• 文献检索
  • 文档翻译
  • 深度研究
  • 学术资讯
  • Suppr Zotero 插件Zotero 插件
  • 邀请有礼
  • 套餐&价格
  • 历史记录
应用&插件
Suppr Zotero 插件Zotero 插件浏览器插件Mac 客户端Windows 客户端微信小程序
定价
高级版会员购买积分包购买API积分包
服务
文献检索文档翻译深度研究API 文档MCP 服务
关于我们
关于 Suppr公司介绍联系我们用户协议隐私条款
关注我们

Suppr 超能文献

核心技术专利:CN118964589B侵权必究
粤ICP备2023148730 号-1Suppr @ 2026

文献检索

告别复杂PubMed语法,用中文像聊天一样搜索,搜遍4000万医学文献。AI智能推荐,让科研检索更轻松。

立即免费搜索

文件翻译

保留排版,准确专业,支持PDF/Word/PPT等文件格式,支持 12+语言互译。

免费翻译文档

深度研究

AI帮你快速写综述,25分钟生成高质量综述,智能提取关键信息,辅助科研写作。

立即免费体验

超声成像在大鼠脂肪肝和肝硬化实验模型中的应用。

Ultrasound imaging in an experimental model of fatty liver disease and cirrhosis in rats.

机构信息

Department of Internal Medicine, School of Medicine, Federal University of Rio de Janeiro, Clementino Fraga Filho University Hospital, Rua Prof. Rodolpho Paulo Rocco, 255, Rio de Janeiro, 21941-913, Brasil.

出版信息

BMC Vet Res. 2010 Jan 29;6:6. doi: 10.1186/1746-6148-6-6.

DOI:10.1186/1746-6148-6-6
PMID:20113491
原文链接:https://pmc.ncbi.nlm.nih.gov/articles/PMC2835689/
Abstract

BACKGROUND

Domestic dogs and cats are very well known to develop chronic hepatic diseases, including hepatic lipidosis and cirrhosis. Ultrasonographic examination is extensively used to detect them. However, there are still few reports on the use of the ultrasound B-mode scan in correlation with histological findings to evaluate diffuse hepatic changes in rodents, which represent the most important animal group used in experimental models of liver diseases. The purpose of this study was to determine the reliability of ultrasound findings in the assessment of fatty liver disease and cirrhosis when compared to histological results in Wistar rats by following up a murine model of chronic hepatic disease.

RESULTS

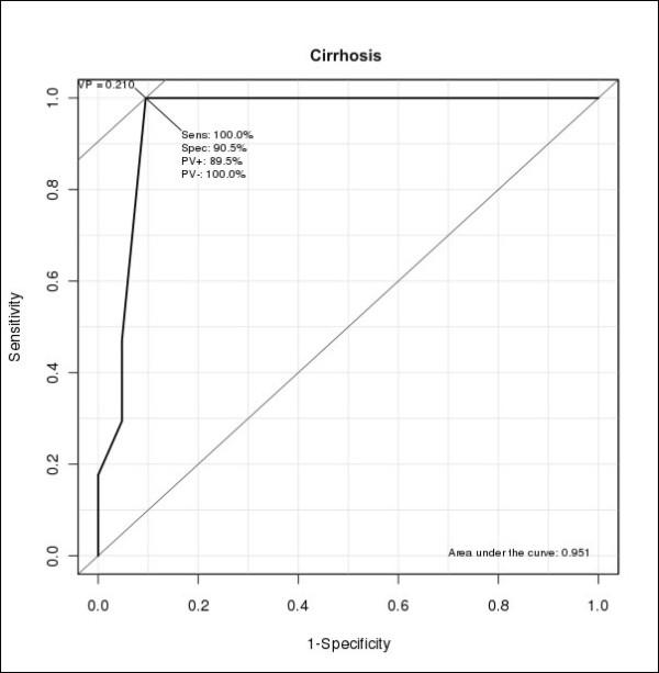
Forty Wistar rats (30 treated, 10 controls) were included. Liver injury was induced by dual exposure to CCl4 and ethanol for 4, 8 and 15 weeks. Liver echogenicity, its correlation to the right renal cortex echogenicity, measurement of portal vein diameter (PVD) and the presence of ascites were evaluated and compared to histological findings of hepatic steatosis and cirrhosis. Liver echogenicity correlated to hepatic steatosis when it was greater or equal to the right renal cortex echogenicity, with a sensitivity of 90%, specificity of 100%, positive and negative predictive values of 100% and 76.9% respectively, and accuracy of 92.5%. Findings of heterogeneous liver echogenicity and irregular surface correlated to liver cirrhosis with a sensitivity of 70.6%, specificity of 100%, positive and negative predictive values of 100% and 82.1% respectively, and accuracy of 87.5%. PVD was significantly increased in both steatotic and cirrhotic rats; however, the later had greater diameters. PVD cut-off point separating steatosis from cirrhosis was 2.1 mm (sensitivity of 100% and specificity of 90.5%). One third of cirrhotic rats presented with ascites.

