Suppr超能文献

Müller-Lyer 错觉对眼跳的影响受到空间可预测性和眼跳潜伏期的调节。

The effect of the Müller-Lyer illusion on saccades is modulated by spatial predictability and saccadic latency.

机构信息

Research Institute MOVE, Faculty of Human Movement Sciences, VU University Amsterdam, Van der Boechorststraat 9, 1081 BT, Amsterdam, The Netherlands.

出版信息

Exp Brain Res. 2010 Jun;203(4):671-9. doi: 10.1007/s00221-010-2275-6. Epub 2010 May 9.

Abstract

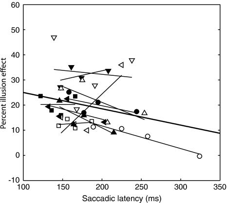
Studies investigating the effect of visual illusions on saccadic eye movements have provided a wide variety of results. In this study, we test three factors that might explain this variability: the spatial predictability of the stimulus, the duration of the stimulus and the latency of the saccades. Participants made a saccade from one end of a Müller-Lyer figure to the other end. By changing the spatial predictability of the stimulus, we find that the illusion has a clear effect on saccades (16%) when the stimulus is at a highly predictable location. Even stronger effects of the illusion are found when the stimulus location becomes more unpredictable (19-23%). Conversely, manipulating the duration of the stimulus fails to reveal a clear difference in illusion effect. Finally, by computing the illusion effect for different saccadic latencies, we find a maximum illusion effect (about 30%) for very short latencies, which decreases by 7% with every 100 ms latency increase. We conclude that spatial predictability of the stimulus and saccadic latency influences the effect of the Müller-Lyer illusion on saccades.

摘要

研究视觉错觉对眼跳运动的影响提供了各种各样的结果。在这项研究中,我们测试了三个可能解释这种可变性的因素:刺激的空间可预测性、刺激的持续时间和眼跳的潜伏期。参与者从 Müller-Lyer 图形的一端向另一端进行眼跳。通过改变刺激的空间可预测性,我们发现当刺激处于高度可预测的位置时,错觉对眼跳有明显的影响(16%)。当刺激位置变得更不可预测时,错觉的影响更强(19-23%)。相反,操纵刺激的持续时间并没有揭示出错觉效果的明显差异。最后,通过计算不同眼跳潜伏期的错觉效果,我们发现非常短的潜伏期有最大的错觉效果(约 30%),每个 100ms 的潜伏期增加都会减少 7%。我们得出结论,刺激的空间可预测性和眼跳潜伏期影响 Müller-Lyer 错觉对眼跳的影响。

https://cdn.ncbi.nlm.nih.gov/pmc/blobs/533b/2880238/9b534cb8ceeb/221_2010_2275_Fig1_HTML.jpg

文献检索

告别复杂PubMed语法,用中文像聊天一样搜索,搜遍4000万医学文献。AI智能推荐,让科研检索更轻松。

立即免费搜索

文件翻译

保留排版,准确专业,支持PDF/Word/PPT等文件格式,支持 12+语言互译。

免费翻译文档

深度研究

AI帮你快速写综述,25分钟生成高质量综述,智能提取关键信息,辅助科研写作。

立即免费体验