Suppr超能文献

六倍体小麦发育籽粒中淀粉生物合成的转录组分析

Transcriptomic analysis of starch biosynthesis in the developing grain of hexaploid wheat.

作者信息

Stamova Boryana S, Laudencia-Chingcuanco Debbie, Beckles Diane M

机构信息

Genomics and Gene Discovery Unit, USDA-ARS WRRC, 800 Buchanan Street, Albany, CA 94710, USA.

出版信息

Int J Plant Genomics. 2009;2009:407426. doi: 10.1155/2009/407426. Epub 2010 Mar 8.

Abstract

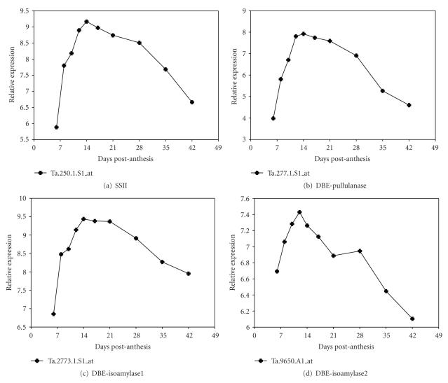
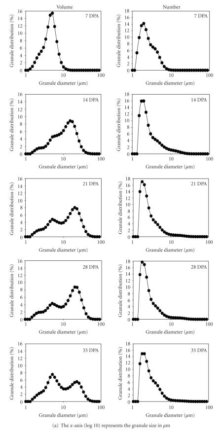
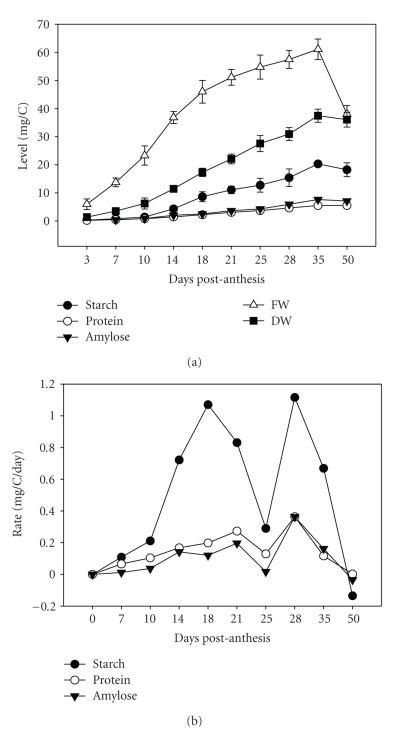
The expression of genes involved in starch synthesis in wheat was analyzed together with the accumulation profiles of soluble sugars, starch, protein, and starch granule distribution in developing caryopses obtained from the same biological materials used for profiling of gene expression using DNA microarrays. Multiple expression patterns were detected for the different starch biosynthetic gene isoforms, suggesting their relative importance through caryopsis development. Members of the ADP-glucose pyrophosphorylase, starch synthase, starch branching enzyme, and sucrose synthase gene families showed different expression profiles; expression of some members of these gene families coincided with a period of high accumulation of starch while others did not. A biphasic pattern was observed in the rates of starch and protein accumulation which paralleled changes in global gene expression. Metabolic and regulatory genes that show a pattern of expression similar to starch accumulation and granule size distribution were identified, suggesting their coinvolvement in these biological processes.

摘要

利用DNA微阵列对小麦淀粉合成相关基因的表达进行了分析,并结合了从用于基因表达谱分析的相同生物材料中获得的发育中的颖果中可溶性糖、淀粉、蛋白质的积累情况以及淀粉颗粒分布。不同淀粉生物合成基因亚型检测到多种表达模式,表明它们在颖果发育过程中的相对重要性。ADP-葡萄糖焦磷酸化酶、淀粉合酶、淀粉分支酶和蔗糖合酶基因家族的成员表现出不同的表达谱;这些基因家族中一些成员的表达与淀粉高积累期一致,而其他成员则不然。淀粉和蛋白质积累速率呈现双相模式,这与整体基因表达的变化平行。鉴定出了表达模式与淀粉积累和颗粒大小分布相似的代谢和调控基因,表明它们参与了这些生物学过程。

https://cdn.ncbi.nlm.nih.gov/pmc/blobs/ea6b/2834961/4b188b32dd5b/IJPG2009-407426.001.jpg

文献AI研究员

20分钟写一篇综述,助力文献阅读效率提升50倍。

立即体验

用中文搜PubMed

大模型驱动的PubMed中文搜索引擎

马上搜索

文档翻译

学术文献翻译模型,支持多种主流文档格式。

立即体验