• 文献检索
  • 文档翻译
  • 深度研究
  • 学术资讯
  • Suppr Zotero 插件Zotero 插件
  • 邀请有礼
  • 套餐&价格
  • 历史记录
应用&插件
Suppr Zotero 插件Zotero 插件浏览器插件Mac 客户端Windows 客户端微信小程序
定价
高级版会员购买积分包购买API积分包
服务
文献检索文档翻译深度研究API 文档MCP 服务
关于我们
关于 Suppr公司介绍联系我们用户协议隐私条款
关注我们

Suppr 超能文献

核心技术专利:CN118964589B侵权必究
粤ICP备2023148730 号-1Suppr @ 2026

文献检索

告别复杂PubMed语法,用中文像聊天一样搜索,搜遍4000万医学文献。AI智能推荐,让科研检索更轻松。

立即免费搜索

文件翻译

保留排版,准确专业,支持PDF/Word/PPT等文件格式,支持 12+语言互译。

免费翻译文档

深度研究

AI帮你快速写综述,25分钟生成高质量综述,智能提取关键信息,辅助科研写作。

立即免费体验

蜻蜓寄生螨的流行率和强度的年际变化与蜻蜓的抗性表现有关。

Inter-annual variation in prevalence and intensity of mite parasitism relates to appearance and expression of damselfly resistance.

机构信息

Department of Biology, Carleton University, Ottawa, Canada.

出版信息

BMC Ecol. 2010 Feb 14;10:5. doi: 10.1186/1472-6785-10-5.

DOI:10.1186/1472-6785-10-5
PMID:20152057
原文链接:https://pmc.ncbi.nlm.nih.gov/articles/PMC2829476/
Abstract

BACKGROUND

Insects can resist parasites using the costly process of melanotic encapsulation. This form of physiological resistance has been studied under laboratory conditions, but the abiotic and biotic factors affecting resistance in natural insect populations are not well understood. Mite parasitism of damselflies was studied in a temperate damselfly population over seven seasons to determine if melanotic encapsulation of mite feeding tubes was related to degree of parasitism, host sex, host size, emergence timing, duration of the emergence period, and average daily air temperature.

RESULTS

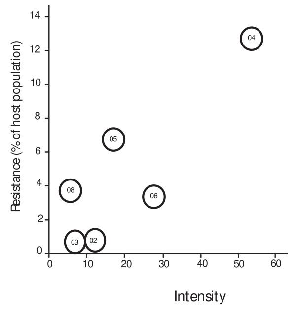
Although parasite prevalence in newly emerged damselflies was > 77% each year, hosts did not resist mites in the early years of study. Resistance began the year that there was a dramatic increase in the number of mites on newly emerged damselflies. Resistance continued to be correlated with mite prevalence and intensity throughout the seven-year study. However, the percentage of hosts resisting only ranged from 0-13% among years and resistance was not sex-biased and was not correlated with host size. Resistance also was not correlated with air temperature or with timing or duration of damselfly emergence.

CONCLUSIONS

Resistance in host damselflies was weakly and variably expressed over the study period. Factors such as temperature, which have been identified in laboratory studies as contributing to resistance by similar hosts, can be irrelevant in natural populations. This lack of temperature effect may be due to the narrow range in temperatures observed at host emergence among years. Degree of mite parasitism predicted both the appearance and continued expression of resistance among parasitized damselflies.

摘要

背景

昆虫可以通过代价高昂的黑色素包裹过程来抵抗寄生虫。这种形式的生理抗性已经在实验室条件下进行了研究,但在自然昆虫种群中影响抗性的非生物和生物因素还不是很清楚。在七个季节中,对温带蜻蜓种群中的螨虫寄生进行了研究,以确定黑色素包裹螨虫取食管是否与寄生程度、宿主性别、宿主大小、羽化时间、羽化期持续时间和平均日气温有关。

结果

尽管每年新羽化的蜻蜓寄生虫的患病率都超过 77%,但在研究的早期,宿主并没有抵抗螨虫。抵抗始于当年新羽化的蜻蜓上螨虫数量急剧增加的那一年。在七年的研究中,抗性一直与螨虫的流行程度和强度相关。然而,抵抗的宿主百分比在不同年份之间仅在 0-13%之间波动,且这种抵抗没有表现出性别偏向,也与宿主大小无关。抗性也与空气温度或蜻蜓羽化的时间或持续时间无关。

