• 文献检索
  • 文档翻译
  • 深度研究
  • 学术资讯
  • Suppr Zotero 插件Zotero 插件
  • 邀请有礼
  • 套餐&价格
  • 历史记录
应用&插件
Suppr Zotero 插件Zotero 插件浏览器插件Mac 客户端Windows 客户端微信小程序
定价
高级版会员购买积分包购买API积分包
服务
文献检索文档翻译深度研究API 文档MCP 服务
关于我们
关于 Suppr公司介绍联系我们用户协议隐私条款
关注我们

Suppr 超能文献

核心技术专利:CN118964589B侵权必究
粤ICP备2023148730 号-1Suppr @ 2026

文献检索

告别复杂PubMed语法,用中文像聊天一样搜索,搜遍4000万医学文献。AI智能推荐,让科研检索更轻松。

立即免费搜索

文件翻译

保留排版,准确专业,支持PDF/Word/PPT等文件格式,支持 12+语言互译。

免费翻译文档

深度研究

AI帮你快速写综述,25分钟生成高质量综述,智能提取关键信息,辅助科研写作。

立即免费体验

一氧化氮合酶通过细胞因子调节调控 CFA 诱导的热痛觉过敏反应。

Nitric oxide synthase modulates CFA-induced thermal hyperalgesia through cytokine regulation in mice.

机构信息

Department of Neurology, University of Würzburg, Josef-Schneider-Str 11, 97080 Würzburg, Germany.

出版信息

Mol Pain. 2010 Mar 2;6:13. doi: 10.1186/1744-8069-6-13.

DOI:10.1186/1744-8069-6-13
PMID:20193086
原文链接:https://pmc.ncbi.nlm.nih.gov/articles/PMC2838835/
Abstract

BACKGROUND

Although it has been largely demonstrated that nitric oxide synthase (NOS), a key enzyme for nitric oxide (NO) production, modulates inflammatory pain, the molecular mechanisms underlying these effects remain to be clarified. Here we asked whether cytokines, which have well-described roles in inflammatory pain, are downstream targets of NO in inflammatory pain and which of the isoforms of NOS are involved in this process.

RESULTS

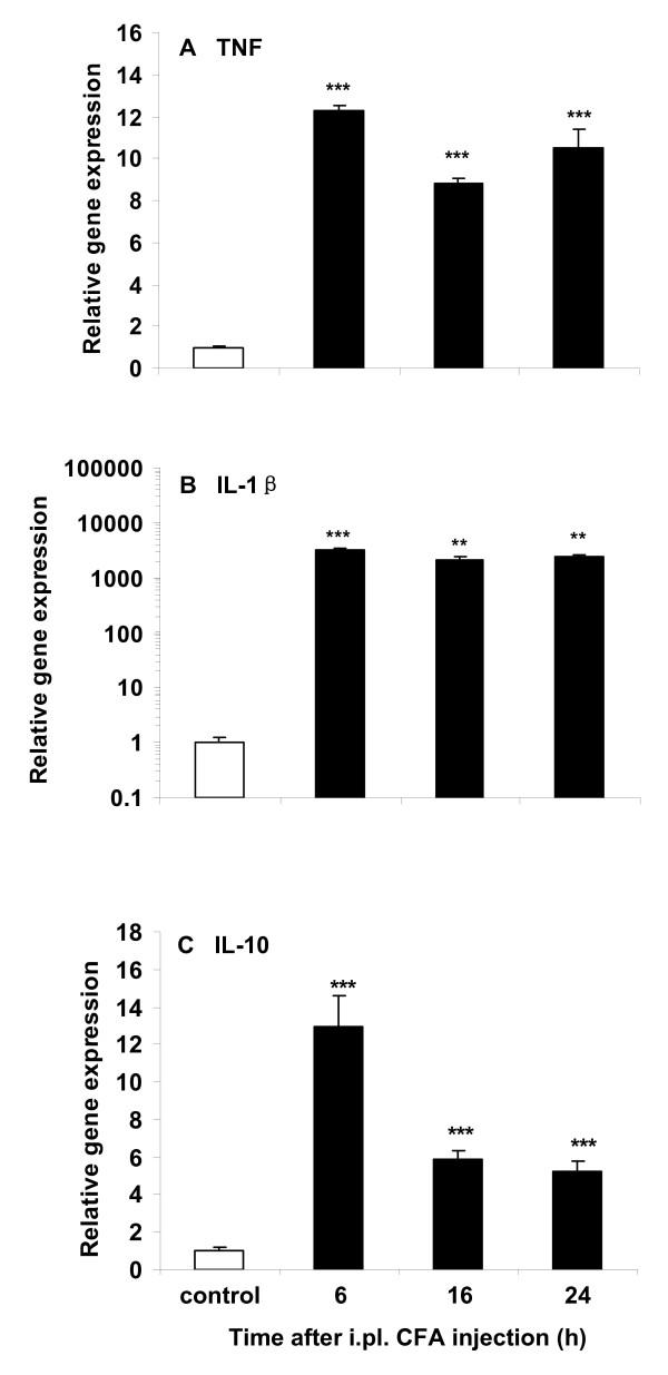
Intraperitoneal (i.p.) pretreatment with 7-nitroindazole sodium salt (7-NINA, a selective neuronal NOS inhibitor), aminoguanidine hydrochloride (AG, a selective inducible NOS inhibitor), L-N(G)-nitroarginine methyl ester (L-NAME, a non-selective NOS inhibitor), but not L-N(5)-(1-iminoethyl)-ornithine (L-NIO, a selective endothelial NOS inhibitor), significantly attenuated thermal hyperalgesia induced by intraplantar (i.pl.) injection of complete Freund's adjuvant (CFA). Real-time reverse transcription-polymerase chain reaction (RT-PCR) revealed a significant increase of nNOS, iNOS, and eNOS gene expression, as well as tumor necrosis factor-alpha (TNF), interleukin-1 beta (IL-1beta), and interleukin-10 (IL-10) gene expression in plantar skin, following CFA. Pretreatment with the NOS inhibitors prevented the CFA-induced increase of the pro-inflammatory cytokines TNF and IL-1beta. The increase of the anti-inflammatory cytokine IL-10 was augmented in mice pretreated with 7-NINA or L-NAME, but reduced in mice receiving AG or L-NIO. NNOS-, iNOS- or eNOS-knockout (KO) mice had lower gene expression of TNF, IL-1beta, and IL-10 following CFA, overall corroborating the inhibitor data.