CONCLUSION

The use of ultrasound imaging in the follow-up of murine diffuse liver disease models is feasible and efficient, especially when the studied parameters are used in combination. The potential implication of this study is to provide a non-invasive method that allows follow-up studies of fatty liver disease and cirrhosis of individual rats for pre-clinical drug or cell based therapies.

摘要

背景

家犬和家猫众所周知会发生慢性肝病,包括肝脂肪变性和肝硬化。超声检查广泛用于检测这些疾病。然而,在评估啮齿动物弥漫性肝改变方面,与组织学结果相关的超声 B 型扫描在代表用于肝脏疾病实验模型的最重要动物群体中使用的报道仍然很少。本研究的目的是通过跟踪慢性肝病的小鼠模型,确定超声检查在评估 Wistar 大鼠脂肪肝和肝硬化方面的可靠性,与组织学结果相比。

结果

纳入 40 只 Wistar 大鼠(30 只治疗组,10 只对照组)。肝损伤由 CCl4 和乙醇双重暴露 4、8 和 15 周引起。评估和比较肝脏回声、与右肾皮质回声的相关性、门静脉直径(PVD)的测量以及腹水的存在,以评估肝脂肪变性和肝硬化的组织学结果。当肝脏回声大于或等于右肾皮质回声时,与肝脂肪变性相关,其灵敏度为 90%,特异性为 100%,阳性和阴性预测值分别为 100%和 76.9%,准确性为 92.5%。不均匀的肝脏回声和不规则表面的发现与肝硬化相关,其灵敏度为 70.6%,特异性为 100%,阳性和阴性预测值分别为 100%和 82.1%,准确性为 87.5%。PVD 在脂肪变性和肝硬化大鼠中均显著增加;然而,后者的直径更大。将 PVD 截断值从 2.1mm 分开,以区分脂肪变性和肝硬化,其灵敏度为 100%,特异性为 90.5%。三分之一的肝硬化大鼠出现腹水。

结论

在慢性肝疾病模型的监测中使用超声成像既可行又有效,特别是当研究参数联合使用时。本研究的潜在意义是提供一种非侵入性方法,可以对个体大鼠的脂肪肝和肝硬化进行随访,用于临床前药物或细胞治疗。

