• 文献检索
  • 文档翻译
  • 深度研究
  • 学术资讯
  • Suppr Zotero 插件Zotero 插件
  • 邀请有礼
  • 套餐&价格
  • 历史记录
应用&插件
Suppr Zotero 插件Zotero 插件浏览器插件Mac 客户端Windows 客户端微信小程序
定价
高级版会员购买积分包购买API积分包
服务
文献检索文档翻译深度研究API 文档MCP 服务
关于我们
关于 Suppr公司介绍联系我们用户协议隐私条款
关注我们

Suppr 超能文献

核心技术专利:CN118964589B侵权必究
粤ICP备2023148730 号-1Suppr @ 2026

文献检索

告别复杂PubMed语法,用中文像聊天一样搜索,搜遍4000万医学文献。AI智能推荐,让科研检索更轻松。

立即免费搜索

文件翻译

保留排版,准确专业,支持PDF/Word/PPT等文件格式,支持 12+语言互译。

免费翻译文档

深度研究

AI帮你快速写综述,25分钟生成高质量综述,智能提取关键信息,辅助科研写作。

立即免费体验

COPD 中的痰液中性粒细胞作为生物标志物:来自 ECLIPSE 研究的结果。

Sputum neutrophils as a biomarker in COPD: findings from the ECLIPSE study.

机构信息

University of Manchester, Medicines Evaluation Unit, South Manchester University Hospitals Trust, Southmoor Road, Manchester M23 9QZ, UK.

出版信息

Respir Res. 2010 Jun 15;11(1):77. doi: 10.1186/1465-9921-11-77.

DOI:10.1186/1465-9921-11-77
PMID:20550701
原文链接:https://pmc.ncbi.nlm.nih.gov/articles/PMC2904285/
Abstract

INTRODUCTION

The percentage of neutrophils in sputum are increased in COPD patients, and may therefore be a biomarker of airway inflammation. We studied the relationships between sputum neutrophils and FEV1, health status, exacerbation rates, systemic inflammation and emphysema, and long term variability at 1 year.

METHODS

Sputum samples were obtained from 488 COPD patients within the ECLIPSE cohort. 359 samples were obtained at baseline, and 297 after 1 year. 168 subjects provided samples at both visits. Serum interleukin-6 (IL-6), IL-8, surfactant protein D and C-reactive protein levels were measured by immunoassays. Low-dose CT scans evaluated emphysema.

RESULTS

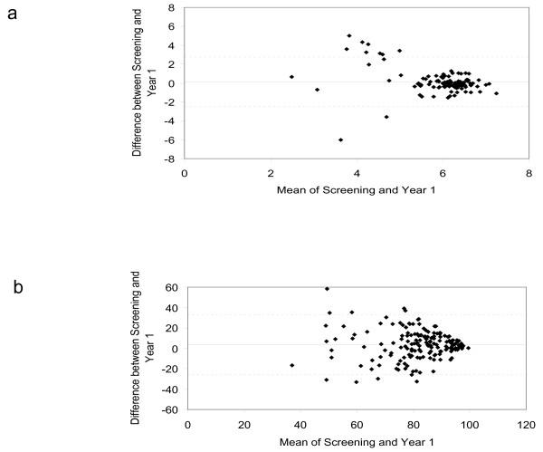
Sputum neutrophil % increased with GOLD stage. There was a weak association between % sputum neutrophils and FEV1 % predicted (univariate r2 = 0.025 and 0.094 at baseline and year 1 respectively, p < 0.05 after multivariate regression). Similar weak but significant associations were observed between neutrophil % and health status measured using the St Georges Respiratory Questionairre. There were no associations between neutrophils and exacerbation rates or emphysema. Associations between sputum neutrophils and systemic biomarkers were non-significant or similarly weak. The mean change over 1 year in neutrophil % was an increase of 3.5%.

CONCLUSIONS

Sputum neutrophil measurements in COPD are associated weakly with FEV1 % predicted and health status. Sputum neutrophil measurements were dissociated from exacerbation rates, emphysema and systemic inflammation.

