• 文献检索
  • 文档翻译
  • 深度研究
  • 学术资讯
  • Suppr Zotero 插件Zotero 插件
  • 邀请有礼
  • 套餐&价格
  • 历史记录
应用&插件
Suppr Zotero 插件Zotero 插件浏览器插件Mac 客户端Windows 客户端微信小程序
定价
高级版会员购买积分包购买API积分包
服务
文献检索文档翻译深度研究API 文档MCP 服务
关于我们
关于 Suppr公司介绍联系我们用户协议隐私条款
关注我们

Suppr 超能文献

核心技术专利:CN118964589B侵权必究
粤ICP备2023148730 号-1Suppr @ 2026

文献检索

告别复杂PubMed语法,用中文像聊天一样搜索,搜遍4000万医学文献。AI智能推荐,让科研检索更轻松。

立即免费搜索

文件翻译

保留排版,准确专业,支持PDF/Word/PPT等文件格式,支持 12+语言互译。

免费翻译文档

深度研究

AI帮你快速写综述,25分钟生成高质量综述,智能提取关键信息,辅助科研写作。

立即免费体验

维生素 D 不足与越南人群结核病的关系。

Association between vitamin D insufficiency and tuberculosis in a Vietnamese population.

机构信息

Department of Internal Medicine, Pham Ngoc Thach University of Medicine, Thanh Thai Street, District 10, Ho Chi Minh City, Vietnam.

出版信息

BMC Infect Dis. 2010 Oct 25;10:306. doi: 10.1186/1471-2334-10-306.

DOI:10.1186/1471-2334-10-306
PMID:20973965
原文链接:https://pmc.ncbi.nlm.nih.gov/articles/PMC2978214/
Abstract

BACKGROUND

Recent in vitro evidence suggests a link between vitamin D status and the risk of tuberculosis (TB). This study sought to examine the association between vitamin D status, parathyroid hormone (PTH) and the risk of TB in a Vietnamese population.

METHODS

The study was designed as a matched case-control study, which involved 166 TB patients (113 men and 53 women), who were age-and-sex matched with 219 controls (113 men and 106 women). The average age of men and women was 49 and 50, respectively. TB was diagnosed by the presence of acid-fast bacilli on smears from sputum, and the isolation of M. tuberculosis. All patients were hospitalized for treatment in a TB specialist hospital. Controls were randomly drawn from the general community within the Ho Chi Minh, Vietnam. 25-hydroxyvitamin D [25(OH)D] and PTH was measured prior to treatment by an electrochemiluminescence immunoassay (ECLIA) on a Roche Elecsys. A serum level of 25(OH)D below 30 ng/mL was deemed to be vitamin D insufficient.

RESULTS

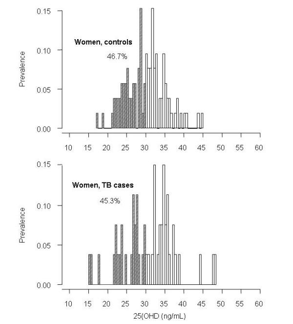
The prevalence of vitamin D insufficiency was 35.4% in men with TB and 19.5% in controls (P = 0.01). In women, there were no significant differences in serum 25(OH)D and serum PTH levels between TB patients and controls. The prevalence of vitamin D insufficiency in women with TB (45.3%) was not significantly different from those without TB (47.6%; P = 0.91). However, in both genders, serum calcium levels in TB patients were significantly lower than in non-TB individuals. Smoking (odds ratio [OR] 1.25; 95% confidence interval [CI] 1.10 - 14.7), reduced 25(OH)D (OR per standard deviation [SD]: 1.14; 95% CI 1.07 - 10.7) and increased PTH (OR per SD 1.13; 95% CI 1.05 - 10.4) were independently associated with increased risk of TB in men.

CONCLUSION

These results suggest that vitamin D insufficiency was a risk factor for tuberculosis in men, but not in women. However, it remains to be established whether the association is a causal relationship.

