Suppr超能文献

液泡型 ATP 酶通过调节板层体钙来调节大鼠肺泡 II 型细胞表面活性剂的分泌。

Vacuolar ATPase regulates surfactant secretion in rat alveolar type II cells by modulating lamellar body calcium.

机构信息

Lundberg-Kienlen Lung Biology and Toxicology Laboratory, Department of Physiological Sciences, Oklahoma State University, Stillwater, Oklahoma, United States of America.

出版信息

PLoS One. 2010 Feb 16;5(2):e9228. doi: 10.1371/journal.pone.0009228.

Abstract

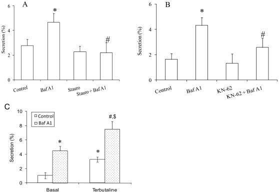
Lung surfactant reduces surface tension and maintains the stability of alveoli. How surfactant is released from alveolar epithelial type II cells is not fully understood. Vacuolar ATPase (V-ATPase) is the enzyme responsible for pumping H(+) into lamellar bodies and is required for the processing of surfactant proteins and the packaging of surfactant lipids. However, its role in lung surfactant secretion is unknown. Proteomic analysis revealed that vacuolar ATPase (V-ATPase) dominated the alveolar type II cell lipid raft proteome. Western blotting confirmed the association of V-ATPase a1 and B1/2 subunits with lipid rafts and their enrichment in lamellar bodies. The dissipation of lamellar body pH gradient by Bafilomycin A1 (Baf A1), an inhibitor of V-ATPase, increased surfactant secretion. Baf A1-stimulated secretion was blocked by the intracellular Ca(2+) chelator, BAPTA-AM, the protein kinase C (PKC) inhibitor, staurosporine, and the Ca(2+)/calmodulin-dependent protein kinase II (CaMKII), KN-62. Baf A1 induced Ca(2+) release from isolated lamellar bodies. Thapsigargin reduced the Baf A1-induced secretion, indicating cross-talk between lamellar body and endoplasmic reticulum Ca(2+) pools. Stimulation of type II cells with surfactant secretagogues dissipated the pH gradient across lamellar bodies and disassembled the V-ATPase complex, indicating the physiological relevance of the V-ATPase-mediated surfactant secretion. Finally, silencing of V-ATPase a1 and B2 subunits decreased stimulated surfactant secretion, indicating that these subunits were crucial for surfactant secretion. We conclude that V-ATPase regulates surfactant secretion via an increased Ca(2+) mobilization from lamellar bodies and endoplasmic reticulum, and the activation of PKC and CaMKII. Our finding revealed a previously unrealized role of V-ATPase in surfactant secretion.

摘要

肺表面活性剂降低表面张力并维持肺泡的稳定性。肺泡上皮细胞 II 型细胞中表面活性剂如何释放尚不完全清楚。液泡型 ATP 酶(V-ATPase)是将 H(+)泵入板层小体的酶,对于表面活性蛋白的加工和表面活性脂质的包装是必需的。然而,其在肺表面活性剂分泌中的作用尚不清楚。蛋白质组学分析显示,液泡型 ATP 酶(V-ATPase)在肺泡 II 型细胞脂筏蛋白质组中占主导地位。Western blot 证实了 V-ATPase a1 和 B1/2 亚基与脂筏的结合及其在板层小体中的富集。V-ATPase 抑制剂巴弗洛霉素 A1(Baf A1)耗散板层小体 pH 梯度会增加表面活性剂的分泌。Baf A1 刺激的分泌被细胞内 Ca(2+)螯合剂 BAPTA-AM、蛋白激酶 C(PKC)抑制剂 staurosporine 和 Ca(2+)/钙调蛋白依赖性蛋白激酶 II(CaMKII)、KN-62 阻断。Baf A1 诱导分离的板层小体释放 Ca(2+)。他莫昔芬减少了 Baf A1 诱导的分泌,表明板层小体和内质网 Ca(2+)库之间存在串扰。表面活性剂分泌刺激物刺激 II 型细胞耗散板层小体的 pH 梯度并使 V-ATPase 复合物解体,表明 V-ATPase 介导的表面活性剂分泌具有生理相关性。最后,沉默 V-ATPase a1 和 B2 亚基降低了刺激的表面活性剂分泌,表明这些亚基对表面活性剂分泌至关重要。我们得出结论,V-ATPase 通过增加从板层小体和内质网释放的 Ca(2+)来调节表面活性剂分泌,并激活 PKC 和 CaMKII。我们的发现揭示了 V-ATPase 在表面活性剂分泌中以前未被认识到的作用。

https://cdn.ncbi.nlm.nih.gov/pmc/blobs/3fbd/2821907/c80fc711bfd3/pone.0009228.g001.jpg

文献检索

告别复杂PubMed语法,用中文像聊天一样搜索,搜遍4000万医学文献。AI智能推荐,让科研检索更轻松。

立即免费搜索

文件翻译

保留排版,准确专业,支持PDF/Word/PPT等文件格式,支持 12+语言互译。

免费翻译文档

深度研究

AI帮你快速写综述,25分钟生成高质量综述,智能提取关键信息,辅助科研写作。

立即免费体验