• 文献检索
  • 文档翻译
  • 深度研究
  • 学术资讯
  • Suppr Zotero 插件Zotero 插件
  • 邀请有礼
  • 套餐&价格
  • 历史记录
应用&插件
Suppr Zotero 插件Zotero 插件浏览器插件Mac 客户端Windows 客户端微信小程序
定价
高级版会员购买积分包购买API积分包
服务
文献检索文档翻译深度研究API 文档MCP 服务
关于我们
关于 Suppr公司介绍联系我们用户协议隐私条款
关注我们

Suppr 超能文献

核心技术专利:CN118964589B侵权必究
粤ICP备2023148730 号-1Suppr @ 2026

文献检索

告别复杂PubMed语法,用中文像聊天一样搜索,搜遍4000万医学文献。AI智能推荐,让科研检索更轻松。

立即免费搜索

文件翻译

保留排版,准确专业,支持PDF/Word/PPT等文件格式,支持 12+语言互译。

免费翻译文档

深度研究

AI帮你快速写综述,25分钟生成高质量综述,智能提取关键信息,辅助科研写作。

立即免费体验

使用定制的外显子连接微阵列对正常细胞和癌细胞中的 Ciz1 剪接变体进行差异检测。

Differential detection of alternatively spliced variants of Ciz1 in normal and cancer cells using a custom exon-junction microarray.

机构信息

Department of Biology, University of York, UK.

出版信息

BMC Cancer. 2010 Sep 10;10:482. doi: 10.1186/1471-2407-10-482.

DOI:10.1186/1471-2407-10-482
PMID:20831784
原文链接:https://pmc.ncbi.nlm.nih.gov/articles/PMC2945943/
Abstract

BACKGROUND

Ciz1 promotes initiation of mammalian DNA replication and is present within nuclear matrix associated DNA replication factories. Depletion of Ciz1 from normal and cancer cells restrains entry to S phase and inhibits cell proliferation. Several alternative splicing events with putative functional consequences have been identified and reported, but many more variants are predicted to exist based on publicly available mRNAs and expressed sequence tags.

METHODS

Here we report the development and validation of a custom exon and exon-junction microarray focused on the human CIZ1 gene, capable of reproducible detection of differential splice-variant expression.

RESULTS

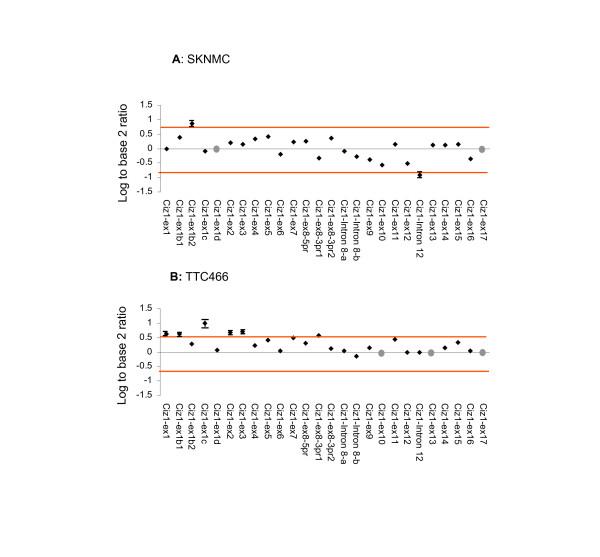
Using a pair of paediatric cancer cell lines and a pool of eight normal lines as reference, the array identified expected and novel CIZ1 splicing events. One novel variant (delta 8-12) that encodes a predicted protein lacking key functional sites, was validated by quantitative RT-PCR and found to be over-represented in a range of other cancer cell lines, and over half of a panel of primary lung tumours.

CONCLUSIONS

Expression of CIZ1 delta 8-12 appears to be restricted to cancer cells, and may therefore be a useful novel biomarker.