CONCLUSION

These findings lead us to propose that inhibition of NOS modulates inflammatory thermal hyperalgesia by regulating cytokine expression.

摘要

背景

尽管一氧化氮合酶(NOS)作为一氧化氮(NO)产生的关键酶,已被广泛证明可以调节炎症性疼痛,但这些作用的分子机制仍有待阐明。在这里,我们想知道细胞因子是否是炎症性疼痛中 NO 的下游靶点,以及 NOS 的哪种同工酶参与了这一过程。

结果

腹腔内(i.p.)预处理 7-硝基吲唑钠盐(7-NINA,一种选择性神经元 NOS 抑制剂)、盐酸氨基胍(AG,一种选择性诱导型 NOS 抑制剂)、L-N(G)-硝基精氨酸甲酯(L-NAME,一种非选择性 NOS 抑制剂),但不是 L-N(5)-(1-亚氨基乙基)-鸟氨酸(L-NIO,一种选择性内皮 NOS 抑制剂),显著减轻了完全弗氏佐剂(CFA)足底注射引起的热痛觉过敏。实时逆转录聚合酶链反应(RT-PCR)显示,CFA 后足底皮肤中 nNOS、iNOS 和 eNOS 基因表达以及肿瘤坏死因子-α(TNF)、白细胞介素-1β(IL-1β)和白细胞介素-10(IL-10)基因表达显著增加。NOS 抑制剂预处理可防止 CFA 诱导的促炎细胞因子 TNF 和 IL-1β增加。在接受 7-NINA 或 L-NAME 预处理的小鼠中,抗炎细胞因子 IL-10 的增加增强,但在接受 AG 或 L-NIO 预处理的小鼠中减少。NOS-NK、iNOS-NK 或 eNOS-KO(KO)小鼠在 CFA 后 TNF、IL-1β 和 IL-10 的基因表达降低,总体上与抑制剂数据一致。

