Department of Pediatrics, Stanford University School of Medicine, Stanford, CA 94305, USA.
BMC Bioinformatics. 2010 Oct 28;11 Suppl 9(Suppl 9):S6. doi: 10.1186/1471-2105-11-S9-S6.
Combining the results of studies using highly parallelized measurements of gene expression such as microarrays and RNAseq offer unique challenges in meta analysis. Motivated by a need for a deeper understanding of organ transplant rejection, we combine the data from five separate studies to compare acute rejection versus stability after solid organ transplantation, and use this data to examine approaches to multiplex meta analysis.
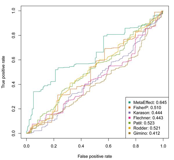
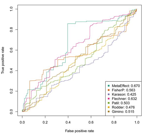
We demonstrate that a commonly used parametric effect size estimate approach and a commonly used non-parametric method give very different results in prioritizing genes. The parametric method providing a meta effect estimate was superior at ranking genes based on our gold-standard of identifying immune response genes in the transplant rejection datasets.
Different methods of multiplex analysis can give substantially different results. The method which is best for any given application will likely depend on the particular domain, and it remains for future work to see if any one method is consistently better at identifying important biological signal across gene expression experiments.
将微阵列和 RNAseq 等高度并行化的基因表达测量结果相结合进行荟萃分析带来了独特的挑战。受深入了解器官移植排斥反应的需求的推动,我们结合了五项独立研究的数据,比较了实体器官移植后的急性排斥反应与稳定性,并使用这些数据来检验多重荟萃分析的方法。
我们证明,常用的参数效应量估计方法和常用的非参数方法在优先考虑基因方面给出了非常不同的结果。基于我们在移植排斥数据集识别免疫反应基因的金标准,基于元效应估计的参数方法在根据基因进行排名方面表现更优。
不同的多重分析方法可能会产生截然不同的结果。对于任何给定的应用程序,最好的方法可能取决于特定的领域,未来的工作还需要观察是否有一种方法能够始终如一地在基因表达实验中识别重要的生物学信号。