Suppr超能文献

第二代抗精神病药物的疗效:奥氮平、喹硫平、利培酮和齐拉西酮的自然随机比较。

Effectiveness of second-generation antipsychotics: a naturalistic, randomized comparison of olanzapine, quetiapine, risperidone, and ziprasidone.

机构信息

Division of Psychiatry, H aukeland University Hospital, Sandviken, Pb 23, N-5812 Bergen, Norway.

出版信息

BMC Psychiatry. 2010 Mar 24;10:26. doi: 10.1186/1471-244X-10-26.

Abstract

BACKGROUND

No clear recommendations exist regarding which antipsychotic drug should be prescribed first for a patient suffering from psychosis. The primary aims of this naturalistic study were to assess the head-to-head effectiveness of first-line second-generation antipsychotics with regards to time until drug discontinuation, duration of index admission, time until readmission, change of psychopathology scores and tolerability outcomes.

METHODS

Patients >or= 18 years of age admitted to the emergency ward for symptoms of psychosis were consecutively randomized to risperidone (n = 53), olanzapine (n = 52), quetiapine (n = 50), or ziprasidone (n = 58), and followed for up to 2 years.

RESULTS

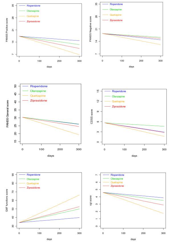
A total of 213 patients were included, of which 68% were males. The sample represented a diverse population suffering from psychosis. At admittance the mean Positive and Negative Syndrome Scale (PANSS) total score was 74 points and 44% were antipsychotic drug naïve. The primary intention-to-treat analyses revealed no substantial differences between the drugs regarding the times until discontinuation of initial drug, until discharge from index admission, or until readmission. Quetiapine was superior to risperidone and olanzapine in reducing the PANSS total score and the positive subscore. Quetiapine was superior to the other drugs in decreasing the PANSS general psychopathology subscore; in decreasing the Clinical Global Impression - Severity of Illness scale score (CGI-S); and in increasing the Global Assessment of Functioning - Split version, Functions scale score (GAF-F). Ziprasidone was superior to risperidone in decreasing the PANSS positive symptoms subscore and the CGI-S score, and in increasing the GAF-F score. The drugs performed equally with regards to most tolerability outcomes except a higher increase of hip-circumference per day for olanzapine compared to risperidone, and more galactorrhoea for risperidone compared to the other groups.

CONCLUSIONS

Quetiapine appears to be a good starting drug candidate in this sample of patients admitted to hospital for symptoms of psychosis.

TRIAL REGISTRATION

ClinicalTrials.gov ID; URL: http://www.clinicaltrials.gov/: NCT00932529.

摘要

背景

对于患有精神病的患者,哪种抗精神病药物应首先开处方,目前尚无明确建议。本自然研究的主要目的是评估一线第二代抗精神病药物在停药时间、指数入院时间、再入院时间、精神病理学评分变化和耐受性结局方面的头对头疗效。

方法

连续将年龄≥ 18 岁、因精神病症状入住急诊病房的患者随机分配至利培酮(n = 53)、奥氮平(n = 52)、喹硫平(n = 50)或齐拉西酮(n = 58),并随访长达 2 年。

结果

共纳入 213 例患者,其中 68%为男性。该样本代表了患有精神病的多样化人群。入院时,阳性和阴性综合征量表(PANSS)总分均值为 74 分,44%的患者为首次使用抗精神病药物。主要意向治疗分析显示,药物之间在初始药物停药时间、指数入院出院时间或再入院时间方面无明显差异。喹硫平在降低 PANSS 总分和阳性子量表方面优于利培酮和奥氮平。喹硫平在降低 PANSS 一般精神病学子量表、临床总体印象-严重程度量表评分(CGI-S)和总体功能评估-分裂版本,功能量表评分(GAF-F)方面优于其他药物。齐拉西酮在降低 PANSS 阳性症状子量表和 CGI-S 评分以及增加 GAF-F 评分方面优于利培酮。除了与利培酮相比奥氮平每天增加的臀围更大,以及利培酮比其他组发生更多的泌乳外,这些药物在大多数耐受性结局方面表现相当。

结论

在本样本中,对于因精神病症状入院的患者,喹硫平似乎是一种很好的起始药物候选药物。

试验注册

ClinicalTrials.gov ID;网址:http://www.clinicaltrials.gov/:NCT00932529。

https://cdn.ncbi.nlm.nih.gov/pmc/blobs/ad2b/2851682/ccfed44c4a87/1471-244X-10-26-1.jpg

文献检索

告别复杂PubMed语法,用中文像聊天一样搜索,搜遍4000万医学文献。AI智能推荐,让科研检索更轻松。

立即免费搜索

文件翻译

保留排版,准确专业,支持PDF/Word/PPT等文件格式,支持 12+语言互译。

免费翻译文档

深度研究

AI帮你快速写综述,25分钟生成高质量综述,智能提取关键信息,辅助科研写作。

立即免费体验