• 文献检索
  • 文档翻译
  • 深度研究
  • 学术资讯
  • Suppr Zotero 插件Zotero 插件
  • 邀请有礼
  • 套餐&价格
  • 历史记录
应用&插件
Suppr Zotero 插件Zotero 插件浏览器插件Mac 客户端Windows 客户端微信小程序
定价
高级版会员购买积分包购买API积分包
服务
文献检索文档翻译深度研究API 文档MCP 服务
关于我们
关于 Suppr公司介绍联系我们用户协议隐私条款
关注我们

Suppr 超能文献

核心技术专利:CN118964589B侵权必究
粤ICP备2023148730 号-1Suppr @ 2026

文献检索

告别复杂PubMed语法,用中文像聊天一样搜索,搜遍4000万医学文献。AI智能推荐,让科研检索更轻松。

立即免费搜索

文件翻译

保留排版,准确专业,支持PDF/Word/PPT等文件格式,支持 12+语言互译。

免费翻译文档

深度研究

AI帮你快速写综述,25分钟生成高质量综述,智能提取关键信息,辅助科研写作。

立即免费体验

调控灰色链霉菌中途径调控以提高烯二炔类抗肿瘤抗生素 C-1027 的产量。

Manipulation of pathway regulation in Streptomyces globisporus for overproduction of the enediyne antitumor antibiotic C-1027.

机构信息

Division of Pharmaceutical Sciences, School of Pharmacy, University of Wisconsin-Madison, Madison, WI 53705-2222, USA.

出版信息

J Antibiot (Tokyo). 2010 Aug;63(8):482-5. doi: 10.1038/ja.2010.55. Epub 2010 Jun 16.

DOI:10.1038/ja.2010.55
PMID:20551990
原文链接:https://pmc.ncbi.nlm.nih.gov/articles/PMC2929275/
Abstract

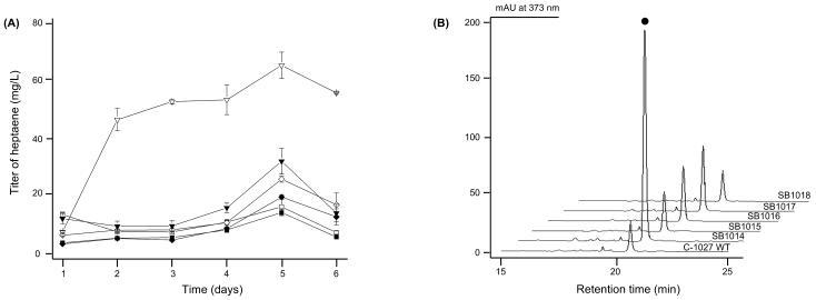
Manipulation of pathway regulation is an efficient strategy to increase specific secondary metabolite production. In this study, we successfully improved the production of both the enediyne antitumor antibiotic C-1027 and a heptaene, an early metabolite of the C-1027 pathway, by manipulating the three regulatory genes, sgcR1, sgcR2 and sgcR3, within the C-1027 biosynthetic gene cluster. SgcR3 has previously been established as an activator, and we now propose that SgcR1 and SgcR2 are also positive regulators based on their upregulation effects on titer and/or timing of heptaene and C-1027 production in Streptomyces globisporus. Specifically, overexpression of sgcR1 significantly improved the production of heptaene (about fivefold) and C-1027 (two- to threefold) compared with the wild-type strain. However, the titers of heptaene and C-1027 were not increased by overexpressing all the three activators together, underscoring the complexity of C-1027 biosynthetic pathway regulation. The possibility of exploiting the heptaene as a readily identifiable and unique indicator for rapidly detecting enediyne production was also assessed.