结论

在研究期间,宿主蜻蜓的抗性表现较弱且不稳定。在类似的宿主的实验室研究中确定的温度等因素在自然种群中可能并不相关。这种缺乏温度影响的现象可能是由于每年宿主羽化时观察到的温度范围较窄所致。螨虫寄生程度预测了受寄生的蜻蜓中抗性的出现和持续表达。

https://cdn.ncbi.nlm.nih.gov/pmc/blobs/33de/2829476/b45ac6260ae7/1472-6785-10-5-4.jpg
https://cdn.ncbi.nlm.nih.gov/pmc/blobs/33de/2829476/fe0401c8ab32/1472-6785-10-5-1.jpg
https://cdn.ncbi.nlm.nih.gov/pmc/blobs/33de/2829476/6828fe135f60/1472-6785-10-5-2.jpg
https://cdn.ncbi.nlm.nih.gov/pmc/blobs/33de/2829476/6cfa344b93cc/1472-6785-10-5-3.jpg
https://cdn.ncbi.nlm.nih.gov/pmc/blobs/33de/2829476/b45ac6260ae7/1472-6785-10-5-4.jpg
https://cdn.ncbi.nlm.nih.gov/pmc/blobs/33de/2829476/fe0401c8ab32/1472-6785-10-5-1.jpg
https://cdn.ncbi.nlm.nih.gov/pmc/blobs/33de/2829476/6828fe135f60/1472-6785-10-5-2.jpg
https://cdn.ncbi.nlm.nih.gov/pmc/blobs/33de/2829476/6cfa344b93cc/1472-6785-10-5-3.jpg
https://cdn.ncbi.nlm.nih.gov/pmc/blobs/33de/2829476/b45ac6260ae7/1472-6785-10-5-4.jpg

相似文献

1
Inter-annual variation in prevalence and intensity of mite parasitism relates to appearance and expression of damselfly resistance.蜻蜓寄生螨的流行率和强度的年际变化与蜻蜓的抗性表现有关。
BMC Ecol. 2010 Feb 14;10:5. doi: 10.1186/1472-6785-10-5.
2
Sexual and developmental variations of ecto-parasitism in damselflies.蜻蜓外寄生的性和发育差异。
PLoS One. 2022 Jul 8;17(7):e0261540. doi: 10.1371/journal.pone.0261540. eCollection 2022.
3
Differential water mite parasitism, phenoloxidase activity, and resistance to mites are unrelated across pairs of related damselfly species.在相关的豆娘物种对中,不同的水螨寄生情况、酚氧化酶活性和对螨的抗性并无关联。
PLoS One. 2015 Feb 6;10(2):e0115539. doi: 10.1371/journal.pone.0115539. eCollection 2015.
4
Grooming decisions by damselflies, age-specific colonisation by water mites, and the probability of successful parasitism.
Int J Parasitol. 1999 Mar;29(3):397-402. doi: 10.1016/s0020-7519(98)00223-9.
5
Relative geographic range of sibling species of host damselflies does not reliably predict differential parasitism by water mites.宿主豆娘种内姊妹种的相对地理分布范围不能可靠地预测其被水滴型寄生螨寄生的差异。
BMC Ecol. 2013 Dec 18;13:50. doi: 10.1186/1472-6785-13-50.
6
Resistance to Arrenurus spp. Parasitism in Odonates: Patterns Across Species and Comparisons Between a Resistant and Susceptible Host.蜻蜓目昆虫对阿氏螨属寄生虫的抗性:跨物种模式及抗性与敏感宿主之间的比较
J Insect Sci. 2016 Apr 11;16(1). doi: 10.1093/jisesa/iew022. Print 2016.
7
Success of ectoparasites: how important is timing of host contact?外寄生虫的成功:宿主接触时间有多重要?
Biol Lett. 2005 Jun 22;1(2):118-20. doi: 10.1098/rsbl.2004.0271.
8
Parasitism and survival in a damselfly: does host sex matter?豆娘的寄生与生存:寄主性别重要吗?
Proc Biol Sci. 2001 Jun 7;268(1472):1133-7. doi: 10.1098/rspb.2001.1641.
9
Seasonality of gregarine parasitism in the damselfly, Nehalennia irene: understanding unimodal patterns.豆娘中砂壳纤毛虫寄生的季节性:理解单峰模式。
Parasitol Res. 2012 Jan;110(1):245-50. doi: 10.1007/s00436-011-2478-1. Epub 2011 Jun 2.
10
New records of host-parasite relationships between Coenagrion scitulum (Rambur, 1842) (Odonata) and water mite larvae (Hydrachnidia) in core and edge host populations.核心宿主种群和边缘宿主种群中,细纹扇蟌(Coenagrion scitulum,兰布尔,1842年)(蜻蜓目)与水螨幼虫(水螨亚目)之间宿主-寄生虫关系的新记录。
Acta Parasitol. 2017 Mar 1;62(1):38-45. doi: 10.1515/ap-2017-0004.