摘要

简介

COPD 患者痰液中的中性粒细胞百分比增加,因此可能是气道炎症的生物标志物。我们研究了痰液中性粒细胞与 FEV1、健康状况、恶化率、全身炎症和肺气肿之间的关系,并研究了 1 年内的长期变异性。

方法

从 ECLIPSE 队列中的 488 名 COPD 患者中获得了痰液样本。359 个样本在基线时获得,297 个在 1 年后获得。168 名患者在两次就诊时均提供了样本。通过免疫测定法测量血清白细胞介素-6 (IL-6)、白细胞介素-8、表面活性剂蛋白 D 和 C 反应蛋白水平。低剂量 CT 扫描评估肺气肿。

结果

痰液中性粒细胞百分比随 GOLD 分期增加而增加。% 痰液中性粒细胞与 FEV1% 预测值之间存在弱相关性(单变量 r2 在基线和第 1 年分别为 0.025 和 0.094,多变量回归后 p < 0.05)。中性粒细胞%与使用圣乔治呼吸问卷测量的健康状况之间也观察到类似的弱但显著的相关性。中性粒细胞与恶化率或肺气肿之间没有关联。痰液中性粒细胞与全身生物标志物之间的关联无统计学意义或同样较弱。1 年内中性粒细胞%的平均变化为增加 3.5%。

结论

COPD 患者痰液中的中性粒细胞测量值与 FEV1% 预测值和健康状况弱相关。痰液中性粒细胞测量值与恶化率、肺气肿和全身炎症无关。

https://cdn.ncbi.nlm.nih.gov/pmc/blobs/7fe4/2904285/62a3489f17a4/1465-9921-11-77-3.jpg
https://cdn.ncbi.nlm.nih.gov/pmc/blobs/7fe4/2904285/6c2a6b3e42c5/1465-9921-11-77-1.jpg
https://cdn.ncbi.nlm.nih.gov/pmc/blobs/7fe4/2904285/9d11c63f6fe6/1465-9921-11-77-2.jpg
https://cdn.ncbi.nlm.nih.gov/pmc/blobs/7fe4/2904285/62a3489f17a4/1465-9921-11-77-3.jpg
https://cdn.ncbi.nlm.nih.gov/pmc/blobs/7fe4/2904285/6c2a6b3e42c5/1465-9921-11-77-1.jpg
https://cdn.ncbi.nlm.nih.gov/pmc/blobs/7fe4/2904285/9d11c63f6fe6/1465-9921-11-77-2.jpg
https://cdn.ncbi.nlm.nih.gov/pmc/blobs/7fe4/2904285/62a3489f17a4/1465-9921-11-77-3.jpg

