Suppr超能文献

一种基于 CYP2C9 和 VKORC1 等位基因变异预测新型香豆素类药物剂量的单算法方法。

A novel, single algorithm approach to predict acenocoumarol dose based on CYP2C9 and VKORC1 allele variants.

机构信息

Universidad Europea de Madrid, Madrid, Spain.

出版信息

PLoS One. 2010 Jun 18;5(6):e11210. doi: 10.1371/journal.pone.0011210.

Abstract

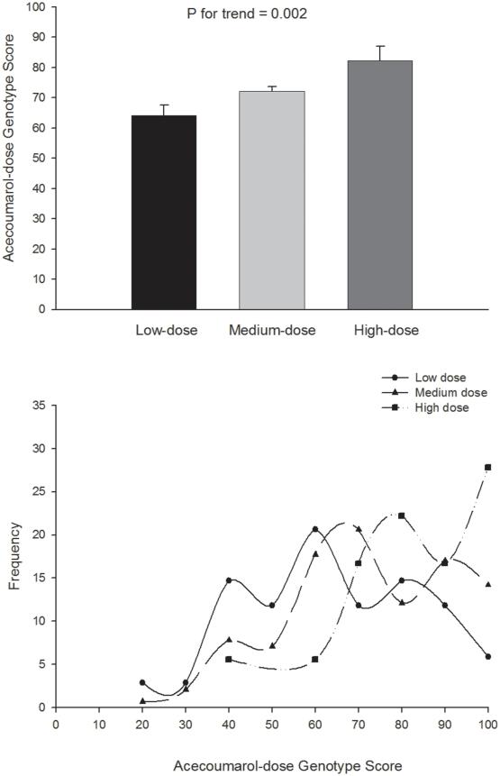
The identification of CYP2C9 and VKORC1 genes has strongly stimulated the research on pharmacogenetics of coumarins in the last decade. We assessed the combined influence of CYP2C9 *2 and *3, and VKORC1 c.-1639G>A, 497C>G, and 1173C>T variants, on acenocoumarol dosage using a novel algorithm approach, in 193 outpatients who had achieved stable anticoagulation. We constructed an "acenocoumarol-dose genotype score" (AGS, maximum score = 100) based on the number of alleles associated with higher acenocoumarol dosage carried by each subject for each polymorphism. The mean AGS was higher in the high-dose (> 28 mg/week) compared with the low-dose (< 7 mg/week) group (mean(SEM) of 84.1+/-3.4 vs. 62.2+/-4.8, P = 0.008). An AGS > 70 was associated with an increased odds ratio (OR) of requiring high acenocoumarol dosage (OR: 3.347; 95%CI: 1.112-10.075; P = 0.032). In summary, although more research is necessary in other patient cohorts, and this algorithm should be replicated in an independent sample, our data suggest that the AGS algorithm could be used to help discriminating patients requiring high acenocoumarol doses to achieve stable anti-coagulation.

摘要

CYP2C9 和 VKORC1 基因的鉴定在过去十年中极大地推动了香豆素类药物的遗传药理学研究。我们采用一种新的算法方法,评估了 CYP2C92 和3 以及 VKORC1 c.-1639G>A、497C>G 和 1173C>T 变体对 193 例稳定抗凝门诊患者的乙酰香豆素剂量的联合影响。我们根据每个患者每个多态性携带的与较高乙酰香豆素剂量相关的等位基因数,构建了一个“乙酰香豆素剂量基因型评分”(AGS,最高得分为 100)。高剂量(>28 毫克/周)组的平均 AGS 高于低剂量(<7 毫克/周)组(平均值(SEM)分别为 84.1+/-3.4 和 62.2+/-4.8,P=0.008)。AGS>70 与需要高乙酰香豆素剂量的几率比(OR)增加相关(OR:3.347;95%CI:1.112-10.075;P=0.032)。总之,尽管还需要在其他患者队列中进行更多的研究,并且应该在独立样本中复制该算法,但我们的数据表明,AGS 算法可用于帮助区分需要高乙酰香豆素剂量以实现稳定抗凝的患者。

https://cdn.ncbi.nlm.nih.gov/pmc/blobs/a2c4/2887839/cecdcc8f09f9/pone.0011210.g001.jpg

文献AI研究员

20分钟写一篇综述,助力文献阅读效率提升50倍。

立即体验

用中文搜PubMed

大模型驱动的PubMed中文搜索引擎

马上搜索

文档翻译

学术文献翻译模型,支持多种主流文档格式。

立即体验