Suppr超能文献

Cell volume and sodium content in rat kidney collecting duct principal cells during hypotonic shock.

作者信息

Solenov Evgeny I

机构信息

Institute of Cytology and Genetics, Siberian Branch of Russian Academy of Sciences, Novosibirsk State University, Novosibirsk 630090, Russia.

出版信息

J Biophys. 2008;2008:420963. doi: 10.1155/2008/420963. Epub 2008 Jul 27.

Abstract

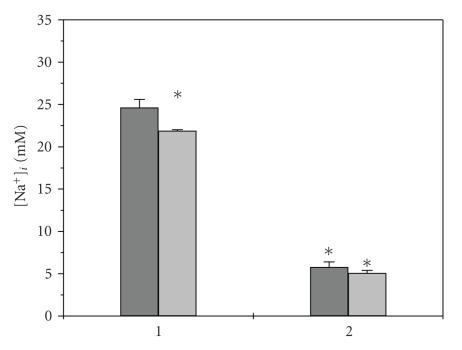
The purpose of this study was to investigate the time course of the volume-regulatory response and intracellular sodium concentration (Na(+)) in the principal cells of rat kidney outer medulla collecting duct (OMCD) epithelia during acute swelling in hypotonic medium. Hypotonic shock was created by PBS diluted with 50% of water. Changes in cell volume were measured with calcein quenching method. Intracellular sodium concentration was studied with fluorescence dye Sodium Green. Principal cells of microdissected OMCD fragments swelled very fast. The characteristic time of swelling (tau(1)) was 0.65 +/- 0.05 seconds, and the volume increased more than 60% (92.9 +/- 5.6 and 151.3 +/- 9.8 microm(3) control and peak volumes correspondently, P < .01). After cell volume reached the peak of swelling, the RVD began without lag period. The characteristic time of volume decreasing to new steady-state level (tau(2)) was 8.9 +/- 1.1 seconds. In hypoosmotic medium, cell volume stabilized on higher level in comparison with control (110.3 +/- 8.3 microm(3), P < .01). After restoration of the medium osmolality to normotonic, cell volume stabilized on significantly low level in comparison with control level (71.4 +/- 6.1 microm(3), P < .01). During the hypoosmotic shock, Na(+) decreased from control level in isotonic PBS to the low level in hypoosmotic solution (27.7 +/- 1.4 and 5.8 +/- 0.23 mM, P < .01). Calculation of sodium content per cell has shown the significant sodium entry into the cells, which caused a temporary increase correlated with the peak of cell volume caused by swelling. The conclusion is made that in our model of hypoosmotic shock, swelling activates transporters with high permeability for Na(+) that provides sodium flux into the cells.

摘要
https://cdn.ncbi.nlm.nih.gov/pmc/blobs/fa8e/2809319/91ddb7edbe57/JBP2008-420963.001.jpg

文献AI研究员

20分钟写一篇综述,助力文献阅读效率提升50倍。

立即体验

用中文搜PubMed

大模型驱动的PubMed中文搜索引擎

马上搜索

文档翻译

学术文献翻译模型,支持多种主流文档格式。

立即体验