• 文献检索
  • 文档翻译
  • 深度研究
  • 学术资讯
  • Suppr Zotero 插件Zotero 插件
  • 邀请有礼
  • 套餐&价格
  • 历史记录
应用&插件
Suppr Zotero 插件Zotero 插件浏览器插件Mac 客户端Windows 客户端微信小程序
定价
高级版会员购买积分包购买API积分包
服务
文献检索文档翻译深度研究API 文档MCP 服务
关于我们
关于 Suppr公司介绍联系我们用户协议隐私条款
关注我们

Suppr 超能文献

核心技术专利:CN118964589B侵权必究
粤ICP备2023148730 号-1Suppr @ 2026

文献检索

告别复杂PubMed语法,用中文像聊天一样搜索,搜遍4000万医学文献。AI智能推荐,让科研检索更轻松。

立即免费搜索

文件翻译

保留排版,准确专业,支持PDF/Word/PPT等文件格式,支持 12+语言互译。

免费翻译文档

深度研究

AI帮你快速写综述,25分钟生成高质量综述,智能提取关键信息,辅助科研写作。

立即免费体验

酒精、硫代乙酰胺和血吸虫感染诱导的小鼠肝纤维化的无创性指标。

Non-invasive index of liver fibrosis induced by alcohol, thioacetamide and Schistosomal infection in mice.

机构信息

Department of Chemistry, Faculty of Science, Tanta University, Tanta 31111, Egypt.

出版信息

BMC Gastroenterol. 2010 Jun 1;10:53. doi: 10.1186/1471-230X-10-53.

DOI:10.1186/1471-230X-10-53
PMID:20515488
原文链接:https://pmc.ncbi.nlm.nih.gov/articles/PMC2894747/
Abstract

BACKGROUND

Non invasive approaches will likely be increasing utilized to assess liver fibrosis. This work provides a new non invasive index to predict liver fibrosis induced in mice.

METHODS

Fibrosis was generated by thioacetamide (TAA), chronic intake of ethanol, or infection with S. mansoni in 240 mice. Both progression and regression of fibrosis (after treatment with silymarin and/or praziquantel) were monitored. The following methods were employed: (i) The METAVIR system was utilized to grade and stage liver inflammation and fibosis; (ii) Determination of hepatic hydroxyproline and collagen; and (iii) Derivation of a new hepatic fibrosis index from the induced changes, and its prospective validation in a group of 70 mice.

RESULTS

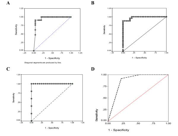
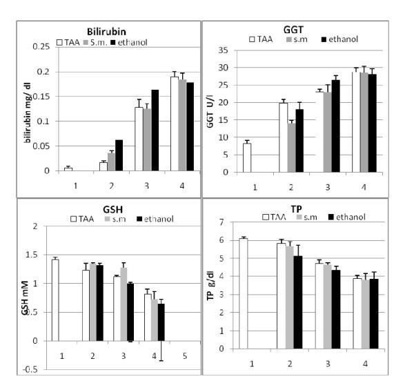
The index is composed of 4 serum variable including total proteins, gamma-GT, bilirubin and reduced glutathione (GSH), measured in diseased, treated and normal mice. These parameters were highly correlated with both the histological stage and the grade. They were combined in a logarithmic formula, which non-invasively scores the severity of liver fibrosis through a range (0 to 2), starting with healthy liver (corresponding to stage 0) to advanced fibrosis (corresponding stage 3).Receiver operating characteristic curves (ROC) for the accuracy of the index to predict the histological stages demonstrated that the areas under the curve (AUC) were 0.954, 0.979 and 0.99 for index values corresponding to histological stages 1, 2 and 3, respectively. Also, the index was correlated with stage and grade, (0.947 and 0.859, respectively). The cut off values that cover the range between stages 0-1, 1-2 and 2-3 are 0.4, 1.12 and 1.79, respectively. The results in the validation group confirmed the accuracy of the test. The AUROC was 0.869 and there was good correlation with the stage of fibrosis and grade of inflammation.

CONCLUSION

The index fulfils the basic criteria of non-invasive marker of liver fibrosis since it is liver-specific, easy to implement, reliable, and inexpensive. It proved to be accurate in discriminating precirrhotic stages.