相似文献

1
Sputum neutrophils as a biomarker in COPD: findings from the ECLIPSE study.COPD 中的痰液中性粒细胞作为生物标志物:来自 ECLIPSE 研究的结果。
Respir Res. 2010 Jun 15;11(1):77. doi: 10.1186/1465-9921-11-77.
2
Sputum inflammation predicts exacerbations after cessation of inhaled corticosteroids in COPD.痰炎症可预测 COPD 患者停用吸入性皮质类固醇后的恶化。
Respir Med. 2011 Dec;105(12):1853-60. doi: 10.1016/j.rmed.2011.07.002. Epub 2011 Jul 29.
3
A novel CT-emphysema index/FEV approach of phenotyping COPD to predict mortality.一种用于慢性阻塞性肺疾病(COPD)表型分析以预测死亡率的新型CT肺气肿指数/第一秒用力呼气容积(FEV)方法。
Int J Chron Obstruct Pulmon Dis. 2018 Aug 22;13:2543-2550. doi: 10.2147/COPD.S165898. eCollection 2018.
4
Five-year Progression of Emphysema and Air Trapping at CT in Smokers with and Those without Chronic Obstructive Pulmonary Disease: Results from the COPDGene Study.吸烟者中存在和不存在慢性阻塞性肺疾病(COPD)者的 CT 肺气肿和空气潴留的 5 年进展:来自 COPDGene 研究的结果。
Radiology. 2020 Apr;295(1):218-226. doi: 10.1148/radiol.2020191429. Epub 2020 Feb 4.
5
Emphysematous Phenotype is Characterized by Low Blood Eosinophils: A Cross-Sectional Study.肺气肿表型的特征是血液嗜酸性粒细胞水平低:一项横断面研究。
COPD. 2017 Dec;14(6):635-640. doi: 10.1080/15412555.2017.1386644. Epub 2017 Nov 3.
6
Total Airway Count on Computed Tomography and the Risk of Chronic Obstructive Pulmonary Disease Progression. Findings from a Population-based Study.基于人群研究的 CT 气道总计数与慢性阻塞性肺疾病进展风险。
Am J Respir Crit Care Med. 2018 Jan 1;197(1):56-65. doi: 10.1164/rccm.201704-0692OC.
7
Airway inflammation in Japanese COPD patients compared with smoking and nonsmoking controls.日本慢性阻塞性肺疾病患者与吸烟和非吸烟对照者的气道炎症比较。
Int J Chron Obstruct Pulmon Dis. 2015 Jan 23;10:185-92. doi: 10.2147/COPD.S74557. eCollection 2015.
8
Inflammatory changes, recovery and recurrence at COPD exacerbation.慢性阻塞性肺疾病急性加重期的炎症变化、恢复及复发
Eur Respir J. 2007 Mar;29(3):527-34. doi: 10.1183/09031936.00092506. Epub 2006 Nov 15.
9
Change in inflammation in out-patient COPD patients from stable phase to a subsequent exacerbation.门诊 COPD 患者从稳定期到随后加重期炎症变化。
Int J Chron Obstruct Pulmon Dis. 2009;4:101-9. doi: 10.2147/copd.s4854. Epub 2009 Apr 15.
10
Serum IL-1β and IL-17 levels in patients with COPD: associations with clinical parameters.慢性阻塞性肺疾病患者血清白细胞介素-1β和白细胞介素-17水平:与临床参数的关联
Int J Chron Obstruct Pulmon Dis. 2017 Apr 24;12:1247-1254. doi: 10.2147/COPD.S131877. eCollection 2017.

引用本文的文献

1
Neutrophil heterogeneity and plasticity: unveiling the multifaceted roles in health and disease.中性粒细胞的异质性与可塑性:揭示其在健康与疾病中的多方面作用。
MedComm (2020). 2025 Jan 21;6(2):e70063. doi: 10.1002/mco2.70063. eCollection 2025 Feb.
2
What every clinician should know about inflammation in COPD.每位临床医生都应了解的慢性阻塞性肺疾病中的炎症
ERJ Open Res. 2024 Sep 23;10(5). doi: 10.1183/23120541.00177-2024. eCollection 2024 Sep.
3
Self-report underestimates the frequency of the acute respiratory exacerbations of COPD but is associated with BAL neutrophilia and lymphocytosis: an observational study.

