Suppr超能文献

金黄色葡萄球菌的脂磷壁酸加剧了感染猪呼吸冠状病毒的猪的呼吸道疾病。

Lipoteichoic acid from Staphylococcus aureus exacerbates respiratory disease in porcine respiratory coronavirus-infected pigs.

机构信息

Ghent University, Salisburylaan 133, B-9820 Merelbeke, Belgium.

出版信息

Vet J. 2011 May;188(2):210-5. doi: 10.1016/j.tvjl.2010.03.001. Epub 2010 Apr 20.

Abstract

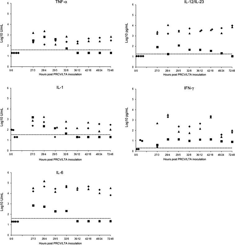
The objective of this study was to assess if lipoteichoic acid (LTA), produced by Staphylococcus aureus, exacerbates respiratory disease in porcine respiratory coronavirus (PRCV)-infected pigs, as has previously been shown with lipopolysaccharide. Piglets were inoculated with PRCV and 24h later with S. aureus LTA. Clinical signs, lung virus titres, inflammatory cells and cytokines in bronchoalveolar lavage fluid (BALF) were compared with those of animals in PRCV- and LTA-inoculated control groups. All PRCV-LTA-inoculated pigs except one developed severe respiratory disease, whereas clinical signs in the control groups were minimal or absent. Virus titres and grossly visible pulmonary lesions were similar in the PRCV-LTA- and PRCV-inoculated groups and were not detected in the LTA group. Neutrophil percentages in BALF were higher in the PRCV-LTA than in the PRCV group. There was no significant difference in interferon (IFN)-γ, interleukin (IL)-1, IL-6, IL-12/IL-23 and tumour necrosis factor (TNF)-α concentrations in BALF between the PRCV-LTA and PRCV groups, but levels of IL-6, IL-12/IL-23 and IFN-γ were higher in the PRCV-LTA-inoculated than in the LTA-inoculated controls. The findings suggest that the experimentally-induced respiratory disease was not mediated by cytokine over-production, but rather reflected the concerted action of particular cytokine interactions and/or as yet unidentified mediators. This is the first in vivo study to report the synergistic interaction between a virus and LTA in enhancing the severity of respiratory disease in the pig. Given that Gram-positive bacteria, capable of producing LTA, are commonly found in pig accommodation, the role of this compound in the development of the porcine respiratory disease complex requires further investigation.

摘要

本研究旨在评估金黄色葡萄球菌产生的脂磷壁酸(LTA)是否像脂多糖(LPS)那样加剧感染猪呼吸冠状病毒(PRCV)的猪的呼吸道疾病。将猪接种 PRCV 后 24 小时,再接种金黄色葡萄球菌 LTA。将临床症状、肺部病毒滴度、支气管肺泡灌洗液(BALF)中的炎症细胞和细胞因子与 PRCV 和 LTA 接种对照组的动物进行比较。除了一头之外,所有接种 PRCV-LTA 的猪都出现了严重的呼吸道疾病,而对照组的临床症状则很轻微或不存在。PRCV-LTA 接种组和 PRCV 接种组的病毒滴度和肉眼可见的肺部病变相似,而 LTA 组未检测到病毒。BALF 中的中性粒细胞百分比在 PRCV-LTA 组高于 PRCV 组。BALF 中的干扰素(IFN)-γ、白细胞介素(IL)-1、IL-6、IL-12/IL-23 和肿瘤坏死因子(TNF)-α浓度在 PRCV-LTA 组和 PRCV 组之间没有显著差异,但 PRCV-LTA 接种组的 IL-6、IL-12/IL-23 和 IFN-γ水平高于 LTA 接种对照组。这些发现表明,实验性诱导的呼吸道疾病不是由细胞因子过度产生介导的,而是反映了特定细胞因子相互作用和/或尚未确定的介质的协同作用。这是第一项报道病毒与 LTA 协同作用增强猪呼吸道疾病严重程度的体内研究。鉴于能够产生 LTA 的革兰氏阳性菌在猪舍中很常见,因此需要进一步研究这种化合物在猪呼吸道疾病综合征发展中的作用。

https://cdn.ncbi.nlm.nih.gov/pmc/blobs/70a9/7110450/b2113f845269/gr1.jpg

文献检索

告别复杂PubMed语法,用中文像聊天一样搜索,搜遍4000万医学文献。AI智能推荐,让科研检索更轻松。

立即免费搜索

文件翻译

保留排版,准确专业,支持PDF/Word/PPT等文件格式,支持 12+语言互译。

免费翻译文档

深度研究

AI帮你快速写综述,25分钟生成高质量综述,智能提取关键信息,辅助科研写作。

立即免费体验