https://cdn.ncbi.nlm.nih.gov/pmc/blobs/3b25/2835689/bac87af9cd70/1746-6148-6-6-5.jpg
https://cdn.ncbi.nlm.nih.gov/pmc/blobs/3b25/2835689/a30c42e4574a/1746-6148-6-6-1.jpg
https://cdn.ncbi.nlm.nih.gov/pmc/blobs/3b25/2835689/633e130ce49b/1746-6148-6-6-2.jpg
https://cdn.ncbi.nlm.nih.gov/pmc/blobs/3b25/2835689/fab508ca0b39/1746-6148-6-6-3.jpg
https://cdn.ncbi.nlm.nih.gov/pmc/blobs/3b25/2835689/822838941c3b/1746-6148-6-6-4.jpg
https://cdn.ncbi.nlm.nih.gov/pmc/blobs/3b25/2835689/bac87af9cd70/1746-6148-6-6-5.jpg
https://cdn.ncbi.nlm.nih.gov/pmc/blobs/3b25/2835689/a30c42e4574a/1746-6148-6-6-1.jpg
https://cdn.ncbi.nlm.nih.gov/pmc/blobs/3b25/2835689/633e130ce49b/1746-6148-6-6-2.jpg
https://cdn.ncbi.nlm.nih.gov/pmc/blobs/3b25/2835689/fab508ca0b39/1746-6148-6-6-3.jpg
https://cdn.ncbi.nlm.nih.gov/pmc/blobs/3b25/2835689/822838941c3b/1746-6148-6-6-4.jpg
https://cdn.ncbi.nlm.nih.gov/pmc/blobs/3b25/2835689/bac87af9cd70/1746-6148-6-6-5.jpg

相似文献

1
Ultrasound imaging in an experimental model of fatty liver disease and cirrhosis in rats.超声成像在大鼠脂肪肝和肝硬化实验模型中的应用。
BMC Vet Res. 2010 Jan 29;6:6. doi: 10.1186/1746-6148-6-6.
2
Noninvasive assessment of liver steatosis, fibrosis and inflammation in chronic hepatitis C virus infection.慢性丙型肝炎病毒感染中肝脏脂肪变性、纤维化和炎症的非侵入性评估
Liver Int. 2005 Dec;25(6):1150-5. doi: 10.1111/j.1478-3231.2005.01164.x.
3
Doppler Ultrasound in Liver Cirrhosis: Correlation of Hepatic Artery and Portal Vein Measurements With Model for End-Stage Liver Disease Score.肝硬化中的多普勒超声:肝动脉和门静脉测量值与终末期肝病模型评分的相关性
J Ultrasound Med. 2017 Apr;36(4):725-730. doi: 10.7863/ultra.16.03107. Epub 2016 Dec 27.
4
Bone marrow cell transplant does not prevent or reverse murine liver cirrhosis.骨髓细胞移植不能预防或逆转小鼠肝硬化。
Cell Transplant. 2008;17(8):943-53. doi: 10.3727/096368908786576453.
5
Diagnostic value of Doppler assessment of the hepatic and portal vessels and ultrasound of the spleen in liver disease.肝脏和门静脉血管的多普勒评估及脾脏超声检查在肝脏疾病中的诊断价值。
Eur J Gastroenterol Hepatol. 2004 Feb;16(2):147-55. doi: 10.1097/00042737-200402000-00005.
6
Circulating lipocalin 2 is neither related to liver steatosis in patients with non-alcoholic fatty liver disease nor to residual liver function in cirrhosis.循环中的脂质运载蛋白2既与非酒精性脂肪性肝病患者的肝脏脂肪变性无关,也与肝硬化患者的残余肝功能无关。
Cytokine. 2016 Sep;85:45-50. doi: 10.1016/j.cyto.2016.06.004. Epub 2016 Jun 9.
7
Ultrasound predictors of compensated liver cirrhosis in hemodialysis patients with hepatitis C.丙型肝炎血液透析患者代偿期肝硬化的超声预测指标
Saudi J Kidney Dis Transpl. 2013 Jan;24(1):30-5. doi: 10.4103/1319-2442.106235.
8
Validity of real time ultrasound in the diagnosis of hepatic steatosis: a prospective study.实时超声诊断肝脂肪变的有效性:一项前瞻性研究。
J Hepatol. 2009 Dec;51(6):1061-7. doi: 10.1016/j.jhep.2009.09.001. Epub 2009 Sep 20.
9
Correlation between ultrasonographic and pathologic diagnosis of liver fibrosis due to chronic virus hepatitis.慢性病毒性肝炎所致肝纤维化的超声诊断与病理诊断的相关性
World J Gastroenterol. 2006 Feb 28;12(8):1292-5. doi: 10.3748/wjg.v12.i8.1292.
10
Quantitative analysis of susceptibility-weighted magnetic resonance imaging in chronic hepatitis in rats.大鼠慢性肝炎的磁共振成像敏感性加权定量分析。
Magn Reson Imaging. 2018 Dec;54:71-76. doi: 10.1016/j.mri.2018.08.008. Epub 2018 Aug 18.