摘要

背景

Ciz1 促进哺乳动物 DNA 复制的起始,存在于核基质相关的 DNA 复制工厂中。从正常和癌细胞中耗尽 Ciz1 会抑制进入 S 期并抑制细胞增殖。已经鉴定并报道了几种具有潜在功能影响的替代剪接事件,但根据公开的 mRNA 和表达序列标签,预计存在更多的变体。

方法

在这里,我们报告了一种针对人类 CIZ1 基因的定制外显子和外显子-连接微阵列的开发和验证,该阵列能够重现性地检测差异剪接变体的表达。

结果

使用一对儿科癌细胞系和一组 8 个正常系作为参考,该阵列鉴定出了预期和新的 CIZ1 剪接事件。一种新的变体(delta 8-12)编码一种缺少关键功能位点的预测蛋白,通过定量 RT-PCR 进行了验证,并在一系列其他癌细胞系中发现存在,并且在一组原发性肺癌肿瘤中超过一半。

结论

CIZ1 delta 8-12 的表达似乎仅限于癌细胞,因此可能是一种有用的新型生物标志物。

https://cdn.ncbi.nlm.nih.gov/pmc/blobs/3e7e/2945943/16e957095710/1471-2407-10-482-6.jpg
https://cdn.ncbi.nlm.nih.gov/pmc/blobs/3e7e/2945943/2c8fdec4cd95/1471-2407-10-482-1.jpg
https://cdn.ncbi.nlm.nih.gov/pmc/blobs/3e7e/2945943/dbb31b9ecef4/1471-2407-10-482-2.jpg
https://cdn.ncbi.nlm.nih.gov/pmc/blobs/3e7e/2945943/e46008d10912/1471-2407-10-482-3.jpg
https://cdn.ncbi.nlm.nih.gov/pmc/blobs/3e7e/2945943/6eed02dee428/1471-2407-10-482-4.jpg
https://cdn.ncbi.nlm.nih.gov/pmc/blobs/3e7e/2945943/ae6b493a9882/1471-2407-10-482-5.jpg
https://cdn.ncbi.nlm.nih.gov/pmc/blobs/3e7e/2945943/16e957095710/1471-2407-10-482-6.jpg
https://cdn.ncbi.nlm.nih.gov/pmc/blobs/3e7e/2945943/2c8fdec4cd95/1471-2407-10-482-1.jpg
https://cdn.ncbi.nlm.nih.gov/pmc/blobs/3e7e/2945943/dbb31b9ecef4/1471-2407-10-482-2.jpg
https://cdn.ncbi.nlm.nih.gov/pmc/blobs/3e7e/2945943/e46008d10912/1471-2407-10-482-3.jpg
https://cdn.ncbi.nlm.nih.gov/pmc/blobs/3e7e/2945943/6eed02dee428/1471-2407-10-482-4.jpg
https://cdn.ncbi.nlm.nih.gov/pmc/blobs/3e7e/2945943/ae6b493a9882/1471-2407-10-482-5.jpg
https://cdn.ncbi.nlm.nih.gov/pmc/blobs/3e7e/2945943/16e957095710/1471-2407-10-482-6.jpg