引用本文的文献

1
The Diversity of Arachnid Assemblages on the Endemic Tree (Ulmaceae): An Evaluation of Fragmentation and Connectivity in Crete (Greece).特有树种(榆科)上蛛形纲动物群落的多样性:对希腊克里特岛破碎化和连通性的评估
Insects. 2024 Oct 10;15(10):788. doi: 10.3390/insects15100788.
2
Resistance to Arrenurus spp. Parasitism in Odonates: Patterns Across Species and Comparisons Between a Resistant and Susceptible Host.蜻蜓目昆虫对阿氏螨属寄生虫的抗性:跨物种模式及抗性与敏感宿主之间的比较
J Insect Sci. 2016 Apr 11;16(1). doi: 10.1093/jisesa/iew022. Print 2016.
3
Differential water mite parasitism, phenoloxidase activity, and resistance to mites are unrelated across pairs of related damselfly species.

本文引用的文献

1
CROSS-RESISTANCE FOLLOWING ARTIFICIAL SELECTION FOR INCREASED DEFENSE AGAINST PARASITOIDS IN DROSOPHILA MELANOGASTER.黑腹果蝇针对寄生蜂防御能力增强进行人工选择后的交叉抗性
Evolution. 1999 Jun;53(3):966-972. doi: 10.1111/j.1558-5646.1999.tb05391.x.
2
ASSOCIATION BETWEEN FEEDING RATE AND PARASITOID RESISTANCE IN DROSOPHILA MELANOGASTER.黑腹果蝇的摄食率与寄生抗性之间的关联
Evolution. 1999 Aug;53(4):1302-1305. doi: 10.1111/j.1558-5646.1999.tb04544.x.
3
HOST EXPLOITATION OF TWO CLOSELY RELATED WATER MITES.宿主对两种近缘水螨的利用
在相关的豆娘物种对中,不同的水螨寄生情况、酚氧化酶活性和对螨的抗性并无关联。
PLoS One. 2015 Feb 6;10(2):e0115539. doi: 10.1371/journal.pone.0115539. eCollection 2015.
4
A Microtus fortis protein, serum albumin, is a novel inhibitor of Schistosoma japonicum schistosomula.一种东方田鼠蛋白,血清白蛋白,是日本血吸虫童虫的新型抑制剂。
Mem Inst Oswaldo Cruz. 2013 Nov;108(7):865-72. doi: 10.1590/0074-0276130659.
5
The sicker sex: understanding male biases in parasitic infection, resource allocation and fitness.患病的性别:理解男性在寄生虫感染、资源分配和适应性方面的偏差
PLoS One. 2013 Oct 23;8(10):e76246. doi: 10.1371/journal.pone.0076246. eCollection 2013.
6
Maintenance of polymorphic females: do parasites play a role?多态性雌性维持:寄生虫是否起作用?
Oecologia. 2013 Jan;171(1):105-13. doi: 10.1007/s00442-012-2388-7. Epub 2012 Jun 19.
Evolution. 1967 Mar;21(1):59-75. doi: 10.1111/j.1558-5646.1967.tb00130.x.
4
Condition and fecundity of the damselfly, Enallagma ebrium (Hagen): the importance of ectoparasites.黑纹尾蟌(Enallagma ebrium (Hagen))的状况与繁殖力:体外寄生虫的重要性
Oecologia. 1991 May;86(3):335-341. doi: 10.1007/BF00317598.
5
Genetics of host-parasite interactions.宿主-寄生虫相互作用的遗传学。
Trends Ecol Evol. 1997 May;12(5):196-200. doi: 10.1016/s0169-5347(97)01056-2.
6
Ecological immunology: costly parasite defences and trade-offs in evolutionary ecology.生态免疫学:进化生态学中的代价高昂的寄生虫防御和权衡。
Trends Ecol Evol. 1996 Aug;11(8):317-21. doi: 10.1016/0169-5347(96)10039-2.
7
Within and between population variation in disease resistance in cyclic populations of western tent caterpillars: a test of the disease defence hypothesis.西部天幕毛虫周期性种群中抗病性的种群内和种群间变异:疾病防御假说的检验
J Anim Ecol. 2009 May;78(3):646-55. doi: 10.1111/j.1365-2656.2008.01519.x.
8
Decomposing health: tolerance and resistance to parasites in animals.剖析健康:动物对寄生虫的耐受性与抵抗力
Philos Trans R Soc Lond B Biol Sci. 2009 Jan 12;364(1513):37-49. doi: 10.1098/rstb.2008.0184.
9
Experimental evolution shows Drosophila melanogaster resistance to a microsporidian pathogen has fitness costs.实验进化表明,黑腹果蝇对一种微孢子虫病原体的抗性具有适应性代价。
Evolution. 2009 Jan;63(1):104-14. doi: 10.1111/j.1558-5646.2008.00516.x. Epub 2008 Sep 11.
10
Immune defense and host life history.免疫防御与宿主生活史
Am Nat. 2002 Oct;160 Suppl 4:S9-S22. doi: 10.1086/342131.