结论

这些发现使我们提出抑制 NOS 通过调节细胞因子表达来调节炎症性热痛觉过敏。

https://cdn.ncbi.nlm.nih.gov/pmc/blobs/4cde/2838835/7841c6b158f8/1744-8069-6-13-5.jpg
https://cdn.ncbi.nlm.nih.gov/pmc/blobs/4cde/2838835/a2cc44c185cd/1744-8069-6-13-1.jpg
https://cdn.ncbi.nlm.nih.gov/pmc/blobs/4cde/2838835/58c84768b2a7/1744-8069-6-13-2.jpg
https://cdn.ncbi.nlm.nih.gov/pmc/blobs/4cde/2838835/ad9997de3a5c/1744-8069-6-13-3.jpg
https://cdn.ncbi.nlm.nih.gov/pmc/blobs/4cde/2838835/0292f7ae17c3/1744-8069-6-13-4.jpg
https://cdn.ncbi.nlm.nih.gov/pmc/blobs/4cde/2838835/7841c6b158f8/1744-8069-6-13-5.jpg
https://cdn.ncbi.nlm.nih.gov/pmc/blobs/4cde/2838835/a2cc44c185cd/1744-8069-6-13-1.jpg
https://cdn.ncbi.nlm.nih.gov/pmc/blobs/4cde/2838835/58c84768b2a7/1744-8069-6-13-2.jpg
https://cdn.ncbi.nlm.nih.gov/pmc/blobs/4cde/2838835/ad9997de3a5c/1744-8069-6-13-3.jpg
https://cdn.ncbi.nlm.nih.gov/pmc/blobs/4cde/2838835/0292f7ae17c3/1744-8069-6-13-4.jpg
https://cdn.ncbi.nlm.nih.gov/pmc/blobs/4cde/2838835/7841c6b158f8/1744-8069-6-13-5.jpg

相似文献

1
Nitric oxide synthase modulates CFA-induced thermal hyperalgesia through cytokine regulation in mice.一氧化氮合酶通过细胞因子调节调控 CFA 诱导的热痛觉过敏反应。
Mol Pain. 2010 Mar 2;6:13. doi: 10.1186/1744-8069-6-13.
2
Differences in inflammatory pain in nNOS-, iNOS- and eNOS-deficient mice.神经元型一氧化氮合酶、诱导型一氧化氮合酶和内皮型一氧化氮合酶缺陷小鼠的炎性疼痛差异。
Eur J Pain. 2007 Oct;11(7):810-8. doi: 10.1016/j.ejpain.2006.12.008. Epub 2007 Mar 28.
3
Contribution of nitric oxide synthase isoforms to cholinergic vasodilation in murine retinal arterioles.一氧化氮合酶同工酶对小鼠视网膜小动脉胆碱能血管舒张的作用。
Exp Eye Res. 2013 Apr;109:60-6. doi: 10.1016/j.exer.2013.01.012. Epub 2013 Feb 19.
4
Effect of genetic knockout or pharmacologic inhibition of neuronal nitric oxide synthase on complete Freund's adjuvant-induced persistent pain.神经元型一氧化氮合酶基因敲除或药理抑制对完全弗氏佐剂诱导的持续性疼痛的影响。
Pain. 2005 Dec 15;119(1-3):113-123. doi: 10.1016/j.pain.2005.09.024. Epub 2005 Nov 16.
5
Intact carrageenan-induced thermal hyperalgesia in mice lacking inducible nitric oxide synthase.在缺乏诱导型一氧化氮合酶的小鼠中,角叉菜胶诱导的热痛觉过敏未受影响。
Neuroscience. 2003;120(3):847-54. doi: 10.1016/s0306-4522(03)00362-2.
6
Endothelial nitric oxide synthase is predominantly involved in angiotensin II modulation of renal vascular resistance and norepinephrine release.内皮型一氧化氮合酶主要参与血管紧张素 II 对肾血管阻力和去甲肾上腺素释放的调节。
Am J Physiol Regul Integr Comp Physiol. 2008 Feb;294(2):R421-8. doi: 10.1152/ajpregu.00481.2007. Epub 2007 Nov 28.
7
Modulation of the myogenic response in renal blood flow autoregulation by NO depends on endothelial nitric oxide synthase (eNOS), but not neuronal or inducible NOS.NO 对肾血流自身调节的肌源性反应的调节依赖于内皮型一氧化氮合酶(eNOS),而不依赖于神经元型或诱导型 NOS。
J Physiol. 2011 Oct 1;589(Pt 19):4731-44. doi: 10.1113/jphysiol.2011.215897. Epub 2011 Aug 8.
8
Involvement of neuronal, inducible and endothelial nitric oxide synthases in capsaicin-induced muscle hypersensitivity.神经元型、诱导型和内皮型一氧化氮合酶在辣椒素诱导的肌肉超敏反应中的作用。
Eur J Pain. 2009 Oct;13(9):924-8. doi: 10.1016/j.ejpain.2008.11.009. Epub 2008 Dec 11.
9
Differential roles of neuronal and endothelial nitric oxide synthases during carrageenan-induced inflammatory hyperalgesia.角叉菜胶诱导的炎性痛觉过敏过程中神经元型和内皮型一氧化氮合酶的不同作用
Neuroscience. 2004;128(2):421-30. doi: 10.1016/j.neuroscience.2004.06.038.
10
The effect of nitric oxide inhibition and temporal expression patterns of the mRNA and protein products of nitric oxide synthase genes during in vitro development of bovine pre-implantation embryos.一氧化氮抑制以及一氧化氮合酶基因的mRNA和蛋白质产物在牛植入前胚胎体外发育过程中的时间表达模式的影响。
Reprod Domest Anim. 2006 Dec;41(6):501-9. doi: 10.1111/j.1439-0531.2006.00701.x.