摘要

通路调控的操作为提高特定次生代谢产物的产量提供了一种有效的策略。在本研究中,我们成功地通过操纵 C-1027 生物合成基因簇中的三个调节基因 sgcR1、sgcR2 和 sgcR3,提高了烯二炔抗肿瘤抗生素 C-1027 和庚烯,即 C-1027 途径的早期代谢物的产量。此前已经证实 SgcR3 是一种激活剂,根据其对庚烯和 C-1027 产量的上调作用,我们现在提出 SgcR1 和 SgcR2 也是正调控因子。在球形链霉菌中。具体来说,与野生型菌株相比,sgcR1 的过表达显著提高了庚烯(约五倍)和 C-1027(两倍至三倍)的产量。然而,过表达所有三个激活剂并没有增加庚烯和 C-1027 的产量,这突显了 C-1027 生物合成途径调控的复杂性。还评估了将庚烯用作快速检测烯二炔产生的易于识别和独特的指示剂的可能性。

https://cdn.ncbi.nlm.nih.gov/pmc/blobs/f0ab/2929275/b5c6bca68d7e/nihms-207205-f0003.jpg
https://cdn.ncbi.nlm.nih.gov/pmc/blobs/f0ab/2929275/2301ae7e3f85/nihms-207205-f0001.jpg
https://cdn.ncbi.nlm.nih.gov/pmc/blobs/f0ab/2929275/bbf55986c1b7/nihms-207205-f0002.jpg
https://cdn.ncbi.nlm.nih.gov/pmc/blobs/f0ab/2929275/b5c6bca68d7e/nihms-207205-f0003.jpg
https://cdn.ncbi.nlm.nih.gov/pmc/blobs/f0ab/2929275/2301ae7e3f85/nihms-207205-f0001.jpg
https://cdn.ncbi.nlm.nih.gov/pmc/blobs/f0ab/2929275/bbf55986c1b7/nihms-207205-f0002.jpg
https://cdn.ncbi.nlm.nih.gov/pmc/blobs/f0ab/2929275/b5c6bca68d7e/nihms-207205-f0003.jpg

相似文献

1
Manipulation of pathway regulation in Streptomyces globisporus for overproduction of the enediyne antitumor antibiotic C-1027.调控灰色链霉菌中途径调控以提高烯二炔类抗肿瘤抗生素 C-1027 的产量。
J Antibiot (Tokyo). 2010 Aug;63(8):482-5. doi: 10.1038/ja.2010.55. Epub 2010 Jun 16.
2
Role of sgcR3 in positive regulation of enediyne antibiotic C-1027 production of Streptomyces globisporus C-1027.sgcR3在球孢链霉菌C-1027的烯二炔类抗生素C-1027产生的正调控中的作用
BMC Microbiol. 2009 Jan 22;9:14. doi: 10.1186/1471-2180-9-14.
3
Improvement of the enediyne antitumor antibiotic C-1027 production by manipulating its biosynthetic pathway regulation in Streptomyces globisporus.通过调控棘孢小单孢菌中烯二炔类抗肿瘤抗生素 C-1027 的生物合成途径来提高其产量。
J Nat Prod. 2011 Mar 25;74(3):420-4. doi: 10.1021/np100825y. Epub 2011 Jan 21.
4
Draft genome sequence of Streptomyces globisporus C-1027, which produces an antitumor antibiotic consisting of a nine-membered enediyne with a chromoprotein.球形孢链霉菌C-1027的基因组序列草图,该菌株产生一种由带有色蛋白的九元烯二炔组成的抗肿瘤抗生素。
J Bacteriol. 2012 Aug;194(15):4144. doi: 10.1128/JB.00797-12.
5
Binding of a biosynthetic intermediate to AtrA modulates the production of lidamycin by Streptomyces globisporus.生物合成中间体与AtrA的结合调节了球形链霉菌利达霉素的产生。
Mol Microbiol. 2015 Jun;96(6):1257-71. doi: 10.1111/mmi.13004. Epub 2015 Apr 24.
6
Characterization of SgcE6, the flavin reductase component supporting FAD-dependent halogenation and hydroxylation in the biosynthesis of the enediyne antitumor antibiotic C-1027.SgcE6的特性研究,SgcE6是一种黄素还原酶成分,在烯二炔类抗肿瘤抗生素C-1027的生物合成中支持依赖黄素腺嘌呤二核苷酸(FAD)的卤化和羟基化反应。
FEMS Microbiol Lett. 2009 Nov;300(2):237-41. doi: 10.1111/j.1574-6968.2009.01802.x. Epub 2009 Sep 27.
7
Biochemical characterization of the SgcA1 alpha-D-glucopyranosyl-1-phosphate thymidylyltransferase from the enediyne antitumor antibiotic C-1027 biosynthetic pathway and overexpression of sgcA1 in Streptomyces globisporus to improve C-1027 production.来自烯二炔类抗肿瘤抗生素C-1027生物合成途径的SgcA1α-D-吡喃葡萄糖基-1-磷酸胸苷酰转移酶的生化特性及在球形链霉菌中过表达sgcA1以提高C-1027产量
J Nat Prod. 2004 Feb;67(2):206-13. doi: 10.1021/np0340403.
8
Improvement of secondary metabolite production in Streptomyces by manipulating pathway regulation.通过操纵途径调控提高链霉菌次级代谢产物的产量。
Appl Microbiol Biotechnol. 2010 Mar;86(1):19-25. doi: 10.1007/s00253-009-2428-3. Epub 2010 Jan 21.
9
Disruption of cagA, the apoprotein gene of chromoprotein antibiotic C-1027, eliminates holo-antibiotic production, but not the cytotoxic chromophore.cagA 基因(色素抗生素 C-1027 的脱辅基蛋白基因)的破坏消除了全抗生素的产生,但不影响细胞毒性色素。
FEMS Microbiol Lett. 2009 Nov;301(1):57-68. doi: 10.1111/j.1574-6968.2009.01800.x. Epub 2009 Sep 21.
10
Discovery of Alternative Producers of the Enediyne Antitumor Antibiotic C-1027 with High Titers.发现具有高产量的烯二炔类抗肿瘤抗生素 C-1027 的替代生产者。
J Nat Prod. 2018 Mar 23;81(3):594-599. doi: 10.1021/acs.jnatprod.7b01013. Epub 2018 Jan 18.

