• 文献检索
  • 文档翻译
  • 深度研究
  • 学术资讯
  • Suppr Zotero 插件Zotero 插件
  • 邀请有礼
  • 套餐&价格
  • 历史记录
应用&插件
Suppr Zotero 插件Zotero 插件浏览器插件Mac 客户端Windows 客户端微信小程序
定价
高级版会员购买积分包购买API积分包
服务
文献检索文档翻译深度研究API 文档MCP 服务
关于我们
关于 Suppr公司介绍联系我们用户协议隐私条款
关注我们

Suppr 超能文献

核心技术专利:CN118964589B侵权必究
粤ICP备2023148730 号-1Suppr @ 2026

文献检索

告别复杂PubMed语法,用中文像聊天一样搜索,搜遍4000万医学文献。AI智能推荐,让科研检索更轻松。

立即免费搜索

文件翻译

保留排版,准确专业,支持PDF/Word/PPT等文件格式,支持 12+语言互译。

免费翻译文档

深度研究

AI帮你快速写综述,25分钟生成高质量综述,智能提取关键信息,辅助科研写作。

立即免费体验

重建灵长类大脑进化的兴衰:对适应性假说和弗洛里斯人( Homo floresiensis )的影响。

Reconstructing the ups and downs of primate brain evolution: implications for adaptive hypotheses and Homo floresiensis.

机构信息

Department of Zoology, University of Cambridge, Downing Street, Cambridge, UK.

出版信息

BMC Biol. 2010 Jan 27;8:9. doi: 10.1186/1741-7007-8-9.

DOI:10.1186/1741-7007-8-9
PMID:20105283
原文链接:https://pmc.ncbi.nlm.nih.gov/articles/PMC2825212/
Abstract

BACKGROUND

Brain size is a key adaptive trait. It is often assumed that increasing brain size was a general evolutionary trend in primates, yet recent fossil discoveries have documented brain size decreases in some lineages, raising the question of how general a trend there was for brains to increase in mass over evolutionary time. We present the first systematic phylogenetic analysis designed to answer this question.

RESULTS

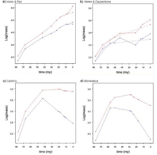
We performed ancestral state reconstructions of three traits (absolute brain mass, absolute body mass, relative brain mass) using 37 extant and 23 extinct primate species and three approaches to ancestral state reconstruction: parsimony, maximum likelihood and Bayesian Markov-chain Monte Carlo. Both absolute and relative brain mass generally increased over evolutionary time, but body mass did not. Nevertheless both absolute and relative brain mass decreased along several branches. Applying these results to the contentious case of Homo floresiensis, we find a number of scenarios under which the proposed evolution of Homo floresiensis' small brain appears to be consistent with patterns observed along other lineages, dependent on body mass and phylogenetic position.

CONCLUSIONS

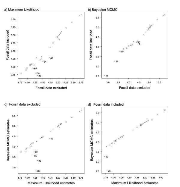
Our results confirm that brain expansion began early in primate evolution and show that increases occurred in all major clades. Only in terms of an increase in absolute mass does the human lineage appear particularly striking, with both the rate of proportional change in mass and relative brain size having episodes of greater expansion elsewhere on the primate phylogeny. However, decreases in brain mass also occurred along branches in all major clades, and we conclude that, while selection has acted to enlarge primate brains, in some lineages this trend has been reversed. Further analyses of the phylogenetic position of Homo floresiensis and better body mass estimates are required to confirm the plausibility of the evolution of its small brain mass. We find that for our dataset the Bayesian analysis for ancestral state reconstruction is least affected by inclusion of fossil data suggesting that this approach might be preferable for future studies on other taxa with a poor fossil record.