相似文献

1
Differential detection of alternatively spliced variants of Ciz1 in normal and cancer cells using a custom exon-junction microarray.使用定制的外显子连接微阵列对正常细胞和癌细胞中的 Ciz1 剪接变体进行差异检测。
BMC Cancer. 2010 Sep 10;10:482. doi: 10.1186/1471-2407-10-482.
2
Cancer-associated missplicing of exon 4 influences the subnuclear distribution of the DNA replication factor CIZ1.外显子4的癌症相关错义剪接影响DNA复制因子CIZ1的核内分布。
Hum Mutat. 2007 Oct;28(10):993-1004. doi: 10.1002/humu.20550.
3
CIZ1-F, an alternatively spliced variant of the DNA replication protein CIZ1 with distinct expression and localisation, is overrepresented in early stage common solid tumours.CIZ1-F,一种 DNA 复制蛋白 CIZ1 的可变剪接变体,具有不同的表达和定位,在早期常见实体肿瘤中过度表达。
Cell Cycle. 2018;17(18):2268-2283. doi: 10.1080/15384101.2018.1526600. Epub 2018 Oct 6.
4
Ciz1 promotes mammalian DNA replication.Ciz1促进哺乳动物的DNA复制。
J Cell Sci. 2005 Jan 1;118(Pt 1):101-12. doi: 10.1242/jcs.01599. Epub 2004 Dec 7.
5
Differentially expressed alternatively spliced genes in malignant pleural mesothelioma identified using massively parallel transcriptome sequencing.采用大规模平行转录组测序鉴定恶性胸膜间皮瘤中差异表达的可变剪接基因。
BMC Med Genet. 2009 Dec 31;10:149. doi: 10.1186/1471-2350-10-149.
6
Cancer-associated variant expression and interaction of CIZ1 with cyclin A1 in differentiating male germ cells.癌相关变异表达和 CIZ1 与细胞周期蛋白 A1 在分化的雄性生殖细胞中的相互作用。
J Cell Sci. 2012 May 15;125(Pt 10):2466-77. doi: 10.1242/jcs.101097. Epub 2012 Feb 24.
7
Alternative splicing of MDM2 mRNA in lung carcinomas and lung cell lines.肺癌及肺细胞系中MDM2信使核糖核酸的可变剪接
Environ Mol Mutagen. 2005 Jul;46(1):1-11. doi: 10.1002/em.20118.
8
Alternative splicing and differential gene expression in colon cancer detected by a whole genome exon array.通过全基因组外显子阵列检测结肠癌中的可变剪接和差异基因表达。
BMC Genomics. 2006 Dec 27;7:325. doi: 10.1186/1471-2164-7-325.
9
Consequences of Cre-mediated deletion of Ciz1 exon 5 in mice.Cre 介导的 Ciz1 外显子 5 缺失对小鼠的影响。
FEBS Lett. 2018 Sep;592(18):3101-3110. doi: 10.1002/1873-3468.13221. Epub 2018 Aug 29.
10
Ewing sarcoma.尤因肉瘤。
Semin Diagn Pathol. 2014 Jan;31(1):39-47. doi: 10.1053/j.semdp.2014.01.002. Epub 2014 Jan 5.

引用本文的文献

1
Epigenetic deprogramming by disruption of CIZ1-RNA nuclear assemblies in early-stage breast cancers.早期乳腺癌中通过破坏CIZ1-RNA核组装实现的表观遗传重编程。
J Cell Biol. 2025 May 5;224(5). doi: 10.1083/jcb.202409123. Epub 2025 Mar 11.
2
Epigenetic instability caused by absence of CIZ1 drives transformation during quiescence cycles.由于 CIZ1 的缺失导致的表观遗传不稳定性在静止周期中驱动转化。
BMC Biol. 2023 Aug 15;21(1):175. doi: 10.1186/s12915-023-01671-6.
3
Prion-like domains drive CIZ1 assembly formation at the inactive X chromosome.

