• 文献检索
  • 文档翻译
  • 深度研究
  • 学术资讯
  • Suppr Zotero 插件Zotero 插件
  • 邀请有礼
  • 套餐&价格
  • 历史记录
应用&插件
Suppr Zotero 插件Zotero 插件浏览器插件Mac 客户端Windows 客户端微信小程序
定价
高级版会员购买积分包购买API积分包
服务
文献检索文档翻译深度研究API 文档MCP 服务
关于我们
关于 Suppr公司介绍联系我们用户协议隐私条款
关注我们

Suppr 超能文献

核心技术专利:CN118964589B侵权必究
粤ICP备2023148730 号-1Suppr @ 2026

文献检索

告别复杂PubMed语法,用中文像聊天一样搜索,搜遍4000万医学文献。AI智能推荐,让科研检索更轻松。

立即免费搜索

文件翻译

保留排版,准确专业,支持PDF/Word/PPT等文件格式,支持 12+语言互译。

免费翻译文档

深度研究

AI帮你快速写综述,25分钟生成高质量综述,智能提取关键信息,辅助科研写作。

立即免费体验

深呼吸心率变异性与慢性阻塞性肺疾病患者呼吸肌无力有关。

Deep breathing heart rate variability is associated with respiratory muscle weakness in patients with chronic obstructive pulmonary disease.

机构信息

Cardiopulmonary Physiotherapy Laboratory, Nucleus of Research in Physical Exercise, Federal University of São Carlos, São Carlos, SP, Brazil.

出版信息

Clinics (Sao Paulo). 2010 Apr;65(4):369-75. doi: 10.1590/S1807-59322010000400004.

DOI:10.1590/S1807-59322010000400004
PMID:20454493
原文链接:https://pmc.ncbi.nlm.nih.gov/articles/PMC2862698/
Abstract

BACKGROUND

A synchronism exists between the respiratory and cardiac cycles. However, the influence of the inspiratory muscle weakness in chronic obstructive pulmonary disease (COPD) on cardiac autonomic control is unknown. The purpose of the present investigation was to evaluate the influence of respiratory muscle strength on autonomic control in these patients.

METHODS

Ten chronic obstructive pulmonary disease patients (69+/-9 years; FEV(1)/FVC 59+/-12% and FEV(1) 41+/-11% predicted) and nine age-matched healthy volunteers (64+/-5 years) participated in this study. Heart-rate variability (HRV) was obtained at rest and during respiratory sinusal arrhythmia maneuver (RSA-M) by electrocardiograph.

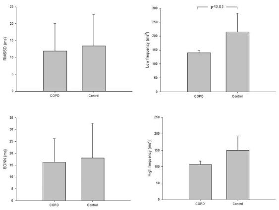
RESULTS

Chronic obstructive pulmonary disease patients demonstrated impaired cardiac autonomic modulation at rest and during RSA-M when compared with healthy subjects (p<0.05). Moreover, significant and positive correlations between maximal inspiratory pressure (MIP) and the inspiratory-expiratory difference (DeltaIE) (r = 0.60, p<0.01) were found.

CONCLUSION

Patients with chronic obstructive pulmonary disease presented impaired sympathetic-vagal balance at rest. In addition, cardiac autonomic control of heart rate was associated with inspiratory muscle weakness in chronic obstructive pulmonary disease. Based on this evidence, future research applications of respiratory muscle training may bring to light a potentially valuable target for rehabilitation.