本文引用的文献

1
COPD phenotype description using principal components analysis.使用主成分分析的慢性阻塞性肺疾病表型描述
Respir Res. 2009 May 29;10(1):41. doi: 10.1186/1465-9921-10-41.
2
IL6 and CRP haplotypes are associated with COPD risk and systemic inflammation: a case-control study.白细胞介素6和C反应蛋白单倍型与慢性阻塞性肺疾病风险及全身炎症相关:一项病例对照研究。
BMC Med Genet. 2009 Mar 9;10:23. doi: 10.1186/1471-2350-10-23.
3
CXCR2 antagonists for the treatment of pulmonary disease.用于治疗肺部疾病的CXCR2拮抗剂。
自报数据低估了 COPD 急性呼吸恶化的频率,但与 BAL 中性粒细胞增多和淋巴细胞增多有关:一项观察性研究。
BMC Pulm Med. 2024 Sep 2;24(1):433. doi: 10.1186/s12890-024-03239-8.
4
Blocking IL-23 Signaling Mitigates Cigarette Smoke-Induced Murine Emphysema.阻断 IL-23 信号通路可减轻香烟烟雾诱导的小鼠肺气肿。
Environ Toxicol. 2024 Dec;39(12):5334-5346. doi: 10.1002/tox.24405. Epub 2024 Sep 2.
5
The cGAS-STING pathway in COPD: targeting its role and therapeutic potential.慢性阻塞性肺疾病中的cGAS-STING信号通路:靶向其作用及治疗潜力
Respir Res. 2024 Aug 7;25(1):302. doi: 10.1186/s12931-024-02915-x.
6
Phenotype to Treatable Traits-Based Management in Chronic Obstructive Pulmonary Disease.慢性阻塞性肺疾病中基于表型到可治疗特征的管理
Cureus. 2024 May 16;16(5):e60423. doi: 10.7759/cureus.60423. eCollection 2024 May.
7
Inflammation as the nexus: exploring the link between acute myocardial infarction and chronic obstructive pulmonary disease.炎症作为纽带:探索急性心肌梗死与慢性阻塞性肺疾病之间的联系
Front Cardiovasc Med. 2024 Feb 21;11:1362564. doi: 10.3389/fcvm.2024.1362564. eCollection 2024.
8
p38 MAPK signaling in chronic obstructive pulmonary disease pathogenesis and inhibitor therapeutics.p38 MAPK 信号通路在慢性阻塞性肺疾病发病机制及抑制剂治疗中的作用
Cell Commun Signal. 2023 Nov 2;21(1):314. doi: 10.1186/s12964-023-01337-4.
9
Bronchoalveolar Lavage Fluid from Chronic Obstructive Pulmonary Disease Patients Increases Neutrophil Chemotaxis Measured by a Microfluidic Platform.慢性阻塞性肺疾病患者的支气管肺泡灌洗液可增强通过微流控平台测量的中性粒细胞趋化性。
Micromachines (Basel). 2023 Sep 6;14(9):1740. doi: 10.3390/mi14091740.
10
Exacerbations of COPD.COPD 加重。
Respir Care. 2023 Jul;68(7):961-972. doi: 10.4187/respcare.10782.
Pharmacol Ther. 2009 Jan;121(1):55-68. doi: 10.1016/j.pharmthera.2008.10.005. Epub 2008 Oct 31.
4
Advances in neutrophil biology: clinical implications.中性粒细胞生物学进展:临床意义
Chest. 2008 Sep;134(3):606-612. doi: 10.1378/chest.08-0422.
5
Multifaceted mechanisms in COPD: inflammation, immunity, and tissue repair and destruction.慢性阻塞性肺疾病的多方面机制:炎症、免疫以及组织修复与破坏
Eur Respir J. 2008 Jun;31(6):1334-56. doi: 10.1183/09031936.00018908.
6
Pathogenesis of emphysema: from the bench to the bedside.肺气肿的发病机制:从 bench 到 bedside。 (注:bench和bedside在这里可能是专业领域内特定指代研究基础和临床应用等,因无更多背景较难准确翻译,字面意思分别是“实验台”和“床边” )
Proc Am Thorac Soc. 2008 May 1;5(4):475-7. doi: 10.1513/pats.200708-126ET.
7
Evaluation of COPD Longitudinally to Identify Predictive Surrogate End-points (ECLIPSE).慢性阻塞性肺疾病纵向评估以识别预测性替代终点(ECLIPSE)。
Eur Respir J. 2008 Apr;31(4):869-73. doi: 10.1183/09031936.00111707. Epub 2008 Jan 23.
8
Airway inflammation contributes to health status in COPD: a cross-sectional study.气道炎症对慢性阻塞性肺疾病(COPD)患者的健康状况有影响:一项横断面研究。
Respir Res. 2006 Nov 30;7(1):140. doi: 10.1186/1465-9921-7-140.
9
Association between markers of emphysema and more severe chronic obstructive pulmonary disease.肺气肿标志物与更严重慢性阻塞性肺疾病之间的关联。
Thorax. 2006 Dec;61(12):1037-42. doi: 10.1136/thx.2006.058321. Epub 2006 Jun 12.
10
Pulmonary biomarkers in chronic obstructive pulmonary disease.慢性阻塞性肺疾病中的肺生物标志物
Am J Respir Crit Care Med. 2006 Jul 1;174(1):6-14. doi: 10.1164/rccm.200510-1659PP. Epub 2006 Mar 23.