引用本文的文献

1
Enediyne natural product biosynthesis unified by a diiodotetrayne intermediate.二碘四炔中间体统一的烯二炔天然产物生物合成。
Nat Chem Biol. 2024 Sep;20(9):1210-1219. doi: 10.1038/s41589-024-01636-y. Epub 2024 Jun 3.
2
Progressive drought alters the root exudate metabolome and differentially activates metabolic pathways in cotton ().渐进性干旱会改变棉花根系分泌物的代谢组,并差异激活棉花中的代谢途径。
Front Plant Sci. 2023 Aug 30;14:1244591. doi: 10.3389/fpls.2023.1244591. eCollection 2023.
3
Discovery of pentaene polyols by the activation of an enediyne gene cluster: biosynthetic implications for 9-membered enediyne core structures.

本文引用的文献

1
Polyketide synthase chemistry does not direct biosynthetic divergence between 9- and 10-membered enediynes.聚酮合酶化学并不能指导 9-和 10-元烯二炔生物合成的差异。
Proc Natl Acad Sci U S A. 2010 Jun 22;107(25):11331-5. doi: 10.1073/pnas.1003442107. Epub 2010 Jun 7.
2
Improvement of secondary metabolite production in Streptomyces by manipulating pathway regulation.通过操纵途径调控提高链霉菌次级代谢产物的产量。
Appl Microbiol Biotechnol. 2010 Mar;86(1):19-25. doi: 10.1007/s00253-009-2428-3. Epub 2010 Jan 21.
3
Characterization of the SgcF epoxide hydrolase supporting an (R)-vicinal diol intermediate for enediyne antitumor antibiotic C-1027 biosynthesis.
通过激活烯二炔基因簇发现戊二烯多元醇:对九元烯二炔核心结构的生物合成意义
Chem Sci. 2022 Oct 31;13(45):13475-13481. doi: 10.1039/d2sc04379c. eCollection 2022 Nov 23.
4
Biosynthetic Potential of Rationalizes Genome-Based Bioprospecting.基于基因组的生物勘探的合理生物合成潜力
Antibiotics (Basel). 2021 Jul 19;10(7):873. doi: 10.3390/antibiotics10070873.
5
Submerged fermentation of Streptomyces uncialis providing a biotechnology platform for uncialamycin biosynthesis, engineering, and production.链霉菌的深层发酵为安丝菌素的生物合成、工程改造及生产提供了一个生物技术平台。
J Ind Microbiol Biotechnol. 2021 Jun 4;48(3-4). doi: 10.1093/jimb/kuab025.
6
Anti-MRSA Activity of Actinomycin X and Collismycin A Produced by WA5-2-37 From the Intestinal Tract of American Cockroach ().源自美洲大蠊肠道的WA5-2-37所产放线菌素X和可利霉素A的抗耐甲氧西林金黄色葡萄球菌活性
Front Microbiol. 2020 Apr 7;11:555. doi: 10.3389/fmicb.2020.00555. eCollection 2020.
7
Leveraging a large microbial strain collection for natural product discovery.利用大型微生物菌株资源库进行天然产物发现。
J Biol Chem. 2019 Nov 8;294(45):16567-16576. doi: 10.1074/jbc.REV119.006514. Epub 2019 Sep 30.
8
Challenges and opportunities for natural product discovery, production, and engineering in native producers versus heterologous hosts.天然产物发现、生产和工程在天然产生者与异源宿主中的挑战与机遇。