摘要

背景

呼吸和心脏周期之间存在同步性。然而,慢性阻塞性肺疾病(COPD)患者吸气肌力量对心脏自主控制的影响尚不清楚。本研究旨在评估呼吸肌力量对这些患者自主控制的影响。

方法

10 名慢性阻塞性肺疾病患者(69+/-9 岁;FEV1/FVC 59+/-12%和 FEV1 41+/-11%预计值)和 9 名年龄匹配的健康志愿者(64+/-5 岁)参与了这项研究。通过心电图在休息和呼吸窦性心律失常(RSA-M)期间获得心率变异性(HRV)。

结果

与健康受试者相比,COPD 患者在休息和 RSA-M 期间表现出心脏自主调节受损(p<0.05)。此外,还发现最大吸气压力(MIP)和吸气-呼气差(DeltaIE)之间存在显著正相关(r = 0.60,p<0.01)。

结论

COPD 患者在休息时表现出交感神经-迷走神经平衡受损。此外,COPD 患者的心率自主控制与吸气肌力量相关。基于这些证据,呼吸肌训练的未来研究应用可能会揭示一个有价值的康复目标。

https://cdn.ncbi.nlm.nih.gov/pmc/blobs/fe52/2862698/24c116d0551c/cln_65p369f3.jpg
https://cdn.ncbi.nlm.nih.gov/pmc/blobs/fe52/2862698/fbc19934a8f7/cln_65p369f1.jpg
https://cdn.ncbi.nlm.nih.gov/pmc/blobs/fe52/2862698/b14dbb34d46f/cln_65p369f2.jpg
https://cdn.ncbi.nlm.nih.gov/pmc/blobs/fe52/2862698/24c116d0551c/cln_65p369f3.jpg
https://cdn.ncbi.nlm.nih.gov/pmc/blobs/fe52/2862698/fbc19934a8f7/cln_65p369f1.jpg
https://cdn.ncbi.nlm.nih.gov/pmc/blobs/fe52/2862698/b14dbb34d46f/cln_65p369f2.jpg
https://cdn.ncbi.nlm.nih.gov/pmc/blobs/fe52/2862698/24c116d0551c/cln_65p369f3.jpg

相似文献

1
Deep breathing heart rate variability is associated with respiratory muscle weakness in patients with chronic obstructive pulmonary disease.深呼吸心率变异性与慢性阻塞性肺疾病患者呼吸肌无力有关。
Clinics (Sao Paulo). 2010 Apr;65(4):369-75. doi: 10.1590/S1807-59322010000400004.
2
Deep breathing heart rate variability is associated with inspiratory muscle weakness in chronic heart failure.深呼吸心率变异性与慢性心力衰竭患者的吸气肌无力有关。
Physiother Res Int. 2014 Mar;19(1):16-24. doi: 10.1002/pri.1552. Epub 2013 Aug 27.
3
Respiratory muscle strength effect on linear and nonlinear heart rate variability parameters in COPD patients.呼吸肌力量对慢性阻塞性肺疾病患者线性和非线性心率变异性参数的影响。
Int J Chron Obstruct Pulmon Dis. 2016 Jul 26;11:1671-7. doi: 10.2147/COPD.S108860. eCollection 2016.
4
Inspiratory muscle strength, diaphragmatic mobility, and body composition in chronic obstructive pulmonary disease.慢性阻塞性肺疾病患者的吸气肌力量、膈肌活动度及身体组成
Physiother Res Int. 2019 Apr;24(2):e1766. doi: 10.1002/pri.1766. Epub 2019 Jan 9.
5
Effects of Inspiratory Muscle Training and Calisthenics-and-Breathing Exercises in COPD With and Without Respiratory Muscle Weakness.吸气肌训练以及健身操与呼吸练习对伴有和不伴有呼吸肌无力的慢性阻塞性肺疾病患者的影响。
Respir Care. 2016 Jan;61(1):50-60. doi: 10.4187/respcare.03947. Epub 2015 Nov 10.
6
Inspiratory muscle training improves autonomic modulation and exercise tolerance in chronic obstructive pulmonary disease subjects: A randomized-controlled trial.吸气肌训练改善慢性阻塞性肺疾病患者的自主神经调节和运动耐量:一项随机对照试验。
Respir Physiol Neurobiol. 2019 May;263:31-37. doi: 10.1016/j.resp.2019.03.003. Epub 2019 Mar 7.
7
Inspiratory muscle training in type 2 diabetes with inspiratory muscle weakness.吸气肌训练治疗 2 型糖尿病合并吸气肌无力。
Med Sci Sports Exerc. 2011 Jul;43(7):1135-41. doi: 10.1249/MSS.0b013e31820a7c12.
8
Is Inspiratory Muscle Weakness a Determinant of Endurance Exercise Tolerance During NIV-Supported Exercise in Patients With COPD?在 COPD 患者接受 NIV 支持下的运动中,吸气肌无力是否是耐力运动耐受的决定因素?
J Cardiopulm Rehabil Prev. 2018 Nov;38(6):E9-E11. doi: 10.1097/HCR.0000000000000329.
9
Evaluation of isokinetic muscle strength of upper limb and the relationship with pulmonary function and respiratory muscle strength in stable COPD patients.稳定期 COPD 患者的上肢等速肌力评估及其与肺功能和呼吸肌力的关系。
Int J Chron Obstruct Pulmon Dis. 2019 Sep 5;14:2027-2036. doi: 10.2147/COPD.S214737. eCollection 2019.
10
Distribution of muscle weakness in patients with stable chronic obstructive pulmonary disease.稳定期慢性阻塞性肺疾病患者的肌无力分布情况
J Cardiopulm Rehabil. 2000 Nov-Dec;20(6):353-60. doi: 10.1097/00008483-200011000-00004.