摘要

背景

非侵入性方法可能会越来越多地用于评估肝纤维化。本研究提供了一种新的非侵入性指数,用于预测小鼠肝纤维化。

方法

使用硫代乙酰胺(TAA)、慢性乙醇摄入或曼氏血吸虫感染在 240 只小鼠中生成纤维化。监测纤维化的进展和消退(在用水飞蓟素和/或吡喹酮治疗后)。采用以下方法:(i)使用 METAVIR 系统对肝炎症和纤维化进行分级和分期;(ii)测定肝羟脯氨酸和胶原;(iii)从诱导的变化中得出新的肝纤维化指数,并在 70 只小鼠的一组中进行前瞻性验证。

结果

该指数由 4 种血清变量组成,包括患病、治疗和正常小鼠中的总蛋白、γ-GT、胆红素和还原型谷胱甘肽(GSH)。这些参数与组织学分期和分级高度相关。它们被组合在一个对数公式中,通过 0 到 2 的范围,从健康肝脏(对应于 0 期)到晚期纤维化(对应于 3 期),对肝纤维化的严重程度进行非侵入性评分。该指数预测组织学分期的准确性的受试者工作特征曲线(ROC)显示,对应于组织学分期 1、2 和 3 的指数值的曲线下面积(AUC)分别为 0.954、0.979 和 0.99。此外,该指数与分期和分级相关,分别为 0.947 和 0.859。覆盖分期 0-1、1-2 和 2-3 之间范围的截断值分别为 0.4、1.12 和 1.79。验证组的结果证实了该检测的准确性。AUROC 为 0.869,与纤维化分期和炎症分级有良好的相关性。

结论

该指数符合肝纤维化非侵入性标志物的基本标准,因为它是肝脏特异性的、易于实施的、可靠的和廉价的。它在鉴别早期肝硬化阶段方面表现出准确性。

https://cdn.ncbi.nlm.nih.gov/pmc/blobs/0470/2894747/c8a0ebe72f20/1471-230X-10-53-6.jpg
https://cdn.ncbi.nlm.nih.gov/pmc/blobs/0470/2894747/b92c9318a803/1471-230X-10-53-1.jpg
https://cdn.ncbi.nlm.nih.gov/pmc/blobs/0470/2894747/31e80d6128d0/1471-230X-10-53-2.jpg
https://cdn.ncbi.nlm.nih.gov/pmc/blobs/0470/2894747/3351ebc7e555/1471-230X-10-53-3.jpg
https://cdn.ncbi.nlm.nih.gov/pmc/blobs/0470/2894747/49c51e13f3d7/1471-230X-10-53-4.jpg
https://cdn.ncbi.nlm.nih.gov/pmc/blobs/0470/2894747/9dbb6d2b27e0/1471-230X-10-53-5.jpg
https://cdn.ncbi.nlm.nih.gov/pmc/blobs/0470/2894747/c8a0ebe72f20/1471-230X-10-53-6.jpg
https://cdn.ncbi.nlm.nih.gov/pmc/blobs/0470/2894747/b92c9318a803/1471-230X-10-53-1.jpg
https://cdn.ncbi.nlm.nih.gov/pmc/blobs/0470/2894747/31e80d6128d0/1471-230X-10-53-2.jpg
https://cdn.ncbi.nlm.nih.gov/pmc/blobs/0470/2894747/3351ebc7e555/1471-230X-10-53-3.jpg
https://cdn.ncbi.nlm.nih.gov/pmc/blobs/0470/2894747/49c51e13f3d7/1471-230X-10-53-4.jpg
https://cdn.ncbi.nlm.nih.gov/pmc/blobs/0470/2894747/9dbb6d2b27e0/1471-230X-10-53-5.jpg
https://cdn.ncbi.nlm.nih.gov/pmc/blobs/0470/2894747/c8a0ebe72f20/1471-230X-10-53-6.jpg

