Suppr超能文献

设计和使用纳米结构单原子多相催化剂,用于精细化学品的选择性转化。

Design and use of nanostructured single-site heterogeneous catalysts for the selective transformation of fine chemicals.

机构信息

CNR-Istituto di Scienze e Tecnologie Molecolari, Via C. Golgi 19, 20133, Milano, Italy.

出版信息

Molecules. 2010 May 26;15(6):3829-56. doi: 10.3390/molecules15063829.

Abstract

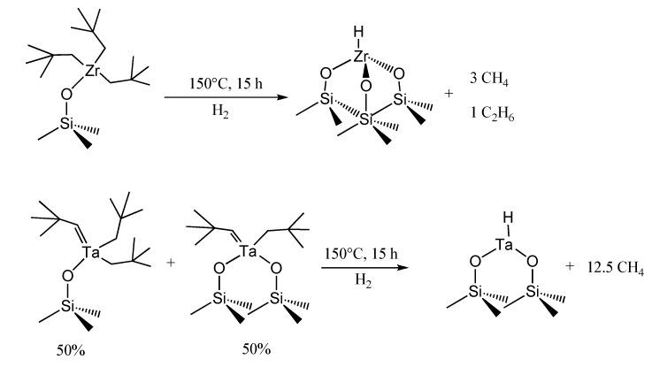
Nanostructured single-site heterogeneous catalysts possess the advantages of classical solid catalysts, in terms of easy recovery and recycling, together with a defined tailored chemical and steric environment around the catalytically active metal site. The use of inorganic oxide supports with selected shape and porosity at a nanometric level may have a relevant impact on the regio- and stereochemistry of the catalytic reaction. Analogously, by choosing the optimal preparation techniques to obtain spatially isolated and well-characterised active sites, it is possible to achieve performances that are comparable to (or, in the most favourable cases, better than) those obtained with homogeneous systems. Such catalysts are therefore particularly suitable for the transformation of highly-functionalised fine chemicals and some relevant examples where high chemo-, regio- and stereoselectivity are crucial will be described.

摘要

纳米结构单原子非均相催化剂具有经典固体催化剂的优点,易于回收和再循环,并且在催化活性金属位周围具有限定的、定制的化学和空间环境。在纳米级选择具有特定形状和孔隙率的无机氧化物载体可能会对催化反应的区域和立体化学产生相关影响。类似地,通过选择最佳的制备技术来获得空间隔离且具有良好特征的活性位,可以实现与均相体系相当(或者在最有利的情况下更好)的性能。因此,这些催化剂特别适用于高官能化精细化学品的转化,并且将描述一些相关的例子,其中高化学选择性、区域选择性和立体选择性是至关重要的。

https://cdn.ncbi.nlm.nih.gov/pmc/blobs/35ea/6264315/029f3be08a1d/molecules-15-03829-g001.jpg

文献AI研究员

20分钟写一篇综述,助力文献阅读效率提升50倍。

立即体验

用中文搜PubMed

大模型驱动的PubMed中文搜索引擎

马上搜索

文档翻译

学术文献翻译模型,支持多种主流文档格式。

立即体验