J Ind Microbiol Biotechnol. 2019 Mar;46(3-4):433-444. doi: 10.1007/s10295-018-2094-5. Epub 2018 Nov 13.
9
Discovery of Alternative Producers of the Enediyne Antitumor Antibiotic C-1027 with High Titers.发现具有高产量的烯二炔类抗肿瘤抗生素 C-1027 的替代生产者。
J Nat Prod. 2018 Mar 23;81(3):594-599. doi: 10.1021/acs.jnatprod.7b01013. Epub 2018 Jan 18.
10
Crystal structure of SgcJ, an NTF2-like superfamily protein involved in biosynthesis of the nine-membered enediyne antitumor antibiotic C-1027.SgcJ的晶体结构,SgcJ是一种参与九元烯二炔抗肿瘤抗生素C-1027生物合成的类NTF2超家族蛋白。
J Antibiot (Tokyo). 2016 Oct;69(10):731-740. doi: 10.1038/ja.2016.88. Epub 2016 Jul 13.
鉴定支持(R)-顺式二醇中间体形成的 SgcF 环氧化物水解酶,用于烯二炔类抗肿瘤抗生素 C-1027 的生物合成。
J Am Chem Soc. 2009 Nov 18;131(45):16410-7. doi: 10.1021/ja901242s.
4
Production of octaketide polyenes by the calicheamicin polyketide synthase CalE8: implications for the biosynthesis of enediyne core structures.由加利车霉素聚酮合酶CalE8合成八酮多烯:对烯二炔核心结构生物合成的启示
J Am Chem Soc. 2009 Sep 9;131(35):12564-6. doi: 10.1021/ja904391r.
5
A free-standing condensation enzyme catalyzing ester bond formation in C-1027 biosynthesis.一种在C-1027生物合成中催化酯键形成的独立缩合酶。
Proc Natl Acad Sci U S A. 2009 Mar 17;106(11):4183-8. doi: 10.1073/pnas.0808880106. Epub 2009 Feb 25.
6
Role of sgcR3 in positive regulation of enediyne antibiotic C-1027 production of Streptomyces globisporus C-1027.sgcR3在球孢链霉菌C-1027的烯二炔类抗生素C-1027产生的正调控中的作用
BMC Microbiol. 2009 Jan 22;9:14. doi: 10.1186/1471-2180-9-14.
7
Improving production of bioactive secondary metabolites in actinomycetes by metabolic engineering.通过代谢工程提高放线菌中生物活性次级代谢产物的产量。
Metab Eng. 2008 Sep;10(5):281-92. doi: 10.1016/j.ymben.2008.07.001. Epub 2008 Jul 15.
8
Biosynthesis of enediyne antitumor antibiotics.烯二炔类抗肿瘤抗生素的生物合成
Curr Top Med Chem. 2008;8(6):448-59. doi: 10.2174/156802608783955656.
9
Enediyne anticancer antibiotic lidamycin: chemistry, biology and pharmacology.烯二炔类抗癌抗生素力达霉素:化学、生物学与药理学
Anticancer Agents Med Chem. 2008 Feb;8(2):123-31. doi: 10.2174/187152008783497055.
10
A phosphopantetheinylating polyketide synthase producing a linear polyene to initiate enediyne antitumor antibiotic biosynthesis.一种产生线性多烯以启动烯二炔类抗肿瘤抗生素生物合成的磷酸泛酰巯基乙胺化聚酮合酶。
Proc Natl Acad Sci U S A. 2008 Feb 5;105(5):1460-5. doi: 10.1073/pnas.0711625105. Epub 2008 Jan 25.