引用本文的文献

1
Heart rate variability in horses with and without severe equine asthma.患有和未患有严重马哮喘的马匹的心率变异性
Equine Vet J. 2025 May;57(3):611-618. doi: 10.1111/evj.14414. Epub 2024 Sep 14.
2
Correlation between Cardiovascular Autonomic and Pulmonary Ventilation Functions in Myasthenia Gravis Patients.重症肌无力患者心血管自主与肺通气功能的相关性。
Adv Respir Med. 2023 Dec 1;91(6):546-559. doi: 10.3390/arm91060040.
3
Impact of long COVID on the heart rate variability at rest and during deep breathing maneuver.长新冠对静息和深呼吸时心率变异性的影响。

本文引用的文献

1
Acute application of bilevel positive airway pressure influences the cardiac autonomic nervous system.双水平气道正压通气的急性应用影响心脏自主神经系统。
Clinics (Sao Paulo). 2009;64(11):1085-92. doi: 10.1590/S1807-59322009001100008.
2
Prevalence of reduced respiratory muscle strength in institutionalized elderly people.机构养老老年人呼吸肌力量减弱的患病率。
Sao Paulo Med J. 2009 May;127(2):78-83. doi: 10.1590/s1516-31802009000200005.
3
Respiratory muscle function and activation in chronic obstructive pulmonary disease.慢性阻塞性肺疾病中的呼吸肌功能与激活
Sci Rep. 2023 Dec 20;13(1):22695. doi: 10.1038/s41598-023-50276-0.
4
A systematic review and meta-analysis of heart rate variability in COPD.慢性阻塞性肺疾病患者心率变异性的系统评价与荟萃分析
Front Cardiovasc Med. 2023 Feb 17;10:1070327. doi: 10.3389/fcvm.2023.1070327. eCollection 2023.
5
The Indices of Instantaneous Pulse Rate Variability Are Indicators for Daily Life Quality Assessment in Patients with COPD.即时脉搏率变异指数是评估 COPD 患者日常生活质量的指标。
J Healthc Eng. 2022 Feb 10;2022:6103305. doi: 10.1155/2022/6103305. eCollection 2022.
6
COPD Patients Have a Restricted Breathing Pattern That Persists with Increased Metabolic Demands.COPD 患者的呼吸模式受限,且随着代谢需求的增加而持续存在。
COPD. 2020 Jun;17(3):245-252. doi: 10.1080/15412555.2020.1750578. Epub 2020 Apr 17.
7
Positive end-expiratory pressure attenuates hemodynamic effects induced by an overload of inspiratory muscles in patients with COPD.呼气末正压可减轻慢性阻塞性肺疾病患者吸气肌负荷过重引起的血流动力学效应。
Int J Chron Obstruct Pulmon Dis. 2017 Oct 6;12:2943-2954. doi: 10.2147/COPD.S138737. eCollection 2017.
8
Increased parasympathetic cardiac modulation in patients with acute exacerbation of COPD: how should we interpret it?慢性阻塞性肺疾病急性加重患者副交感神经对心脏调节作用增强:我们应如何解读?