相似文献

1
Non-invasive index of liver fibrosis induced by alcohol, thioacetamide and Schistosomal infection in mice.酒精、硫代乙酰胺和血吸虫感染诱导的小鼠肝纤维化的无创性指标。
BMC Gastroenterol. 2010 Jun 1;10:53. doi: 10.1186/1471-230X-10-53.
2
Automated evaluation of liver fibrosis in thioacetamide, carbon tetrachloride, and bile duct ligation rodent models using second-harmonic generation/two-photon excited fluorescence microscopy.使用二次谐波产生/双光子激发荧光显微镜对硫代乙酰胺、四氯化碳和胆管结扎啮齿动物模型中的肝纤维化进行自动评估。
Lab Invest. 2017 Jan;97(1):84-92. doi: 10.1038/labinvest.2016.128. Epub 2016 Dec 5.
3
Comparison of early treatment with low doses of nilotinib, imatinib and a clinically relevant dose of silymarin in thioacetamide-induced liver fibrosis.比较硫代乙酰胺诱导肝纤维化中低剂量尼罗替尼、伊马替尼和临床相关剂量水飞蓟素的早期治疗效果。
Eur J Pharmacol. 2011 Nov 30;670(2-3):593-600. doi: 10.1016/j.ejphar.2011.08.041. Epub 2011 Sep 8.
4
Value of gamma-glutamyltranspeptidase-to-platelet ratio in diagnosis of hepatic fibrosis in patients with chronic hepatitis B.γ-谷氨酰转肽酶/血小板比值在诊断慢性乙型肝炎患者肝纤维化中的价值。
World J Gastroenterol. 2017 Nov 7;23(41):7425-7432. doi: 10.3748/wjg.v23.i41.7425.
5
A novel non-invasive score for the prediction of advanced fibrosis in patients with chronic hepatitis B.一种用于预测慢性乙型肝炎患者肝纤维化进展的新型非侵入性评分系统。
Ann Hepatol. 2022 Jan-Feb;27(1):100544. doi: 10.1016/j.aohep.2021.100544. Epub 2021 Sep 24.
6
Estrogen Deficiency Potentiates Thioacetamide-Induced Hepatic Fibrosis in Sprague-Dawley Rats.雌激素缺乏增强硫代乙酰胺诱导的 Sprague-Dawley 大鼠肝纤维化。
Int J Mol Sci. 2019 Jul 29;20(15):3709. doi: 10.3390/ijms20153709.
7
Telmisartan, an AT1 receptor blocker and a PPAR gamma activator, alleviates liver fibrosis induced experimentally by Schistosoma mansoni infection.替米沙坦,一种 AT1 受体阻滞剂和过氧化物酶体增殖物激活受体 γ 的激动剂,可减轻曼氏血吸虫感染引起的肝纤维化。
Parasit Vectors. 2013 Jul 5;6:199. doi: 10.1186/1756-3305-6-199.
8
[A noninvasive model to predict histological liver cirrhosis in patients with chronic hepatitis B].[一种预测慢性乙型肝炎患者组织学肝硬化的非侵入性模型]
Zhonghua Gan Zang Bing Za Zhi. 2009 Jan;17(1):28-32.
9
Gamma-glutamyl transpeptidase to platelet ratio index is a good noninvasive biomarker for predicting liver fibrosis in Chinese chronic hepatitis B patients.γ-谷氨酰转肽酶与血小板比值指数是预测中国慢性乙型肝炎患者肝纤维化的良好非侵入性生物标志物。
J Int Med Res. 2016 Dec;44(6):1302-1313. doi: 10.1177/0300060516664638. Epub 2016 Nov 11.
10
A natural process of cirrhosis resolution and deceleration of liver regeneration after thioacetamide withdrawal in a rat model.在大鼠模型中,硫代乙酰胺停药后肝硬化消退和肝再生减速的自然过程。
Mol Biol Rep. 2011 Mar;38(3):1687-96. doi: 10.1007/s11033-010-0281-1. Epub 2010 Oct 8.

引用本文的文献

1
Dihydromyricetin Reverses Thioacetamide-Induced Liver Fibrosis Through Inhibiting NF-κB-Mediated Inflammation and TGF-β1-Regulated of PI3K/Akt Signaling Pathway.二氢杨梅素通过抑制NF-κB介导的炎症和TGF-β1调节的PI3K/Akt信号通路逆转硫代乙酰胺诱导的肝纤维化。
Front Pharmacol. 2021 Nov 15;12:783886. doi: 10.3389/fphar.2021.783886. eCollection 2021.
2
Extracellular PKM2 facilitates organ-tissue fibrosis progression.细胞外丙酮酸激酶M2促进器官组织纤维化进展。
iScience. 2021 Sep 25;24(10):103165. doi: 10.1016/j.isci.2021.103165. eCollection 2021 Oct 22.
3
Pyruvate kinase M2 regulates fibrosis development and progression by controlling glycine auxotrophy in myofibroblasts.