摘要

背景

最近的体外证据表明,维生素 D 状态与结核病(TB)风险之间存在关联。本研究旨在研究越南人群中维生素 D 状态、甲状旁腺激素(PTH)与结核病风险之间的关系。

方法

本研究设计为匹配病例对照研究,纳入 166 例结核病患者(113 名男性和 53 名女性),并按年龄和性别与 219 名对照(113 名男性和 106 名女性)匹配。男性和女性的平均年龄分别为 49 岁和 50 岁。通过痰涂片抗酸杆菌检查和结核分枝杆菌分离培养诊断结核病。所有患者均在结核病专科医院住院治疗。对照者随机从越南胡志明市的普通社区中抽取。采用罗氏 Elecsys 电化学发光免疫分析法(ECLIA)检测治疗前的 25-羟维生素 D [25(OH)D] 和 PTH。血清 25(OH)D 水平<30ng/mL 被认为是维生素 D 不足。

结果

男性结核病患者维生素 D 不足的患病率为 35.4%,对照组为 19.5%(P=0.01)。女性结核病患者与对照组之间血清 25(OH)D 和血清 PTH 水平无显著差异。女性结核病患者维生素 D 不足的患病率(45.3%)与无结核病患者(47.6%)无显著差异(P=0.91)。然而,在两性中,结核病患者的血清钙水平均显著低于非结核病患者。吸烟(比值比[OR]1.25;95%置信区间[CI]1.10-14.7)、25(OH)D 减少(OR 每标准差[SD]:1.14;95% CI 1.07-10.7)和 PTH 增加(OR 每 SD 1.13;95% CI 1.05-10.4)均与男性结核病风险增加独立相关。

结论

这些结果表明,维生素 D 不足是男性结核病的危险因素,但不是女性。然而,尚需确定这种关联是否存在因果关系。

https://cdn.ncbi.nlm.nih.gov/pmc/blobs/ca98/2978214/c16716218c27/1471-2334-10-306-2.jpg
https://cdn.ncbi.nlm.nih.gov/pmc/blobs/ca98/2978214/3e835aeaf61f/1471-2334-10-306-1.jpg
https://cdn.ncbi.nlm.nih.gov/pmc/blobs/ca98/2978214/c16716218c27/1471-2334-10-306-2.jpg
https://cdn.ncbi.nlm.nih.gov/pmc/blobs/ca98/2978214/3e835aeaf61f/1471-2334-10-306-1.jpg
https://cdn.ncbi.nlm.nih.gov/pmc/blobs/ca98/2978214/c16716218c27/1471-2334-10-306-2.jpg