摘要

背景

大脑大小是一个关键的适应性特征。人们通常认为,大脑尺寸的增加是灵长类动物的一个普遍进化趋势,但最近的化石发现记录了一些谱系中大脑尺寸的减小,这就提出了一个问题,即在进化过程中,大脑质量普遍增加的趋势有多大。我们提出了第一个旨在回答这个问题的系统进化分析。

结果

我们使用 37 种现存和 23 种已灭绝的灵长类物种以及三种祖先状态重建方法(简约法、最大似然法和贝叶斯马尔可夫链蒙特卡罗法),对三个特征(绝对脑质量、绝对体质量、相对脑质量)进行了祖先状态重建。绝对和相对脑质量总体上随着进化时间的推移而增加,但体质量没有增加。尽管如此,绝对和相对脑质量都沿着几个分支减少。将这些结果应用于有争议的弗洛勒斯人案例,我们发现了一些情况下,弗洛勒斯人小脑袋的进化提议与其他谱系观察到的模式是一致的,这取决于体质量和系统发育位置。

结论

我们的结果证实了大脑扩张在灵长类进化的早期就开始了,并表明这种扩张发生在所有主要分支中。只有从绝对质量的增加来看,人类谱系才显得特别引人注目,质量的比例变化和相对脑大小的增加在灵长类系统发育的其他地方都有出现过。然而,大脑质量的减少也发生在所有主要分支中,我们得出的结论是,虽然选择作用使灵长类大脑增大,但在一些谱系中,这种趋势已经逆转。进一步分析弗洛勒斯人的系统发育位置和更好的体质量估计值,以确认其小脑袋质量的进化是合理的。我们发现,对于我们的数据集,贝叶斯分析对祖先状态重建的影响最小,这表明这种方法对于未来其他化石记录较差的分类群的研究可能是优选的。

https://cdn.ncbi.nlm.nih.gov/pmc/blobs/1ae2/2825212/ce0b1e6fdeca/1741-7007-8-9-7.jpg
https://cdn.ncbi.nlm.nih.gov/pmc/blobs/1ae2/2825212/9dda6b82f249/1741-7007-8-9-1.jpg
https://cdn.ncbi.nlm.nih.gov/pmc/blobs/1ae2/2825212/389b80f16717/1741-7007-8-9-2.jpg
https://cdn.ncbi.nlm.nih.gov/pmc/blobs/1ae2/2825212/0d3d06b320d7/1741-7007-8-9-3.jpg
https://cdn.ncbi.nlm.nih.gov/pmc/blobs/1ae2/2825212/d8937b6533a1/1741-7007-8-9-4.jpg
https://cdn.ncbi.nlm.nih.gov/pmc/blobs/1ae2/2825212/52c6a1171d1a/1741-7007-8-9-5.jpg
https://cdn.ncbi.nlm.nih.gov/pmc/blobs/1ae2/2825212/19f51e55fd96/1741-7007-8-9-6.jpg
https://cdn.ncbi.nlm.nih.gov/pmc/blobs/1ae2/2825212/ce0b1e6fdeca/1741-7007-8-9-7.jpg
https://cdn.ncbi.nlm.nih.gov/pmc/blobs/1ae2/2825212/9dda6b82f249/1741-7007-8-9-1.jpg
https://cdn.ncbi.nlm.nih.gov/pmc/blobs/1ae2/2825212/389b80f16717/1741-7007-8-9-2.jpg
https://cdn.ncbi.nlm.nih.gov/pmc/blobs/1ae2/2825212/0d3d06b320d7/1741-7007-8-9-3.jpg
https://cdn.ncbi.nlm.nih.gov/pmc/blobs/1ae2/2825212/d8937b6533a1/1741-7007-8-9-4.jpg
https://cdn.ncbi.nlm.nih.gov/pmc/blobs/1ae2/2825212/52c6a1171d1a/1741-7007-8-9-5.jpg
https://cdn.ncbi.nlm.nih.gov/pmc/blobs/1ae2/2825212/19f51e55fd96/1741-7007-8-9-6.jpg
https://cdn.ncbi.nlm.nih.gov/pmc/blobs/1ae2/2825212/ce0b1e6fdeca/1741-7007-8-9-7.jpg

