Suppr超能文献

通过噬菌体展示技术发现具有独特催化结构域靶向人 CAIX 抗体的生物学特性。

Unique biological properties of catalytic domain directed human anti-CAIX antibodies discovered through phage-display technology.

机构信息

Department of Cancer Immunology and AIDS, Dana-Farber Cancer Institute, Harvard Medical School, Boston, Massachusetts, United States of America.

出版信息

PLoS One. 2010 Mar 10;5(3):e9625. doi: 10.1371/journal.pone.0009625.

Abstract

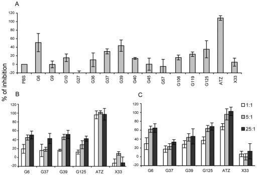
Carbonic anhydrase IX (CAIX, gene G250/MN-encoded transmembrane protein) is highly expressed in various human epithelial tumors such as renal clear cell carcinoma (RCC), but absent from the corresponding normal tissues. Besides the CA signal transduction activity, CAIX may serve as a biomarker in early stages of oncogenesis and also as a reliable marker of hypoxia, which is associated with tumor resistance to chemotherapy and radiotherapy. Although results from preclinical and clinical studies have shown CAIX as a promising target for detection and therapy for RCC, only a limited number of murine monoclonal antibodies (mAbs) and one humanized mAb are available for clinical testing and development. In this study, paramagnetic proteoliposomes of CAIX (CAIX-PMPLs) were constructed and used for anti-CAIX antibody selection from our 27 billion human single-chain antibody (scFv) phage display libraries. A panel of thirteen human scFvs that specifically recognize CAIX expressed on cell surface was identified, epitope mapped primarily to the CA domain, and affinity-binding constants (KD) determined. These human anti-CAIX mAbs are diverse in their functions including induction of surface CAIX internalization into endosomes and inhibition of the carbonic anhydrase activity, the latter being a unique feature that has not been previously reported for anti-CAIX antibodies. These human anti-CAIX antibodies are important reagents for development of new immunotherapies and diagnostic tools for RCC treatment as well as extending our knowledge on the basic structure-function relationships of the CAIX molecule.

摘要

碳酸酐酶 IX(CAIX,基因 G250/MN 编码的跨膜蛋白)在各种人类上皮肿瘤中高度表达,如肾透明细胞癌(RCC),但不存在于相应的正常组织中。除了 CA 信号转导活性外,CAIX 还可以作为癌发生早期的生物标志物,并且也是缺氧的可靠标志物,与肿瘤对化疗和放疗的耐药性有关。尽管临床前和临床研究的结果表明 CAIX 是检测和治疗 RCC 的有前途的靶标,但仅可用于临床测试和开发的有限数量的鼠单克隆抗体(mAbs)和一种人源化 mAb。在这项研究中,构建了 CAIX 的顺磁蛋白脂质体(CAIX-PMPLs),并用于从我们的 270 亿个人类单链抗体(scFv)噬菌体展示文库中选择抗 CAIX 抗体。鉴定了一组 13 个人 scFv,它们特异性识别细胞表面表达的 CAIX,主要表位映射到 CA 结构域,并确定了亲和力结合常数(KD)。这些人抗 CAIX mAbs 在功能上是多样化的,包括诱导表面 CAIX 内化到内体中和抑制碳酸酐酶活性,后者是以前未报道过的抗 CAIX 抗体的独特特征。这些人抗 CAIX 抗体是开发新的免疫疗法和 RCC 治疗的诊断工具以及扩展我们对 CAIX 分子基本结构-功能关系的认识的重要试剂。

https://cdn.ncbi.nlm.nih.gov/pmc/blobs/0ad9/2835754/1c301c26815b/pone.0009625.g001.jpg

文献AI研究员

20分钟写一篇综述,助力文献阅读效率提升50倍。

立即体验

用中文搜PubMed

大模型驱动的PubMed中文搜索引擎

马上搜索

文档翻译

学术文献翻译模型,支持多种主流文档格式。

立即体验