相似文献

1
Association between vitamin D insufficiency and tuberculosis in a Vietnamese population.维生素 D 不足与越南人群结核病的关系。
BMC Infect Dis. 2010 Oct 25;10:306. doi: 10.1186/1471-2334-10-306.
2
Vitamin D status and parathyroid hormone in a urban population in Vietnam.越南城市人口的维生素 D 状况和甲状旁腺激素。
Osteoporos Int. 2011 Jan;22(1):241-8. doi: 10.1007/s00198-010-1207-4. Epub 2010 Apr 23.
3
Relationship between 25-hydroxyvitamin D levels and treatment course of pulmonary tuberculosis.25-羟基维生素D水平与肺结核治疗疗程之间的关系
Respir Investig. 2012 Jun;50(2):40-5. doi: 10.1016/j.resinv.2012.05.002. Epub 2012 Jun 21.
4
The Potential Role of Vitamin D in the Development of Tuberculosis in Chinese Han Population: One Case-Control Study.维生素D在中国汉族人群结核病发生中的潜在作用:一项病例对照研究
Front Med (Lausanne). 2022 Jul 25;9:849651. doi: 10.3389/fmed.2022.849651. eCollection 2022.
5
Vitamin D deficiency among smear positive pulmonary tuberculosis patients and their tuberculosis negative household contacts in Northwest Ethiopia: a case-control study.埃塞俄比亚西北部涂片阳性肺结核患者及其结核菌素阴性的家庭接触者中的维生素D缺乏症:一项病例对照研究。
Ann Clin Microbiol Antimicrob. 2017 May 11;16(1):36. doi: 10.1186/s12941-017-0211-3.
6
Calciotropic Hormones and the Prevalence of Vertebral Fractures in Chinese Postmenopausal Women with Vitamin D Insufficiency: Peking Vertebral Fracture Study.钙调节激素与维生素 D 缺乏的中国绝经后妇女椎体骨折发生率:北京椎体骨折研究。
Calcif Tissue Int. 2019 Jun;104(6):622-630. doi: 10.1007/s00223-019-00531-2. Epub 2019 Feb 8.
7
Vitamin D deficiency in patients with tuberculosis.肺结核患者的维生素D缺乏症
J Coll Physicians Surg Pak. 2013 Nov;23(10):780-3.
8
Vitamin D status and antimicrobial peptide cathelicidin (LL-37) concentrations in patients with active pulmonary tuberculosis.活动性肺结核患者的维生素 D 状态和抗菌肽 cathelicidin(LL-37)浓度。
Am J Clin Nutr. 2010 Sep;92(3):603-11. doi: 10.3945/ajcn.2010.29411. Epub 2010 Jul 7.
9
[Prevalence of secondary hyperparathyroidism (SHPT) and causal factors in adult population in Reykjavík area].[雷克雅未克地区成年人群继发性甲状旁腺功能亢进(SHPT)的患病率及病因]
Laeknabladid. 2005 Feb;91(2):161-9.
10
Higher serum 25-hydroxyvitamin D concentrations are associated with active pulmonary tuberculosis in hospitalised HIV infected patients in a low income tropical setting: a cross sectional study.血清 25-羟维生素 D 浓度较高与低收入热带地区住院 HIV 感染患者的活动性肺结核有关:一项横断面研究。
BMC Pulm Med. 2018 May 8;18(1):67. doi: 10.1186/s12890-018-0640-6.

引用本文的文献

1
Association of variant vitamin statuses and tuberculosis development: a systematic review and meta-analysis.变异维生素状态与结核病发展的关联:系统评价和荟萃分析。
Ann Med. 2024 Dec;56(1):2396566. doi: 10.1080/07853890.2024.2396566. Epub 2024 Sep 2.
2
It Takes a Village: The Multifaceted Immune Response to Infection and Vaccine-Induced Immunity.《众人拾柴火焰高:感染和疫苗诱导免疫的多方面免疫反应》
Front Immunol. 2022 Mar 10;13:840225. doi: 10.3389/fimmu.2022.840225. eCollection 2022.
3
Hypovitaminosis D among newly diagnosed pulmonary TB patients and their household contacts in Uganda.