引用本文的文献

1
Theranostic nanoemulsions suppress macrophage-mediated acute inflammation in rats.诊疗纳米乳剂可抑制大鼠体内巨噬细胞介导的急性炎症。
J Nanobiotechnology. 2025 Feb 4;23(1):80. doi: 10.1186/s12951-025-03164-w.
2
Peripheral Ca2.2 channels in skin regulate prolonged heat hypersensitivity during neuroinflammation.皮肤中的外周Ca2.2通道在神经炎症期间调节长时间的热超敏反应。
bioRxiv. 2024 Jul 17:2024.07.13.603149. doi: 10.1101/2024.07.13.603149.
3
Platelet-derived biomaterial with hyaluronic acid alleviates temporal-mandibular joint osteoarthritis: clinical trial from dish to human.

本文引用的文献

1
Cytokine regulation in animal models of neuropathic pain and in human diseases.神经病理性疼痛动物模型及人类疾病中的细胞因子调节
Neurosci Lett. 2008 Jun 6;437(3):194-8. doi: 10.1016/j.neulet.2008.03.050. Epub 2008 Mar 22.
2
Inhibition of spinal constitutive NOS-2 by 1400W attenuates tissue injury and inflammation-induced hyperalgesia and spinal p38 activation.1400W对脊髓组成性一氧化氮合酶-2的抑制作用可减轻组织损伤、炎症诱导的痛觉过敏以及脊髓p38激活。
Eur J Neurosci. 2007 May;25(10):2964-72. doi: 10.1111/j.1460-9568.2007.05576.x.
3
Differences in inflammatory pain in nNOS-, iNOS- and eNOS-deficient mice.
富含透明质酸的血小板衍生生物材料可缓解颞下颌关节骨关节炎:从餐盘到人体的临床试验。
J Biomed Sci. 2023 Sep 11;30(1):77. doi: 10.1186/s12929-023-00962-y.
4
Transforming Growth Factor-β-Activated Kinase 1 (TAK1) Mediates Chronic Pain and Cytokine Production in Mouse Models of Inflammatory, Neuropathic, and Primary Pain.转化生长因子-β激活激酶 1(TAK1)在炎性、神经性和原发性疼痛的小鼠模型中介导慢性疼痛和细胞因子产生。
J Pain. 2023 Sep;24(9):1633-1644. doi: 10.1016/j.jpain.2023.04.011. Epub 2023 Apr 29.
5
GPR171 Agonist Reduces Chronic Neuropathic and Inflammatory Pain in Male, But Not Female Mice.GPR171激动剂可减轻雄性小鼠而非雌性小鼠的慢性神经性疼痛和炎性疼痛。
Front Pain Res (Lausanne). 2021 Sep 10;2:695396. doi: 10.3389/fpain.2021.695396. eCollection 2021.
6
Regulatory Role of Nitric Oxide in Cutaneous Inflammation.一氧化氮在皮肤炎症中的调控作用。
Inflammation. 2022 Jun;45(3):949-964. doi: 10.1007/s10753-021-01615-8. Epub 2022 Jan 30.
7
Roles of Phosphorylation of N-Methyl-D-Aspartate Receptor in Chronic Pain.N-甲基-D-天冬氨酸受体磷酸化在慢性疼痛中的作用
Cell Mol Neurobiol. 2023 Jan;43(1):155-175. doi: 10.1007/s10571-022-01188-6. Epub 2022 Jan 15.
8
The Involvement of l-Arginine-Nitric Oxide-cGMP-ATP-Sensitive K Channel Pathway in Antinociception of BBHC, a Novel Diarylpentanoid Analogue, in Mice Model.左旋精氨酸-一氧化氮-cGMP-ATP 敏感性钾通道途径参与新型二芳基戊烷类似物 BBHC 在小鼠模型中的抗伤害作用。
Molecules. 2021 Dec 8;26(24):7431. doi: 10.3390/molecules26247431.
9
Atorvastatin prevents the development of diabetic neuropathic nociception by possible involvement of nitrergic system.阿托伐他汀可能通过氮能系统参与预防糖尿病神经病理性痛觉过敏的发展。