相似文献

1
Reconstructing the ups and downs of primate brain evolution: implications for adaptive hypotheses and Homo floresiensis.重建灵长类大脑进化的兴衰:对适应性假说和弗洛里斯人( Homo floresiensis )的影响。
BMC Biol. 2010 Jan 27;8:9. doi: 10.1186/1741-7007-8-9.
2
Primate brains, the 'island rule' and the evolution of Homo floresiensis.灵长类动物大脑、“岛屿法则”与弗洛勒斯人(Homo floresiensis)的演化。
J Hum Evol. 2013 Dec;65(6):750-60. doi: 10.1016/j.jhevol.2013.08.006. Epub 2013 Oct 14.
3
The affinities of Homo floresiensis based on phylogenetic analyses of cranial, dental, and postcranial characters.基于对颅骨、牙齿和后肢骨骼特征的系统发育分析,弗洛勒斯人(Homo floresiensis)的亲缘关系。
J Hum Evol. 2017 Jun;107:107-133. doi: 10.1016/j.jhevol.2017.02.006. Epub 2017 Apr 21.
4
The size of scalable brain components in the human evolutionary lineage: with a comment on the paradox of Homo floresiensis.人类进化谱系中可扩展脑组件的大小:兼评弗洛勒斯人悖论
Homo. 2007;58(1):1-12. doi: 10.1016/j.jchb.2006.11.001. Epub 2007 Jan 22.
5
Primate phylogeny: morphological vs. molecular results.灵长类系统发育:形态学与分子学结果对比
Mol Phylogenet Evol. 1996 Feb;5(1):102-54. doi: 10.1006/mpev.1996.0009.
6
The evolutionary relationships and age of Homo naledi: An assessment using dated Bayesian phylogenetic methods.纳莱迪人的进化关系与年代:使用贝叶斯系统发育年代测定方法的评估
J Hum Evol. 2016 Aug;97:17-26. doi: 10.1016/j.jhevol.2016.04.008. Epub 2016 Jun 12.
7
Evolution of postural diversity in primates as reflected by the size and shape of the medial tibial facet of the talus.距骨内侧胫骨关节面的大小和形状所反映的灵长类动物姿势多样性的演变。
Am J Phys Anthropol. 2015 May;157(1):134-77. doi: 10.1002/ajpa.22702. Epub 2015 Feb 14.
8
Adaptive evolution of four microcephaly genes and the evolution of brain size in anthropoid primates.四种小头畸形基因的适应性进化及人科灵长类动物大脑大小的进化。
Mol Biol Evol. 2011 Jan;28(1):625-38. doi: 10.1093/molbev/msq237. Epub 2010 Oct 20.
9
On the relationships of postcanine tooth size with dietary quality and brain volume in primates: implications for hominin evolution.论灵长类动物后犬齿大小与饮食质量和脑量的关系:对人属进化的启示。
Biomed Res Int. 2014;2014:406507. doi: 10.1155/2014/406507. Epub 2014 Jan 30.
10
Patterns of co-speciation and host switching in primate malaria parasites.灵长类疟原虫的共物种形成和宿主转换模式。
Malar J. 2009 May 22;8:110. doi: 10.1186/1475-2875-8-110.

引用本文的文献

1
Proximate mechanisms underlying the coevolution of diet quality and relative brain size in primates.灵长类动物饮食质量与相对脑容量协同进化的近因机制。
Philos Trans R Soc Lond B Biol Sci. 2025 Jun 26;380(1929):20240126. doi: 10.1098/rstb.2024.0126.
2
Avian telencephalon and cerebellum volumes can be accurately estimated from digital brain endocasts.鸟类的端脑和小脑体积可以通过数字化脑内模精确估算。
Biol Lett. 2025 Jan;21(1):20240596. doi: 10.1098/rsbl.2024.0596. Epub 2025 Jan 22.
3
Co-evolutionary dynamics of mammalian brain and body size.

