Suppr超能文献

用于预测结构和RNA-RNA相互作用的多序列比对的分层折叠

Hierarchical folding of multiple sequence alignments for the prediction of structures and RNA-RNA interactions.

作者信息

Seemann Stefan E, Richter Andreas S, Gorodkin Jan, Backofen Rolf

机构信息

Center for non-coding RNA in Technology and Health, IBHV, University of Copenhagen, Grønnegårdsvej 3, Frederiksberg C, 1870, Denmark.

Bioinformatics Group, University of Freiburg, Georges-Köhler-Allee 106, Freiburg, 79110, Germany.

出版信息

Algorithms Mol Biol. 2010 May 21;5:22. doi: 10.1186/1748-7188-5-22.

Abstract

BACKGROUND

Many regulatory non-coding RNAs (ncRNAs) function through complementary binding with mRNAs or other ncRNAs, e.g., microRNAs, snoRNAs and bacterial sRNAs. Predicting these RNA interactions is essential for functional studies of putative ncRNAs or for the design of artificial RNAs. Many ncRNAs show clear signs of undergoing compensating base changes over evolutionary time. Here, we postulate that a non-negligible part of the existing RNA-RNA interactions contain preserved but covarying patterns of interactions.

METHODS

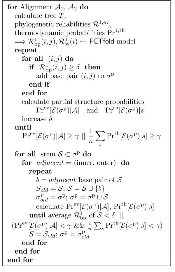
We present a novel method that takes compensating base changes across the binding sites into account. The algorithm works in two steps on two pre-generated multiple alignments. In the first step, individual base pairs with high reliability are found using the PETfold algorithm, which includes evolutionary and thermodynamic properties. In step two (where high reliability base pairs from step one are constrained as unpaired), the principle of cofolding is combined with hierarchical folding. The final prediction of intra- and inter-molecular base pairs consists of the reliabilities computed from the constrained expected accuracy scoring, which is an extended version of that used for individual multiple alignments.

RESULTS

We derived a rather extensive algorithm. One of the advantages of our approach (in contrast to other RNA-RNA interaction prediction methods) is the application of covariance detection and prediction of pseudoknots between intra- and inter-molecular base pairs. As a proof of concept, we show an example and discuss the strengths and weaknesses of the approach.

摘要

背景

许多调控性非编码RNA(ncRNA)通过与mRNA或其他ncRNA(如微小RNA、核仁小RNA和细菌小RNA)互补结合发挥作用。预测这些RNA相互作用对于推定ncRNA的功能研究或人工RNA的设计至关重要。许多ncRNA在进化过程中显示出明显的补偿性碱基变化迹象。在此,我们推测现有RNA-RNA相互作用中不可忽视的一部分包含保守但共变的相互作用模式。

方法

我们提出了一种新方法,该方法考虑了结合位点上的补偿性碱基变化。该算法在两个预先生成的多序列比对上分两步运行。第一步,使用PETfold算法找到具有高可靠性的单个碱基对,该算法包括进化和热力学特性。第二步(将第一步中高可靠性的碱基对约束为不成对),将共折叠原理与分层折叠相结合。分子内和分子间碱基对的最终预测由根据约束预期准确性评分计算的可靠性组成,这是用于单个多序列比对的评分的扩展版本。

结果

我们推导了一个相当广泛的算法。我们的方法(与其他RNA-RNA相互作用预测方法相比)的优点之一是应用了协方差检测以及分子内和分子间碱基对之间假结的预测。作为概念验证,我们展示了一个示例并讨论了该方法的优缺点。

https://cdn.ncbi.nlm.nih.gov/pmc/blobs/adaf/2903599/da372dabc5c6/1748-7188-5-22-1.jpg

文献AI研究员

20分钟写一篇综述,助力文献阅读效率提升50倍。

立即体验

用中文搜PubMed

大模型驱动的PubMed中文搜索引擎

马上搜索

文档翻译

学术文献翻译模型,支持多种主流文档格式。

立即体验