Computational Biology Group, Structural Studies Division, MRC Laboratory of Molecular Biology, Hills Road, Cambridge CB2 2QH, UK.
Genome Biol. 2010;11(4):R40. doi: 10.1186/gb-2010-11-4-r40. Epub 2010 Apr 12.
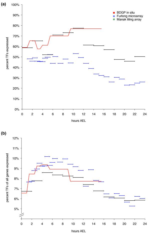
Site-specific transcription factors (TFs) are coordinators of developmental and physiological gene expression programs. Their binding to cis-regulatory modules of target genes mediates the precise cell- and context-specific activation and repression of genes. The expression of TFs should therefore reflect the core expression program of each cell.
We studied the expression dynamics of about 750 TFs using the available genomics resources in Drosophila melanogaster. We find that 95% of these TFs are expressed at some point during embryonic development, with a peak roughly between 10 and 12 hours after egg laying, the core stages of organogenesis. We address the differential utilization of DNA-binding domains in different developmental programs systematically in a spatio-temporal context, and show that the zinc finger class of TFs is predominantly early expressed, while Homeobox TFs exhibit later expression in embryogenesis.
Previous work, dissecting cis-regulatory modules during Drosophila development, suggests that TFs are deployed in groups acting in a cooperative manner. In contrast, we find that there is rapid exchange of co-expressed partners amongst the fly TFs, at rates similar to the genome-wide dynamics of co-expression clusters. This suggests there may also be a high level of combinatorial complexity of TFs at cis-regulatory modules.
特定部位的转录因子(TFs)是发育和生理基因表达程序的协调者。它们与靶基因顺式调控模块的结合介导了基因的精确细胞和特定上下文的激活和抑制。因此,TFs 的表达应该反映每个细胞的核心表达程序。
我们使用黑腹果蝇中可用的基因组学资源研究了约 750 个 TFs 的表达动态。我们发现,这些 TFs 中有 95%在胚胎发育的某个阶段表达,在产卵后 10 到 12 小时左右达到峰值,这是器官发生的核心阶段。我们在时空背景下系统地解决了不同发育程序中 DNA 结合域的差异利用问题,并表明锌指 TF 类主要在早期表达,而同源盒 TF 在胚胎发生中表达较晚。
以前的工作在果蝇发育过程中对顺式调控模块进行了剖析,表明 TFs 是作为一个协同作用的群体来发挥作用的。相比之下,我们发现,在果蝇 TFs 中,共同表达的伙伴之间存在快速的交换,其速率与全基因组共同表达簇的动力学相似。这表明,在顺式调控模块中,TFs 的组合复杂性可能也很高。