Section of Experimental Haematology, Leeds Institute of Molecular Medicine, University of Leeds, Leeds LS9 7TF, UK.
Nucleic Acids Res. 2010 Sep;38(16):5336-50. doi: 10.1093/nar/gkq268. Epub 2010 Apr 26.
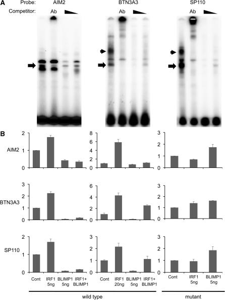
The transcriptional repressor B lymphocyte-induced maturation protein-1 (BLIMP1) regulates gene expression and cell fate. The DNA motif bound by BLIMP1 in vitro overlaps with that of interferon regulatory factors (IRFs), which respond to inflammatory/immune signals. At such sites, BLIMP1 and IRFs can antagonistically regulate promoter activity. In vitro motif selection predicts that only a subset of BLIMP1 or IRF sites is subject to antagonistic regulation, but the extent to which antagonism occurs is unknown, since an unbiased assessment of BLIMP1 occupancy in vivo is lacking. To address this, we identified an extended set of promoters occupied by BLIMP1. Motif discovery and enrichment analysis demonstrate that multiple motif variants are required to capture BLIMP1 binding specificity. These are differentially associated with CpG content, leading to the observation that BLIMP1 DNA-binding is methylation sensitive. In occupied promoters, only a subset of BLIMP1 motifs overlap with IRF motifs. Conversely, a distinct subset of IRF motifs is not enriched amongst occupied promoters. Genes linked to occupied promoters containing overlapping BLIMP1/IRF motifs (e.g. AIM2, SP110, BTN3A3) are shown to constitute a dynamic target set which is preferentially activated by BLIMP1 knock-down. These data confirm and extend the competitive model of BLIMP1 and IRF interaction.
转录抑制因子 B 细胞诱导成熟蛋白-1(BLIMP1)调节基因表达和细胞命运。BLIMP1 在体外结合的 DNA 模体与干扰素调节因子(IRFs)重叠,IRFs 响应炎症/免疫信号。在这些位点,BLIMP1 和 IRFs 可以拮抗调节启动子活性。体外模体选择预测只有一小部分 BLIMP1 或 IRF 位点受到拮抗调节,但拮抗作用的程度尚不清楚,因为缺乏对体内 BLIMP1 占据的无偏评估。为了解决这个问题,我们确定了一组扩展的 BLIMP1 占据的启动子。基序发现和富集分析表明,需要多种基序变体来捕获 BLIMP1 结合特异性。这些与 CpG 含量相关,导致观察到 BLIMP1 DNA 结合对甲基化敏感。在占据的启动子中,只有一小部分 BLIMP1 基序与 IRF 基序重叠。相反,在占据的启动子中,没有明显的 IRF 基序富集。与包含重叠 BLIMP1/IRF 基序的占据启动子相关的基因(例如 AIM2、SP110、BTN3A3)构成了一个动态的靶基因集,该基因集优先被 BLIMP1 敲低激活。这些数据证实并扩展了 BLIMP1 和 IRF 相互作用的竞争模型。