引用本文的文献

1
Ultrasound measurements of croup fat thickness and liver echogenicity as indicators for lipomobilization in donkeys (Equus Africanus asinus) with fasting-induced hyperlipidemia.超声测量臀部脂肪厚度和肝脏回声性作为禁食诱导的高脂血症驴(非洲野驴指名亚种)脂肪动员的指标。
BMC Vet Res. 2025 Sep 9;21(1):534. doi: 10.1186/s12917-025-04999-z.
2
Integrated Ultrasound Characterization of the Diet-Induced Obesity (DIO) Model in Young Adult c57bl/6j Mice: Assessment of Cardiovascular, Renal and Hepatic Changes.年轻成年C57BL/6J小鼠饮食诱导肥胖(DIO)模型的综合超声特征:心血管、肾脏和肝脏变化的评估
J Imaging. 2024 Sep 4;10(9):217. doi: 10.3390/jimaging10090217.
3

本文引用的文献

1
Characterization of malignant focal liver lesions with contrast-enhanced 40 MHz ultrasound imaging in hepatitis B virus X transgenic mice: a feasibility study.在乙型肝炎病毒X转基因小鼠中用40兆赫超声造影成像对恶性局灶性肝病变进行特征分析:一项可行性研究。
Ultrason Imaging. 2008 Oct;30(4):203-16. doi: 10.1177/016173460803000402.
2
Echographic detection of diethylnitrosamine-induced liver tumors in rats and the effect of the intratumoral injection of an inhibitor of c-Jun N-terminal kinase.
J Gastroenterol Hepatol. 2009 May;24(5):866-71. doi: 10.1111/j.1440-1746.2008.05722.x. Epub 2009 Feb 9.
3
Predictors of esophageal varices in patients with HBV-related cirrhosis: a retrospective study.乙肝相关肝硬化患者食管静脉曲张的预测因素:一项回顾性研究。
Normotensive metabolic syndrome in Transient Receptor Potential Canonical Channel type 1 Trpc1-/- mice.
代谢正常型高血压在瞬时受体电位经典通道型 1(TRPC1)基因敲除小鼠中的表现。
Biol Open. 2024 Jul 15;13(7). doi: 10.1242/bio.060280. Epub 2024 Jul 31.
4
Diethylnitrosamine-Induced Liver Tumorigenesis in Mice Under High-Hat High-Sucrose Diet: Stepwise High-Resolution Ultrasound Imaging and Histopathological Correlations.二乙基亚硝胺诱导的高帽高蔗糖饮食小鼠肝肿瘤发生:逐步高分辨率超声成像与组织病理学相关性研究。
Methods Mol Biol. 2024;2769:27-55. doi: 10.1007/978-1-0716-3694-7_3.
5
Aerobic Exercise Training Improves Microvascular Function and Oxidative Stress Parameters in Diet-Induced Type 2 Diabetic Mice.有氧运动训练可改善饮食诱导的2型糖尿病小鼠的微血管功能和氧化应激参数。
Diabetes Metab Syndr Obes. 2022 Sep 28;15:2991-3005. doi: 10.2147/DMSO.S365496. eCollection 2022.
6
Ultrasound biomicroscopy for the assessment of early-stage nonalcoholic fatty liver disease induced in rats by a high-fat diet.超声生物显微镜用于评估高脂饮食诱导的大鼠早期非酒精性脂肪性肝病
Ultrasonography. 2022 Oct;41(4):750-760. doi: 10.14366/usg.21182. Epub 2022 Mar 24.
7
Amelioration of aflatoxin acute hepatitis rat model by bone marrow mesenchymal stem cells and their hepatogenic differentiation.骨髓间充质干细胞对黄曲霉毒素急性肝炎大鼠模型的改善作用及其向肝细胞的分化