本文引用的文献

1
SAFE biopsy: a validated method for large-scale staging of liver fibrosis in chronic hepatitis C.安全活检:一种用于慢性丙型肝炎肝纤维化大规模分期的有效方法。
Hepatology. 2009 Jun;49(6):1821-7. doi: 10.1002/hep.22859.
2
Chemopreventive effect of silymarin on liver pathology in HBV X protein transgenic mice.水飞蓟素对乙肝病毒X蛋白转基因小鼠肝脏病理的化学预防作用。
Cancer Res. 2008 Mar 15;68(6):2033-42. doi: 10.1158/0008-5472.CAN-07-2450.
3
Is metalloproteinase-7 specific for idiopathic pulmonary fibrosis?金属蛋白酶-7对特发性肺纤维化具有特异性吗?
丙酮酸激酶 M2 通过控制肌成纤维细胞中的甘氨酸营养缺陷来调节纤维化的发展和进展。
Theranostics. 2021 Sep 9;11(19):9331-9341. doi: 10.7150/thno.60385. eCollection 2021.
4
Targeting integrin αvβ3 by a rationally designed protein for chronic liver disease treatment.通过合理设计的蛋白质靶向整合素 αvβ3 治疗慢性肝病。
Commun Biol. 2021 Sep 16;4(1):1087. doi: 10.1038/s42003-021-02611-2.
5
A Novel Hepatic Anti-Fibrotic Strategy Utilizing the Secretome Released from Etanercept-Synthesizing Adipose-Derived Stem Cells.利用依那西普合成脂肪来源的干细胞释放的细胞外泌体的新型肝脏抗纤维化策略。
Int J Mol Sci. 2019 Dec 13;20(24):6302. doi: 10.3390/ijms20246302.
6
Amelioration of experimentally induced diabetic nephropathy and renal damage by nilotinib.尼洛替尼改善实验性诱导的糖尿病肾病和肾损伤。
J Physiol Biochem. 2015 Dec;71(4):635-48. doi: 10.1007/s13105-015-0428-6. Epub 2015 Aug 21.
7
Prediction of fibrosis in hepatitis C patients: assessment using hydroxyproline and oxidative stress biomarkers.丙型肝炎患者纤维化的预测:使用羟脯氨酸和氧化应激生物标志物进行评估。
Virusdisease. 2014 Jan;25(1):91-100. doi: 10.1007/s13337-013-0182-8. Epub 2013 Nov 30.
8
Tranilast ameliorates impaired hepatic functions in Schistosoma mansoni-infected mice.曲尼司特可改善曼氏血吸虫感染小鼠的肝功能障碍。
Inflammopharmacology. 2012 Apr;20(2):77-87. doi: 10.1007/s10787-011-0117-1. Epub 2012 Jan 26.
9
Do we need a common liver fibrosis index or etiology-related indices?我们需要一个通用的肝纤维化指标还是病因相关指标?
Hepat Mon. 2011 Jun;11(6):483-4.
Chest. 2008 May;133(5):1101-6. doi: 10.1378/chest.07-2116. Epub 2007 Dec 10.
4
Noninvasive markers of fibrosis in nonalcoholic fatty liver disease: Validating the European Liver Fibrosis Panel and exploring simple markers.非酒精性脂肪性肝病纤维化的非侵入性标志物:验证欧洲肝纤维化检测组合并探索简易标志物
Hepatology. 2008 Feb;47(2):455-60. doi: 10.1002/hep.21984.
5
[Fibrosis markers in heavy alcohol drinkers].
Rinsho Byori. 2007 Aug;55(8):751-7.
6
The APRI may be enhanced by the use of the FIBROSpect II in the estimation of fibrosis in chronic hepatitis C.在慢性丙型肝炎纤维化评估中,使用FIBROSpect II可能会增强APRI(天冬氨酸氨基转移酶与血小板比值指数)。
Clin Chim Acta. 2007 Jun;381(2):119-23. doi: 10.1016/j.cca.2007.02.046. Epub 2007 Mar 19.
7
Prospective comparison of six non-invasive scores for the diagnosis of liver fibrosis in chronic hepatitis C.六种非侵入性评分用于诊断慢性丙型肝炎肝纤维化的前瞻性比较
J Hepatol. 2007 May;46(5):775-82. doi: 10.1016/j.jhep.2006.12.013. Epub 2007 Jan 26.
8
Effects of ethanol and acetaldehyde on reactive oxygen species production in rat hepatic stellate cells.
Alcohol Clin Exp Res. 2006 Aug;30(8):1429-35. doi: 10.1111/j.1530-0277.2006.00171.x.
9
Biomarkers for the prediction of liver fibrosis in patients with chronic alcoholic liver disease.用于预测慢性酒精性肝病患者肝纤维化的生物标志物。
Clin Gastroenterol Hepatol. 2005 Feb;3(2):167-74. doi: 10.1016/s1542-3565(04)00625-1.
10
Liver fibrosis.肝纤维化
J Clin Invest. 2005 Feb;115(2):209-18. doi: 10.1172/JCI24282.