Department of Otolaryngology-Head and Neck Surgery, Hospital Universitario Central de Asturias, Instituto Universitario de Oncología del Principado de Asturias, Universidad de Oviedo, Asturias, Spain.
Mol Cancer. 2010 Mar 2;9:48. doi: 10.1186/1476-4598-9-48.
Podoplanin expression is attracting interest as a marker for cancer diagnosis and prognosis. We therefore investigated the expression pattern and clinical significance of podoplanin during the development and progression of laryngeal carcinomas.
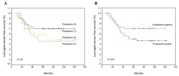
Podoplanin expression was determined by immunohistochemistry in paraffin-embedded tissue specimens from 84 patients with laryngeal premalignancies and 53 patients with laryngeal squamous cell carcinomas. We found podoplanin expression extending from the basal to the suprabasal layer of the epithelium in 37 (44%) of 84 dysplastic lesions, whereas normal epithelium showed negligible expression. Patients carrying podoplanin-positive lesions had a higher laryngeal cancer incidence than those with negative expression reaching borderline statistical significance (51% versus 30%, P = 0.071). Podoplanin expression in laryngeal carcinomas exhibited two distinct patterns. 20 (38%) cases showed diffuse expression in most tumour cells and 33 (62%) focal expression at the proliferating periphery of tumour nests. High podoplanin expression was inversely correlated with T classification (P = 0.033), disease stage (P = 0.006), and pathological grade (P = 0.04). There was a trend, although not significant, towards reduced disease-specific survival for patients with low podoplanin levels (P = 0.31) and diffuse expression pattern (P = 0.08).
Podoplanin expression increases in the early stages of laryngeal tumourigenesis and it seems to be associated with a higher laryngeal cancer risk. Podoplanin expression in laryngeal squamous cell carcinomas, however, diminishes during tumour progression. Taken together, these data support a role for podoplanin expression in the initiation but not in the progression of laryngeal cancers.
Podoplanin 的表达作为癌症诊断和预后的标志物引起了关注。因此,我们研究了 podoplanin 在喉癌发生和发展过程中的表达模式及其临床意义。
通过免疫组织化学法,在 84 例喉癌前病变和 53 例喉鳞状细胞癌患者的石蜡包埋组织标本中检测到 podoplanin 的表达。我们发现 37 例(44%)发育不良病变的上皮从基底层到超基底层均有 podoplanin 表达,而正常上皮几乎无表达。携带 podoplanin 阳性病变的患者发生喉癌的几率高于表达阴性的患者,但差异无统计学意义(51%对 30%,P=0.071)。喉癌中 podoplanin 的表达呈现两种截然不同的模式。20 例(38%)病例中大多数肿瘤细胞弥漫表达,33 例(62%)病例中肿瘤巢的增殖边缘局灶性表达。高 podoplanin 表达与 T 分类(P=0.033)、疾病分期(P=0.006)和病理分级(P=0.04)呈负相关。虽然无统计学意义,但 podoplanin 低水平和弥漫性表达的患者疾病特异性生存率有降低的趋势(P=0.31 和 P=0.08)。
Podoplanin 在喉肿瘤发生的早期表达增加,似乎与较高的喉癌风险相关。然而,在喉鳞状细胞癌中,podoplanin 的表达在肿瘤进展过程中减少。综上所述,这些数据支持 podoplanin 表达在喉癌发生而非进展中的作用。