本文引用的文献

1
LIKELIHOOD OF ANCESTOR STATES IN ADAPTIVE RADIATION.适应性辐射中祖先状态的可能性
Evolution. 1997 Dec;51(6):1699-1711. doi: 10.1111/j.1558-5646.1997.tb05095.x.
2
Reconstructing ancestral character states: a critical reappraisal.重建祖先性状状态:批判性再评价。
Trends Ecol Evol. 1998 Sep 1;13(9):361-6. doi: 10.1016/s0169-5347(98)01382-2.
3
The Ardipithecus ramidus skull and its implications for hominid origins.拉密达地猿头骨及其对人科动物起源的意义。
哺乳动物大脑与身体大小的协同进化动态
Nat Ecol Evol. 2024 Aug;8(8):1534-1542. doi: 10.1038/s41559-024-02451-3. Epub 2024 Jul 8.
4
From fossils to mind.从化石到心智。
Commun Biol. 2023 Jun 13;6(1):636. doi: 10.1038/s42003-023-04803-4.
5
Signatures of adaptive evolution in platyrrhine primate genomes.平颅猴基因组中的适应性进化特征。
Proc Natl Acad Sci U S A. 2022 Aug 30;119(35):e2116681119. doi: 10.1073/pnas.2116681119. Epub 2022 Aug 22.
6
Equivocal evidence for a link between megalencephaly-related genes and primate brain size evolution.巨脑症相关基因与灵长类动物大脑大小进化之间存在关联的证据尚不明确。
Sci Rep. 2022 Jun 28;12(1):10902. doi: 10.1038/s41598-022-12953-4.
7
An agent-based model clarifies the importance of functional and developmental integration in shaping brain evolution.基于主体的模型阐明了功能和发育整合在塑造大脑进化中的重要性。
BMC Biol. 2021 May 10;19(1):97. doi: 10.1186/s12915-021-01024-1.
8
The evolution of mammalian brain size.哺乳动物脑容量的进化。
Sci Adv. 2021 Apr 28;7(18). doi: 10.1126/sciadv.abe2101. Print 2021 Apr.
9
Variation in the strength of allometry drives rates of evolution in primate brain shape.种间体型异速变化的差异驱动灵长类动物脑形的进化速率。
Proc Biol Sci. 2020 Jul 8;287(1930):20200807. doi: 10.1098/rspb.2020.0807.
10
Automatic generation of evolutionary hypotheses using mixed Gaussian phylogenetic models.使用混合高斯系统发育模型自动生成进化假说。
Proc Natl Acad Sci U S A. 2019 Aug 20;116(34):16921-16926. doi: 10.1073/pnas.1813823116. Epub 2019 Aug 2.
Science. 2009 Oct 2;326(5949):68e1-7.
4
Homo floresiensis: a cladistic analysis.弗洛勒斯人:系统发生分析。
J Hum Evol. 2009 Nov;57(5):623-39. doi: 10.1016/j.jhevol.2009.05.002. Epub 2009 Jul 23.
5
Virtual endocast of Ignacius graybullianus (Paromomyidae, Primates) and brain evolution in early primates.伊格纳西乌斯·格雷布尔利猿(副鼠猴科,灵长目)的虚拟脑颅模型与早期灵长类动物的脑进化
Proc Natl Acad Sci U S A. 2009 Jul 7;106(27):10987-92. doi: 10.1073/pnas.0812140106. Epub 2009 Jun 22.
6
Brain-size evolution and sociality in Carnivora.食肉目动物的脑容量进化与社会性
Proc Natl Acad Sci U S A. 2009 Jun 9;106(23):9345-9. doi: 10.1073/pnas.0901780106. Epub 2009 May 27.
7
Distinct evolutionary patterns of brain and body size during adaptive radiation.适应性辐射过程中大脑和身体大小的独特进化模式。
Evolution. 2009 Sep;63(9):2266-74. doi: 10.1111/j.1558-5646.2009.00705.x. Epub 2009 Apr 9.
8
Insular dwarfism in hippos and a model for brain size reduction in Homo floresiensis.河马的岛屿侏儒化及弗洛勒斯人脑部尺寸缩小的模型。
Nature. 2009 May 7;459(7243):85-8. doi: 10.1038/nature07922.
9
The foot of Homo floresiensis.弗洛勒斯人的足部。
Nature. 2009 May 7;459(7243):81-4. doi: 10.1038/nature07989.
10
Sociality, ecology, and relative brain size in lemurs.狐猴的社会性、生态学与相对脑容量
J Hum Evol. 2009 May;56(5):471-8. doi: 10.1016/j.jhevol.2008.12.005. Epub 2009 May 2.