本文引用的文献

1
Vitamin D status and parathyroid hormone in a urban population in Vietnam.越南城市人口的维生素 D 状况和甲状旁腺激素。
Osteoporos Int. 2011 Jan;22(1):241-8. doi: 10.1007/s00198-010-1207-4. Epub 2010 Apr 23.
2
Sexual inequality in tuberculosis.结核病中的性别不平等。
PLoS Med. 2009 Dec;6(12):e1000199. doi: 10.1371/journal.pmed.1000199. Epub 2009 Dec 22.
3
Vitamin D and tuberculosis.维生素D与结核病
乌干达新诊断肺结核患者及其家庭接触者中的维生素 D 缺乏症。
Sci Rep. 2022 Mar 28;12(1):5296. doi: 10.1038/s41598-022-09375-7.
4
Association of Vitamin D Deficiency With Pulmonary Tuberculosis: A Systematic Review and Meta-Analysis.维生素D缺乏与肺结核的关联:一项系统评价与荟萃分析。
Cureus. 2021 Sep 10;13(9):e17883. doi: 10.7759/cureus.17883. eCollection 2021 Sep.
5
Association of Vitamin D Deficiency and Newly Diagnosed Pulmonary Tuberculosis.维生素 D 缺乏与新发肺结核的相关性研究。
Pulm Med. 2021 Jan 15;2021:5285841. doi: 10.1155/2021/5285841. eCollection 2021.
6
Vitamin D Deficiency among Patients with Tuberculosis: a Cross-Sectional Study in Iranian-Azari Population.结核病患者中的维生素D缺乏症:一项针对伊朗-阿扎里人群的横断面研究。
Tanaffos. 2019 Jan;18(1):11-17.
7
Association between vitamin D and latent tuberculosis infection in the United States: NHANES, 2011-2012.美国2011 - 2012年国家健康与营养检查调查中维生素D与潜伏性结核感染之间的关联
Infect Drug Resist. 2019 Jul 22;12:2251-2257. doi: 10.2147/IDR.S213845. eCollection 2019.
8
Vitamin D in malaria: more hypotheses than clues.疟疾中的维生素D:假说多于线索。
Heliyon. 2019 Feb 6;5(2):e01183. doi: 10.1016/j.heliyon.2019.e01183. eCollection 2019 Feb.
9
Assessment of Vitamin Status in Patients with Nontuberculous Mycobacterial Pulmonary Disease: Potential Role of Vitamin A as a Risk Factor.评估非结核分枝杆菌肺病患者的维生素状况:维生素 A 作为风险因素的潜在作用。
Nutrients. 2019 Feb 5;11(2):343. doi: 10.3390/nu11020343.
10
Levels of vitamin D-associated cytokines distinguish between active and latent tuberculosis following a tuberculosis outbreak.维生素 D 相关细胞因子水平可区分结核爆发后活动性和潜伏性结核病。
BMC Infect Dis. 2019 Feb 13;19(1):151. doi: 10.1186/s12879-019-3798-5.
Nutr Rev. 2009 May;67(5):289-93. doi: 10.1111/j.1753-4887.2009.00195.x.
4
Vitamin d and tuberculosis: new light on a potent biologic therapy?维生素D与结核病:一种强效生物疗法的新见解?
Am J Respir Crit Care Med. 2009 May 1;179(9):740-2. doi: 10.1164/rccm.200902-0186ED.
5
Veganism, bone mineral density, and body composition: a study in Buddhist nuns.素食主义、骨矿物质密度和身体成分:对佛教修女的研究。
Osteoporos Int. 2009 Dec;20(12):2087-93. doi: 10.1007/s00198-009-0916-z. Epub 2009 Apr 7.
6
Differential expression of a virulence factor in pathogenic and non-pathogenic mycobacteria.毒力因子在致病性和非致病性分枝杆菌中的差异表达。
Mol Microbiol. 2009 Apr;72(1):41-52. doi: 10.1111/j.1365-2958.2009.06612.x. Epub 2009 Feb 2.
7
Automated measurement of 25-OH vitamin D3 on the Roche Modular E170 analyzer.在罗氏Modular E170分析仪上自动测定25-羟基维生素D3。
Clin Chem. 2008 Dec;54(12):2059-62. doi: 10.1373/clinchem.2008.111732. Epub 2008 Oct 16.
8
Low serum vitamin D levels and tuberculosis: a systematic review and meta-analysis.低血清维生素D水平与结核病:一项系统评价和荟萃分析
Int J Epidemiol. 2008 Feb;37(1):113-9. doi: 10.1093/ije/dym247.
9
Vitamin D deficiency is associated with tuberculosis and latent tuberculosis infection in immigrants from sub-Saharan Africa.维生素D缺乏与撒哈拉以南非洲移民中的结核病和潜伏性结核感染相关。
Clin Infect Dis. 2008 Feb 1;46(3):443-6. doi: 10.1086/525268.
10
Tuberculosis trends, Vietnam.越南的结核病趋势
Emerg Infect Dis. 2007 May;13(5):796-7. doi: 10.3201/eid1305.060904.