Suppr超能文献

Bohlmann-Rahtz 环脱水反应:使用 N-碘代丁二酰亚胺将氨二烯酮转化为吡啶。

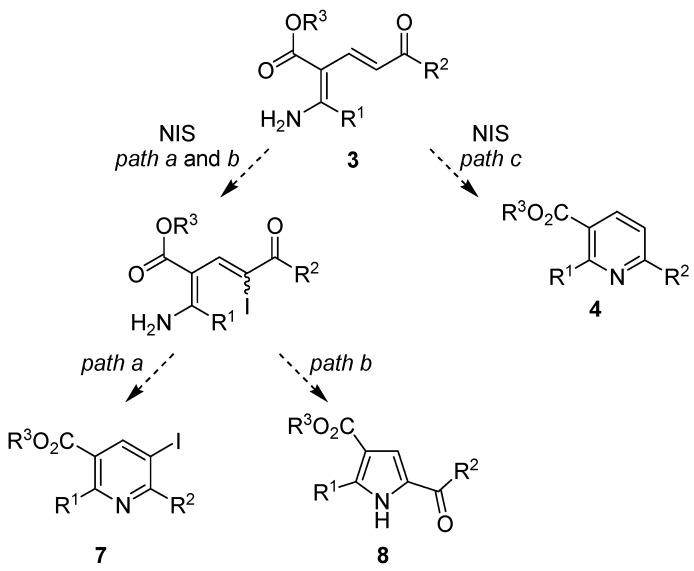
Bohlmann-Rahtz cyclodehydration of aminodienones to pyridines using N-iodosuccinimide.

机构信息

School of Chemistry, Main Building, Cardiff University, Park Place, Cardiff, CF10 3AT, UK.

出版信息

Molecules. 2010 Apr 30;15(5):3211-27. doi: 10.3390/molecules15053211.

Abstract

Cyclodehydration of Bohlmann-Rahtz aminodienone intermediates using N-iodosuccinimide as a Lewis acid proceeds at low temperature under very mild conditions to give the corresponding 2,3,6-trisubstituted pyridines in high yield and with total regiocontrol.

摘要

Bohlmann-Rahtz 氨二烯酮中间体的环脱水反应在低温下,使用 N-碘代丁二酰亚胺作为路易斯酸,在非常温和的条件下进行,以高产率和完全区域控制得到相应的 2,3,6-三取代吡啶。

https://cdn.ncbi.nlm.nih.gov/pmc/blobs/728b/6263277/e422ad043714/molecules-15-03211-g001.jpg

文献AI研究员

20分钟写一篇综述,助力文献阅读效率提升50倍。

立即体验

用中文搜PubMed

大模型驱动的PubMed中文搜索引擎

马上搜索

文档翻译

学术文献翻译模型,支持多种主流文档格式。

立即体验