Vet World. 2022 May;15(5):1347-1364. doi: 10.14202/vetworld.2022.1347-1364. Epub 2022 May 27.
8
Liver scaffolds obtained by decellularization: A transplant perspective in liver bioengineering.通过去细胞化获得的肝脏支架:肝脏生物工程中的移植前景。
J Tissue Eng. 2022 Jun 20;13:20417314221105305. doi: 10.1177/20417314221105305. eCollection 2022 Jan-Dec.
9
Blueberry Counteracts Prediabetes in a Hypercaloric Diet-Induced Rat Model and Rescues Hepatic Mitochondrial Bioenergetics.蓝莓可逆转高热量饮食诱导的大鼠模型的糖尿病前期,并挽救肝脏线粒体生物能量学。
Nutrients. 2021 Nov 23;13(12):4192. doi: 10.3390/nu13124192.
10
Assessment of hepatic function, perfusion and parenchyma attenuation with indocyanine green, ultrasound and computed tomography in a healthy rat model: Preliminary determination of baseline parameters in a healthy liver.应用吲哚菁绿、超声和计算机断层扫描评估健康大鼠模型的肝功能、灌注和实质衰减:健康肝脏基础参数的初步测定。
PLoS One. 2021 Dec 17;16(12):e0261447. doi: 10.1371/journal.pone.0261447. eCollection 2021.
BMC Gastroenterol. 2009 Feb 5;9:11. doi: 10.1186/1471-230X-9-11.
4
Ascites is a negative prognostic indicator in chronic hepatitis in dogs.腹水是犬慢性肝炎的一个负面预后指标。
J Vet Intern Med. 2009 Jan-Feb;23(1):63-6. doi: 10.1111/j.1939-1676.2008.0230.x.
5
An ultrasound and histomorphological analysis of experimental liver cirrhosis in rats.
Braz J Med Biol Res. 2008 Nov;41(11):992-9. doi: 10.1590/s0100-879x2008001100008.
6
Bone marrow cell transplant does not prevent or reverse murine liver cirrhosis.骨髓细胞移植不能预防或逆转小鼠肝硬化。
Cell Transplant. 2008;17(8):943-53. doi: 10.3727/096368908786576453.
7
A rodent model of NASH with cirrhosis, oval cell proliferation and hepatocellular carcinoma.一种伴有肝硬化、卵圆细胞增殖和肝细胞癌的非酒精性脂肪性肝炎啮齿动物模型。
J Hepatol. 2008 Dec;49(6):1055-61. doi: 10.1016/j.jhep.2008.07.024. Epub 2008 Sep 24.
8
Resveratrol inhibits nonalcoholic fatty liver disease in rats.白藜芦醇可抑制大鼠非酒精性脂肪性肝病。
BMC Gastroenterol. 2008 Sep 9;8:40. doi: 10.1186/1471-230X-8-40.
9
Qualitative and quantitative comparison of renal vs. hepatic ultrasonographic intensity in healthy dogs.健康犬肾与肝超声强度的定性和定量比较。
Vet Radiol Ultrasound. 2008 Jul-Aug;49(4):368-73. doi: 10.1111/j.1740-8261.2008.00383.x.
10
Induced hepatic fibrosis in rats: hepatic steatosis, macromolecule content, perfusion parameters, and their correlations--preliminary MR imaging in rats.大鼠诱导性肝纤维化:肝脂肪变性、大分子含量、灌注参数及其相关性——大鼠的初步磁共振成像
Radiology. 2008 Jun;247(3):696-705. doi: 10.1148/radiol.2473070605. Epub 2008 Apr 10.