Department of Medicine III, RWTH-University Hospital Aachen, Pauwelsstrasse 30, 52074 Aachen, Germany.
Crit Care. 2010;14(3):R94. doi: 10.1186/cc9029. Epub 2010 May 25.
Ghrelin has been recently identified as a mediator of various beneficial effects in animal models of sepsis. At present, no data are available concerning specific properties of ghrelin in critically ill patients from large cohorts. In order to identify possible pathogenic functions of ghrelin in critically ill patients and human sepsis from a clinical point of view, we aimed at analyzing ghrelin serum concentrations in a large cohort of well characterized patients with critical illness.
A total of 170 critically ill patients (122 with sepsis, 48 without sepsis) were studied prospectively on admission to the Medical intensive care unit (ICU) and compared to 60 healthy controls. Careful assessment of clinical data, various laboratory parameters, metabolic and endocrine functions as well as investigational inflammatory cytokine profiles have been performed, and patients were followed for approximately three years.
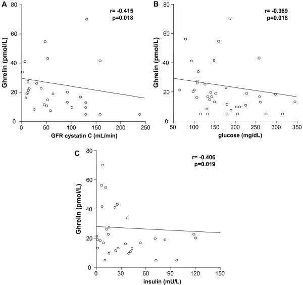
Ghrelin serum concentrations are elevated in critically ill patients as compared to healthy controls, but do not differ between sepsis and non-sepsis patients. The underlying etiologies of critical diseases are not associated with ghrelin serum levels. Neither pre-existing diabetes mellitus nor body mass index is correlated to serum ghrelin concentrations. Ghrelin is not correlated to markers of inflammation or hepatic function in critically ill patients. In the subgroup of non-sepsis patients, ghrelin correlates inversely with renal function and markers of carbohydrate metabolism. High ghrelin levels are an indicator for a favourable prognosis concerning mortality at the ICU in sepsis patients. Furthermore, ghrelin is significantly associated with the necessity of ventilation in critically ill patients.
Ghrelin serum concentrations are elevated in all circumstances of critical disease, including sepsis and non-sepsis patients. High ghrelin levels are a positive predictor of ICU-survival in sepsis patients, matching previous results from animal models. Future experimental and clinical studies are needed to evaluate ghrelin as a novel prognostic tool in ICU patients and its potential therapeutic use in sepsis.
胃饥饿素最近被鉴定为动物败血症模型中各种有益作用的介质。目前,关于大量危重患者中胃饥饿素的具体特性尚无数据。为了从临床角度确定胃饥饿素在危重病患者和人类败血症中的可能致病功能,我们旨在分析一大组特征明确的危重病患者的血清胃饥饿素浓度。
前瞻性地研究了 170 名重症患者(122 名败血症,48 名非败血症),并与 60 名健康对照者进行了比较。对临床数据、各种实验室参数、代谢和内分泌功能以及炎症细胞因子谱进行了仔细评估,并对患者进行了大约三年的随访。
与健康对照组相比,危重病患者的血清胃饥饿素浓度升高,但败血症和非败血症患者之间无差异。危重病的潜在病因与血清胃饥饿素水平无关。既往糖尿病或体重指数与血清胃饥饿素浓度无关。胃饥饿素与危重病患者的炎症或肝功能标志物不相关。在非败血症患者亚组中,胃饥饿素与肾功能和碳水化合物代谢标志物呈负相关。高胃饥饿素水平是败血症患者 ICU 死亡率的预后良好指标。此外,胃饥饿素与危重病患者的通气需求显著相关。
胃饥饿素血清浓度在包括败血症和非败血症患者在内的所有危急情况下均升高。高胃饥饿素水平是败血症患者 ICU 存活的正预测因子,与动物模型的先前结果相匹配。需要进一步的实验和临床研究来评估胃饥饿素作为 ICU 患者的新型预后工具及其在败血症中的潜在治疗用途。