J Appl Biomed. 2021 Mar;19(1):48-56. doi: 10.32725/jab.2021.006. Epub 2021 Feb 9.
10
Antihypernociceptive effects of Petersianthus macrocarpus stem bark on neuropathic pain induced by chronic constriction injury in rats.水锦树茎皮对慢性缩窄性损伤诱导的大鼠神经病理性疼痛的抗伤害作用。
Inflammopharmacology. 2021 Aug;29(4):1241-1253. doi: 10.1007/s10787-021-00821-y. Epub 2021 Jun 3.
神经元型一氧化氮合酶、诱导型一氧化氮合酶和内皮型一氧化氮合酶缺陷小鼠的炎性疼痛差异。
Eur J Pain. 2007 Oct;11(7):810-8. doi: 10.1016/j.ejpain.2006.12.008. Epub 2007 Mar 28.
4
Activation of the nociceptin opioid system in rat sensory neurons produces antinociceptive effects in inflammatory pain: involvement of inflammatory mediators.大鼠感觉神经元中痛敏肽阿片系统的激活在炎性疼痛中产生抗痛觉过敏作用:炎性介质的参与
J Neurosci Res. 2007 May 15;85(7):1478-88. doi: 10.1002/jnr.21272.
5
Interleukin-10 reduces hyperalgesia and the level of Interleukin-1beta in BALB/c mice infected with Leishmania major with no major effect on the level of Interleukin-6.白细胞介素-10可减轻感染硕大利什曼原虫的BALB/c小鼠的痛觉过敏,并降低白细胞介素-1β水平,而对白细胞介素-6水平无显著影响。
J Neuroimmunol. 2007 Feb;183(1-2):43-9. doi: 10.1016/j.jneuroim.2006.11.003. Epub 2006 Dec 20.
6
Intrathecal interleukin-10 gene therapy attenuates paclitaxel-induced mechanical allodynia and proinflammatory cytokine expression in dorsal root ganglia in rats.鞘内注射白细胞介素-10基因疗法可减轻紫杉醇诱导的大鼠背根神经节机械性异常性疼痛和促炎细胞因子表达。
Brain Behav Immun. 2007 Jul;21(5):686-98. doi: 10.1016/j.bbi.2006.10.012. Epub 2006 Dec 15.
7
Intracellular HIV-Tat expression induces IL-10 synthesis by the CREB-1 transcription factor through Ser133 phosphorylation and its regulation by the ERK1/2 MAPK in human monocytic cells.细胞内HIV-Tat表达通过Ser133磷酸化及细胞外调节蛋白激酶1/2(ERK1/2)丝裂原活化蛋白激酶(MAPK)对其的调控,诱导人单核细胞中的CREB-1转录因子合成白细胞介素-10。
J Biol Chem. 2006 Oct 20;281(42):31647-58. doi: 10.1074/jbc.M512109200. Epub 2006 Aug 18.
8
Hypernociceptive role of cytokines and chemokines: targets for analgesic drug development?细胞因子和趋化因子的痛觉过敏作用:镇痛药物开发的靶点?
Pharmacol Ther. 2006 Oct;112(1):116-38. doi: 10.1016/j.pharmthera.2006.04.001. Epub 2006 May 30.
9
T cell infiltration after chronic constriction injury of mouse sciatic nerve is associated with interleukin-17 expression.小鼠坐骨神经慢性压迫损伤后的T细胞浸润与白细胞介素-17表达有关。
Exp Neurol. 2006 Aug;200(2):480-5. doi: 10.1016/j.expneurol.2006.03.014. Epub 2006 May 3.
10
A nitric oxide signaling pathway controls CREB-mediated gene expression in neurons.一氧化氮信号通路控制神经元中CREB介导的基因表达。
Mol Cell. 2006 Jan 20;21(2):283-94. doi: 10.1016/j.molcel.2005.12.006.