本文引用的文献

1
Ciz1 cooperates with cyclin-A-CDK2 to activate mammalian DNA replication in vitro.Ciz1 通过与细胞周期蛋白 A-CDK2 合作在体外激活哺乳动物 DNA 复制。
J Cell Sci. 2010 Apr 1;123(Pt 7):1108-15. doi: 10.1242/jcs.059345. Epub 2010 Mar 9.
2
Glucocorticoid receptor activation of the Ciz1-Lcn2 locus by long range interactions.糖皮质激素受体通过长程相互作用激活Ciz1-Lcn2基因座
J Biol Chem. 2009 Mar 6;284(10):6048-52. doi: 10.1074/jbc.C800212200. Epub 2009 Jan 5.
3
Post-transcriptional regulation of gene expression by alternative 5'-untranslated regions in carcinogenesis.
类朊结构域驱动 CIZ1 在失活 X 染色体上的组装形成。
J Cell Biol. 2022 Apr 4;221(4). doi: 10.1083/jcb.202103185. Epub 2022 Mar 15.
4
CIZ1-F, an alternatively spliced variant of the DNA replication protein CIZ1 with distinct expression and localisation, is overrepresented in early stage common solid tumours.CIZ1-F,一种 DNA 复制蛋白 CIZ1 的可变剪接变体,具有不同的表达和定位,在早期常见实体肿瘤中过度表达。
Cell Cycle. 2018;17(18):2268-2283. doi: 10.1080/15384101.2018.1526600. Epub 2018 Oct 6.
5
The nuclear matrix protein CIZ1 facilitates localization of Xist RNA to the inactive X-chromosome territory.核基质蛋白CIZ1促进Xist RNA定位于失活的X染色体区域。
Genes Dev. 2017 May 1;31(9):876-888. doi: 10.1101/gad.295907.117. Epub 2017 May 25.
6
A quantitative immunoassay for lung cancer biomarker CIZ1b in patient plasma.一种用于检测患者血浆中肺癌生物标志物CIZ1b的定量免疫测定法。
Clin Biochem. 2017 Apr;50(6):336-343. doi: 10.1016/j.clinbiochem.2016.11.015. Epub 2016 Nov 17.
7
Motor phenotypes and molecular networks associated with germline deficiency of Ciz1.与Ciz1种系缺陷相关的运动表型和分子网络。
Exp Neurol. 2016 Sep;283(Pt A):110-20. doi: 10.1016/j.expneurol.2016.05.006. Epub 2016 May 7.
8
The Role of Cdkn1A-Interacting Zinc Finger Protein 1 (CIZ1) in DNA Replication and Pathophysiology.Cdkn1A 相互作用锌指蛋白 1(CIZ1)在 DNA 复制和病理生理学中的作用。
Int J Mol Sci. 2016 Feb 5;17(2):212. doi: 10.3390/ijms17020212.
9
Transcriptional Dynamics of Immortalized Human Mesenchymal Stem Cells during Transformation.永生化人骨髓间充质干细胞在转化过程中的转录动力学
PLoS One. 2015 May 15;10(5):e0126562. doi: 10.1371/journal.pone.0126562. eCollection 2015.
10
CIZ1 promoted the growth and migration of gallbladder cancer cells.CIZ1促进胆囊癌细胞的生长和迁移。
Tumour Biol. 2015 Apr;36(4):2583-91. doi: 10.1007/s13277-014-2876-y. Epub 2014 Nov 28.
致癌过程中由可变5'非翻译区对基因表达进行的转录后调控。
Biochem Soc Trans. 2008 Aug;36(Pt 4):708-11. doi: 10.1042/BST0360708.
4
Altered splicing in exon 8 of the DNA replication factor CIZ1 affects subnuclear distribution and is associated with Alzheimer's disease.DNA复制因子CIZ1第8外显子的剪接改变影响亚核分布,并与阿尔茨海默病相关。
Mol Cell Neurosci. 2008 Aug;38(4):589-94. doi: 10.1016/j.mcn.2008.05.007. Epub 2008 May 20.
5
Cancer-associated missplicing of exon 4 influences the subnuclear distribution of the DNA replication factor CIZ1.外显子4的癌症相关错义剪接影响DNA复制因子CIZ1的核内分布。
Hum Mutat. 2007 Oct;28(10):993-1004. doi: 10.1002/humu.20550.
6
C-terminal domains deliver the DNA replication factor Ciz1 to the nuclear matrix.C 末端结构域将 DNA 复制因子 Ciz1 递送至核基质。
J Cell Sci. 2007 Jan 1;120(Pt 1):115-24. doi: 10.1242/jcs.03327.
7
Ciz1, a Novel DNA-binding coactivator of the estrogen receptor alpha, confers hypersensitivity to estrogen action.Ciz1是雌激素受体α的一种新型DNA结合共激活因子,它赋予对雌激素作用的超敏反应。
Cancer Res. 2006 Nov 15;66(22):11021-9. doi: 10.1158/0008-5472.CAN-06-2336.
8
AceView: a comprehensive cDNA-supported gene and transcripts annotation.AceView:一个由cDNA支持的全面的基因和转录本注释。
Genome Biol. 2006;7 Suppl 1(Suppl 1):S12.1-14. doi: 10.1186/gb-2006-7-s1-s12. Epub 2006 Aug 7.
9
Detection and measurement of alternative splicing using splicing-sensitive microarrays.使用剪接敏感微阵列检测和测量可变剪接
Methods. 2005 Dec;37(4):345-59. doi: 10.1016/j.ymeth.2005.09.007.
10
Towards a proteome-scale map of the human protein-protein interaction network.迈向人类蛋白质-蛋白质相互作用网络的蛋白质组规模图谱。
Nature. 2005 Oct 20;437(7062):1173-8. doi: 10.1038/nature04209. Epub 2005 Sep 28.