Suppr超能文献

用于细菌生长的随机效应乘法异方差模型。

A random effect multiplicative heteroscedastic model for bacterial growth.

机构信息

Department of Mathematics, University of A Coruña, School of Computer Science, Campus de Elviña, s/n, 15071 A Coruña, Spain.

出版信息

BMC Bioinformatics. 2010 Feb 8;11:77. doi: 10.1186/1471-2105-11-77.

Abstract

BACKGROUND

Predictive microbiology develops mathematical models that can predict the growth rate of a microorganism population under a set of environmental conditions. Many primary growth models have been proposed. However, when primary models are applied to bacterial growth curves, the biological variability is reduced to a single curve defined by some kinetic parameters (lag time and growth rate), and sometimes the models give poor fits in some regions of the curve. The development of a prediction band (from a set of bacterial growth curves) using non-parametric and bootstrap methods permits to overcome that problem and include the biological variability of the microorganism into the modelling process.

RESULTS

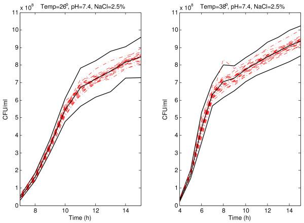
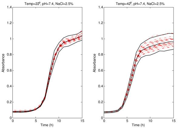
Absorbance data from Listeria monocytogenes cultured at 22, 26, 38, and 42 degrees C were selected under different environmental conditions of pH (4.5, 5.5, 6.5, and 7.4) and percentage of NaCl (2.5, 3.5, 4.5, and 5.5). Transformation of absorbance data to viable count data was carried out. A random effect multiplicative heteroscedastic model was considered to explain the dynamics of bacterial growth. The concept of a prediction band for microbial growth is proposed. The bootstrap method was used to obtain resamples from this model. An iterative procedure is proposed to overcome the computer intensive task of calculating simultaneous prediction intervals, along time, for bacterial growth. The bands were narrower below the inflection point (0-8 h at 22 degrees C, and 0-5.5 h at 42 degrees C), and wider to the right of it (from 9 h onwards at 22 degrees C, and from 7 h onwards at 42 degrees C). A wider band was observed at 42 degrees C than at 22 degrees C when the curves reach their upper asymptote. Similar bands have been obtained for 26 and 38 degrees C.

CONCLUSIONS

The combination of nonparametric models and bootstrap techniques results in a good procedure to obtain reliable prediction bands in this context. Moreover, the new iterative algorithm proposed in this paper allows one to achieve exactly the prefixed coverage probability for the prediction band. The microbial growth bands reflect the influence of the different environmental conditions on the microorganism behaviour, helping in the interpretation of the biological meaning of the growth curves obtained experimentally.

摘要

背景

预测微生物学开发了数学模型,可以根据一组环境条件预测微生物种群的增长率。已经提出了许多主要的生长模型。然而,当主要模型应用于细菌生长曲线时,生物变异性被简化为由一些动力学参数(滞后时间和生长率)定义的单个曲线,并且有时模型在曲线的某些区域给出较差的拟合。使用非参数和引导方法开发预测带(从一组细菌生长曲线中)可以克服该问题,并将微生物的生物变异性纳入建模过程中。

结果

选择了在 22、26、38 和 42°C 下在不同环境条件下(pH 值为 4.5、5.5、6.5 和 7.4 以及 NaCl 百分比为 2.5、3.5、4.5 和 5.5)培养的单核细胞增生李斯特菌的吸光度数据。将吸光度数据转化为活菌数数据。考虑使用随机效应乘法异方差模型来解释细菌生长的动态。提出了微生物生长预测带的概念。使用引导方法从该模型中获得重采样。提出了一种迭代过程来克服计算细菌生长随时间同时预测区间的计算机密集型任务。在拐点(22°C 下 0-8 小时,42°C 下 0-5.5 小时)以下,带更窄,在其右侧(22°C 下从 9 小时开始,42°C 下从 7 小时开始)更宽。当曲线达到上限时,在 42°C 下观察到比在 22°C 下更宽的带。在 26 和 38°C 下也获得了相似的带。

