的引物链延伸中是成功的。在酶的活性位点对这种新底物的建模表明,三磷酸部分、镁离子和酶残基之间形成的相互作用可能与天然三磷酸底物的相互作用不同,并且可能涉及额外的氨基酸残基。对潜在代谢可及性的初步测试让我们设想它可能用于核酸合成的正交系统中,该系统不会影响或受外部遗传信息的影响。

https://cdn.ncbi.nlm.nih.gov/pmc/blobs/5070/2860114/50d67a1becd7/gkp1246f1.jpg

文献检索

告别复杂PubMed语法,用中文像聊天一样搜索,搜遍4000万医学文献。AI智能推荐,让科研检索更轻松。

立即免费搜索

文件翻译

保留排版,准确专业,支持PDF/Word/PPT等文件格式,支持 12+语言互译。

免费翻译文档

深度研究

AI帮你快速写综述,25分钟生成高质量综述,智能提取关键信息,辅助科研写作。

立即免费体验