Suppr超能文献

MIG 与调节性细胞因子 IL-10 和 TGF-β1 与疟疾疫苗的免疫原性和疗效相关。

MIG and the regulatory cytokines IL-10 and TGF-β1 correlate with malaria vaccine immunogenicity and efficacy.

机构信息

Centre for Clinical Vaccinology and Tropical Medicine, The Jenner Institute, University of Oxford, Oxford, United Kingdom.

出版信息

PLoS One. 2010 Sep 3;5(9):e12557. doi: 10.1371/journal.pone.0012557.

Abstract

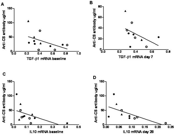
Malaria remains one of the world's greatest killers and a vaccine is urgently required. There are no established correlates of protection against malaria either for natural immunity to the disease or for immunity conferred by candidate malaria vaccines. The RTS,S/AS02A vaccine offers significant partial efficacy against malaria.mRNA expression of five key cytokines interferon-gamma (IFN-γ), monokine induced by gamma (MIG), interleukin-10 (IL-10), transforming growth factor-β (TGF-β) and forkhead box P3 (FoxP3) in peripheral blood mononuclear cells were measured by real-time RT-PCR before and after vaccination with RTS,S/AS02A and Modified Vaccinia virus Ankara encoding the circumsporozoite protein (MVA-CS) in healthy malaria-naïve adult volunteers. The only significant change was in IFN-γ mRNA expression, which was increased seven days after vaccination (P  =  0.04). Expression of MIG mRNA seven days after vaccination correlated inversely with time to detection of parasites by blood film in an experimental sporozoite challenge (r = 0.94 P  =  0.005). An inverse relationship was seen between both TGF-β1 and IL-10 mRNA at baseline and the anti-circumsporozoite IgG antibody response (r  =  -0.644 P  =  0.022 and r =  -0.554 P = 0.031 respectively). This study demonstrates the potential for MIG expression as a correlate of protection against malaria. Baseline levels of the regulatory cytokines TGF-β and IL-10 inversely correlated with antibody levels post vaccination and warrant further studies to improve understanding of individual differences in response to vaccination.

摘要

疟疾仍然是世界上最大的杀手之一,急需疫苗。无论是针对疾病的自然免疫力还是针对候选疟疾疫苗的免疫力,目前都没有明确的保护相关因素。RTS,S/AS02A 疫苗对疟疾具有显著的部分疗效。在健康的无疟疾成人志愿者中,用 RTS,S/AS02A 和编码环子孢子蛋白的改良安卡拉牛痘病毒(MVA-CS)接种后,通过实时 RT-PCR 测量外周血单个核细胞中五种关键细胞因子干扰素-γ(IFN-γ)、γ 诱导的单克隆(MIG)、白细胞介素-10(IL-10)、转化生长因子-β(TGF-β)和叉头框 P3(FoxP3)的 mRNA 表达。唯一显著的变化是 IFN-γ mRNA 表达,接种后七天增加(P  =  0.04)。接种后七天 MIG mRNA 表达与通过血片检测寄生虫的时间呈负相关,与实验性孢子体挑战呈正相关(r = 0.94 P  =  0.005)。在基线时,TGF-β1 和 IL-10 mRNA 与抗环子孢子蛋白 IgG 抗体反应之间存在负相关(r  =  -0.644 P  =  0.022 和 r =  -0.554 P = 0.031)。这项研究表明,MIG 表达可能是疟疾保护的相关因素。调节性细胞因子 TGF-β 和 IL-10 的基线水平与接种后抗体水平呈负相关,需要进一步研究以提高对疫苗接种反应个体差异的理解。

https://cdn.ncbi.nlm.nih.gov/pmc/blobs/58e6/2933226/0845707e5d89/pone.0012557.g001.jpg

文献检索

告别复杂PubMed语法,用中文像聊天一样搜索,搜遍4000万医学文献。AI智能推荐,让科研检索更轻松。

立即免费搜索

文件翻译

保留排版,准确专业,支持PDF/Word/PPT等文件格式,支持 12+语言互译。

免费翻译文档

深度研究

AI帮你快速写综述,25分钟生成高质量综述,智能提取关键信息,辅助科研写作。

立即免费体验