结论

非参数模型和引导技术的组合在此背景下产生了一种获得可靠预测带的良好方法。此外,本文提出的新迭代算法可以实现预测带的预设覆盖概率。微生物生长带反映了不同环境条件对微生物行为的影响,有助于解释从实验中获得的生长曲线的生物学意义。

https://cdn.ncbi.nlm.nih.gov/pmc/blobs/3c22/2829529/3bccaa977f68/1471-2105-11-77-1.jpg

相似文献

1
A random effect multiplicative heteroscedastic model for bacterial growth.
BMC Bioinformatics. 2010 Feb 8;11:77. doi: 10.1186/1471-2105-11-77.
2
Effect of environmental parameters (temperature, pH and a(w)) on the individual cell lag phase and generation time of Listeria monocytogenes.
Int J Food Microbiol. 2006 May 1;108(3):326-35. doi: 10.1016/j.ijfoodmicro.2005.11.017. Epub 2006 Feb 20.
4
Quantifying strain variability in modeling growth of Listeria monocytogenes.
Int J Food Microbiol. 2015 Sep 2;208:19-29. doi: 10.1016/j.ijfoodmicro.2015.05.006. Epub 2015 May 12.
7
Modelling the effect of lactic acid bacteria from starter- and aroma culture on growth of Listeria monocytogenes in cottage cheese.
Int J Food Microbiol. 2014 Oct 1;188:15-25. doi: 10.1016/j.ijfoodmicro.2014.07.012. Epub 2014 Jul 21.
8
Bi-phasic growth of Listeria monocytogenes in chemically defined medium at low temperatures.
Int J Food Microbiol. 2014 Sep 1;186:110-9. doi: 10.1016/j.ijfoodmicro.2014.06.021. Epub 2014 Jun 27.
9
A quasi-chemical model for the growth and death of microorganisms in foods by non-thermal and high-pressure processing.
Int J Food Microbiol. 2005 Apr 15;100(1-3):21-32. doi: 10.1016/j.ijfoodmicro.2004.10.005. Epub 2004 Dec 8.

引用本文的文献

3
A Bayesian non-parametric mixed-effects model of microbial growth curves.
PLoS Comput Biol. 2020 Oct 26;16(10):e1008366. doi: 10.1371/journal.pcbi.1008366. eCollection 2020 Oct.
4
Detecting differential growth of microbial populations with Gaussian process regression.
Genome Res. 2017 Feb;27(2):320-333. doi: 10.1101/gr.210286.116. Epub 2016 Nov 18.
7
Toward a Systemic Understanding of Listeria monocytogenes Metabolism during Infection.
Front Microbiol. 2012 Feb 3;3:23. doi: 10.3389/fmicb.2012.00023. eCollection 2012.

本文引用的文献

5
Searching for new mathematical growth model approaches for Listeria monocytogenes.
J Food Sci. 2007 Jan;72(1):M016-25. doi: 10.1111/j.1750-3841.2006.00208.x.
6
Modeling the growth of Listeria monocytogenes based on a time to detect model in culture media and frankfurters.
Int J Food Microbiol. 2007 Feb 15;113(3):277-83. doi: 10.1016/j.ijfoodmicro.2006.08.011. Epub 2006 Nov 30.
8
Modeling of the bacterial growth curve.
Appl Environ Microbiol. 1990 Jun;56(6):1875-81. doi: 10.1128/aem.56.6.1875-1881.1990.
9
Towards a novel class of predictive microbial growth models.
Int J Food Microbiol. 2005 Apr 15;100(1-3):97-105. doi: 10.1016/j.ijfoodmicro.2004.10.007. Epub 2004 Dec 15.
10
Statistical evaluation of mathematical models for microbial growth.
Int J Food Microbiol. 2004 Nov 15;96(3):289-300. doi: 10.1016/j.ijfoodmicro.2004.03.026.

文献AI研究员

20分钟写一篇综述,助力文献阅读效率提升50倍。

立即体验

用中文搜PubMed

大模型驱动的PubMed中文搜索引擎

马上搜索

文档翻译

学术文献翻译模型,支持多种主流文档格式。

立即体验