Int J Chron Obstruct Pulmon Dis. 2017 Jul 28;12:2221-2230. doi: 10.2147/COPD.S134498. eCollection 2017.
9
Effect of respiratory rehabilitation techniques on the autonomic function in patients with chronic obstructive pulmonary disease: A systematic review.呼吸康复技术对慢性阻塞性肺疾病患者自主神经功能的影响:系统评价。
Chron Respir Dis. 2017 Aug;14(3):217-230. doi: 10.1177/1479972316680844. Epub 2016 Dec 15.
10
The role of the inspiratory muscle weakness in functional capacity in hemodialysis patients.吸气肌无力在血液透析患者功能能力中的作用。
PLoS One. 2017 Mar 9;12(3):e0173159. doi: 10.1371/journal.pone.0173159. eCollection 2017.
J Appl Physiol (1985). 2009 Aug;107(2):621-9. doi: 10.1152/japplphysiol.00163.2009. Epub 2009 Apr 23.
4
Benefits of short inspiratory muscle training on exercise capacity, dyspnea, and inspiratory fraction in COPD patients.短期吸气肌训练对慢性阻塞性肺疾病患者运动能力、呼吸困难及吸气分数的益处。
Int J Chron Obstruct Pulmon Dis. 2008;3(3):423-7. doi: 10.2147/copd.s1822.
5
Heart rate variability and disease characteristics in patients with COPD.慢性阻塞性肺疾病患者的心率变异性与疾病特征
Lung. 2008 Nov-Dec;186(6):393-401. doi: 10.1007/s00408-008-9105-7. Epub 2008 Sep 25.
6
Respiratory muscle unloading improves leg muscle oxygenation during exercise in patients with COPD.在慢性阻塞性肺疾病(COPD)患者运动期间,呼吸肌卸载可改善腿部肌肉的氧合。
Thorax. 2008 Oct;63(10):910-5. doi: 10.1136/thx.2007.090167. Epub 2008 May 20.
7
Diaphragm muscle fiber dysfunction in chronic obstructive pulmonary disease: toward a pathophysiological concept.慢性阻塞性肺疾病中的膈肌肌纤维功能障碍:迈向一种病理生理概念
Am J Respir Crit Care Med. 2007 Jun 15;175(12):1233-40. doi: 10.1164/rccm.200701-020PP. Epub 2007 Apr 5.
8
[Clinical consequences of muscle dysfunction in chronic obstructive pulmonary disease].[慢性阻塞性肺疾病中肌肉功能障碍的临床后果]
Nutr Hosp. 2006 May;21 Suppl 3:69-75.
9
Hypoxemia and autonomic nervous dysfunction in patients with chronic obstructive pulmonary disease.慢性阻塞性肺疾病患者的低氧血症与自主神经功能障碍
Respir Med. 2006 Sep;100(9):1547-53. doi: 10.1016/j.rmed.2006.01.006. Epub 2006 Feb 20.
10
Baroreflex sensitivity assessment and heart rate variability: relation to maneuver and technique.压力反射敏感性评估与心率变异性:与操作及技术的关系
Eur J Appl Physiol. 2005 Oct;95(4):265-75. doi: 10.1007/s00421-005-0001-z. Epub 2005 Oct 27.